Suppr超能文献

使用双相(13)C-蔗糖/葡萄糖呼气试验评估功能性肠病成人的蔗糖消化不良情况。

Use of the Biphasic (13)C-Sucrose/Glucose Breath Test to Assess Sucrose Maldigestion in Adults with Functional Bowel Disorders.

作者信息

Opekun Antone R, Balesh Albert M, Shelby Harold T

机构信息

Division of Gastroenterology and Hepatology, Department of Internal Medicine, Baylor College of Medicine, Houston, TX 77030, USA; Division of Gastroenterology, Nutrition and Hepatology, Department of Pediatrics, Baylor College of Medicine, Houston, TX 77030, USA.

Division of Gastroenterology and Hepatology, Department of Internal Medicine, Baylor College of Medicine, Houston, TX 77030, USA.

出版信息

Biomed Res Int. 2016;2016:7952891. doi: 10.1155/2016/7952891. Epub 2016 Aug 8.

Abstract

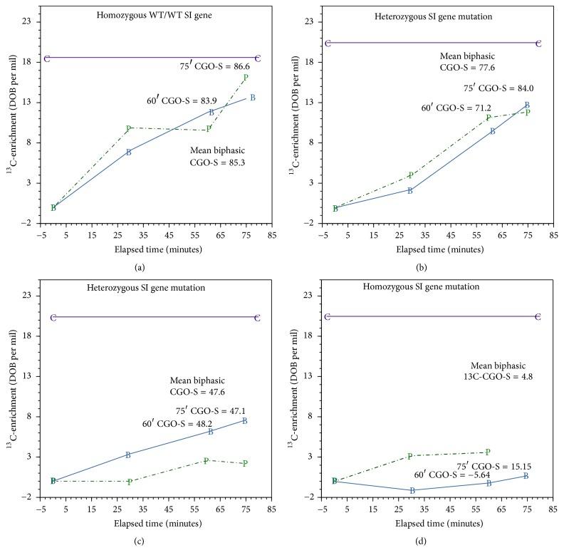
Sucrase insufficiency has been observed in children with of functional bowel disorders (FBD) and symptoms of dietary carbohydrate intolerance may be indistinguishable from those of FBD. A two-phase (13)C-sucrose/(13)C-glucose breath test ((13)C-S/GBT) was used to assess sucrase activity because disaccharidase assays are seldom performed in adults. When (13)C-sucrose is hydrolyzed to liberate monosaccharides, oxidation to (13)CO2 is a proportional indicator of sucrase activity. Subsequently, (13)C-glucose oxidation rate was determined after a secondary substrate ingestion (superdose) to adjust for individual habitus effects (Phase II). (13)CO2 enrichment recovery ratio from (13)C-sucrose and secondary (13)C-glucose loads reflect the individualized sucrase activity [Coefficient of Glucose Oxidation for Sucrose (CGO-S)]. To determine if sucrase insufficiency could be a factor in FBD, (13)C-S/GBT was validated using subjects with known sucrase gene mutation status by comparing (13)CO2-breath enrichment with plasma (13)C-glucose enrichment. (13)C-S/GBT was used to assess sucrose digestion in FBD patients and asymptomatic controls. (13)CO2-breath enrichment correlated with the appearance of (13)C-sucrose-derived glucose in plasma (r (2) = 0.80). Mean, control group CGO-S-enrichment outcomes were 1.01 at 60', 0.92 at 75', and 0.96 at mean 60'-75' with normal CGO-S defined as >0.85 (95% C.I.). In contrast, FBD patients demonstrated lower CGO-S values of 0.77 at 60', 0.77 at 75', and 0.76 at mean 60'-75' (Chi Square: 6.55; p < 0.01), which points to sucrose maldigestion as a cause of FBD.

摘要

在患有功能性肠病(FBD)的儿童中已观察到蔗糖酶不足,且饮食中碳水化合物不耐受的症状可能与FBD的症状难以区分。由于成人很少进行双糖酶检测,因此采用两阶段的(13)C-蔗糖/(13)C-葡萄糖呼气试验((13)C-S/GBT)来评估蔗糖酶活性。当(13)C-蔗糖水解以释放单糖时,氧化为(13)CO2是蔗糖酶活性的一个成比例指标。随后,在摄入二次底物(超大剂量)后测定(13)C-葡萄糖氧化率,以调整个体体质影响(第二阶段)。(13)C-蔗糖和二次(13)C-葡萄糖负荷产生的(13)CO2富集回收率反映了个体的蔗糖酶活性[蔗糖葡萄糖氧化系数(CGO-S)]。为了确定蔗糖酶不足是否可能是FBD的一个因素,通过比较(13)CO2呼气富集与血浆(13)C-葡萄糖富集,对已知蔗糖酶基因突变状态的受试者使用(13)C-S/GBT进行验证。(13)C-S/GBT用于评估FBD患者和无症状对照者的蔗糖消化情况。(13)CO2呼气富集与血浆中(13)C-蔗糖衍生葡萄糖的出现相关(r(2)=0.80)。对照组CGO-S富集结果的平均值在60分钟时为1.01,在75分钟时为0.92,在60 - 75分钟平均值时为0.96,正常CGO-S定义为>0.85(95%置信区间)。相比之下,FBD患者在60分钟时CGO-S值较低,为0.77,在75分钟时为0.77,在60 - 75分钟平均值时为0.76(卡方检验:6.55;p<0.01),这表明蔗糖消化不良是FBD的一个原因。

https://cdn.ncbi.nlm.nih.gov/pmc/blobs/7527/4992795/3229a3e42925/BMRI2016-7952891.001.jpg

文献AI研究员

20分钟写一篇综述,助力文献阅读效率提升50倍。

立即体验

用中文搜PubMed

大模型驱动的PubMed中文搜索引擎

马上搜索

文档翻译

学术文献翻译模型,支持多种主流文档格式。

立即体验