Suppr超能文献

基于广义混合模型的进化数量遗传推断通用方法。

General Methods for Evolutionary Quantitative Genetic Inference from Generalized Mixed Models.

作者信息

de Villemereuil Pierre, Schielzeth Holger, Nakagawa Shinichi, Morrissey Michael

机构信息

Laboratoire d'Écologie Alpine, Centre National de la Recherche Scientifique Unité Mixte de Recherche 5553, Université Joseph Fourier, 38041 Grenoble Cedex 9, France.

Department of Evolutionary Biology, Bielefeld University, 33615 Bielefeld, Germany.

出版信息

Genetics. 2016 Nov;204(3):1281-1294. doi: 10.1534/genetics.115.186536. Epub 2016 Sep 2.

Abstract

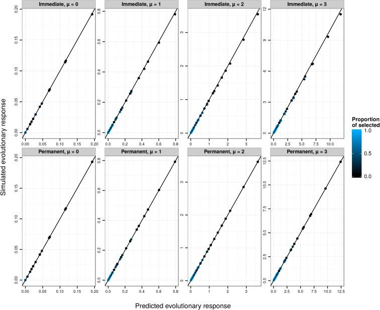
Methods for inference and interpretation of evolutionary quantitative genetic parameters, and for prediction of the response to selection, are best developed for traits with normal distributions. Many traits of evolutionary interest, including many life history and behavioral traits, have inherently nonnormal distributions. The generalized linear mixed model (GLMM) framework has become a widely used tool for estimating quantitative genetic parameters for nonnormal traits. However, whereas GLMMs provide inference on a statistically convenient latent scale, it is often desirable to express quantitative genetic parameters on the scale upon which traits are measured. The parameters of fitted GLMMs, despite being on a latent scale, fully determine all quantities of potential interest on the scale on which traits are expressed. We provide expressions for deriving each of such quantities, including population means, phenotypic (co)variances, variance components including additive genetic (co)variances, and parameters such as heritability. We demonstrate that fixed effects have a strong impact on those parameters and show how to deal with this by averaging or integrating over fixed effects. The expressions require integration of quantities determined by the link function, over distributions of latent values. In general cases, the required integrals must be solved numerically, but efficient methods are available and we provide an implementation in an R package, QGglmm. We show that known formulas for quantities such as heritability of traits with binomial and Poisson distributions are special cases of our expressions. Additionally, we show how fitted GLMM can be incorporated into existing methods for predicting evolutionary trajectories. We demonstrate the accuracy of the resulting method for evolutionary prediction by simulation and apply our approach to data from a wild pedigreed vertebrate population.

摘要

用于推断和解释进化数量遗传参数以及预测选择响应的方法,对于具有正态分布的性状最为完善。许多具有进化意义的性状,包括许多生活史和行为性状,其分布本质上是非正态的。广义线性混合模型(GLMM)框架已成为估计非正态性状数量遗传参数的广泛使用工具。然而,虽然GLMM在统计上方便的潜在尺度上提供推断,但通常希望在测量性状的尺度上表达数量遗传参数。拟合GLMM的参数尽管处于潜在尺度,但完全决定了在表达性状的尺度上所有潜在感兴趣的量。我们提供了推导每个此类量的表达式,包括总体均值、表型(协)方差、包括加性遗传(协)方差在内的方差分量以及诸如遗传力等参数。我们证明固定效应会对这些参数产生强烈影响,并展示了如何通过对固定效应进行平均或积分来处理这一问题。这些表达式需要在潜在值的分布上对由链接函数确定的量进行积分。在一般情况下,所需的积分必须通过数值方法求解,但有有效的方法可用,并且我们在一个R包QGglmm中提供了实现。我们表明,对于具有二项分布和泊松分布的性状,诸如遗传力等已知公式是我们表达式的特殊情况。此外,我们展示了如何将拟合的GLMM纳入现有的预测进化轨迹的方法中。我们通过模拟证明了所得进化预测方法的准确性,并将我们的方法应用于来自野生有谱系脊椎动物种群的数据。

https://cdn.ncbi.nlm.nih.gov/pmc/blobs/cd91/5105857/ab364b7713bd/1281fig1.jpg

文献AI研究员

20分钟写一篇综述,助力文献阅读效率提升50倍。

立即体验

用中文搜PubMed

大模型驱动的PubMed中文搜索引擎

马上搜索

文档翻译

学术文献翻译模型,支持多种主流文档格式。

立即体验