Suppr超能文献

犬骨缺损中脂肪来源间充质干细胞及其细胞片在聚-ε-己内酯/β-磷酸三钙复合支架上的成骨比较

Comparison of Osteogenesis between Adipose-Derived Mesenchymal Stem Cells and Their Sheets on Poly-ε-Caprolactone/β-Tricalcium Phosphate Composite Scaffolds in Canine Bone Defects.

作者信息

Kim Yongsun, Lee Seung Hoon, Kang Byung-Jae, Kim Wan Hee, Yun Hui-Suk, Kweon Oh-Kyeong

机构信息

BK21 PLUS Program for Creative Veterinary Science Research, Research Institute for Veterinary Science and College of Veterinary Medicine, Seoul National University, Seoul 08826, Republic of Korea.

College of Veterinary Medicine and Institute of Veterinary Science, Kangwon National University, Chuncheon 24341, Republic of Korea.

出版信息

Stem Cells Int. 2016;2016:8414715. doi: 10.1155/2016/8414715. Epub 2016 Aug 16.

Abstract

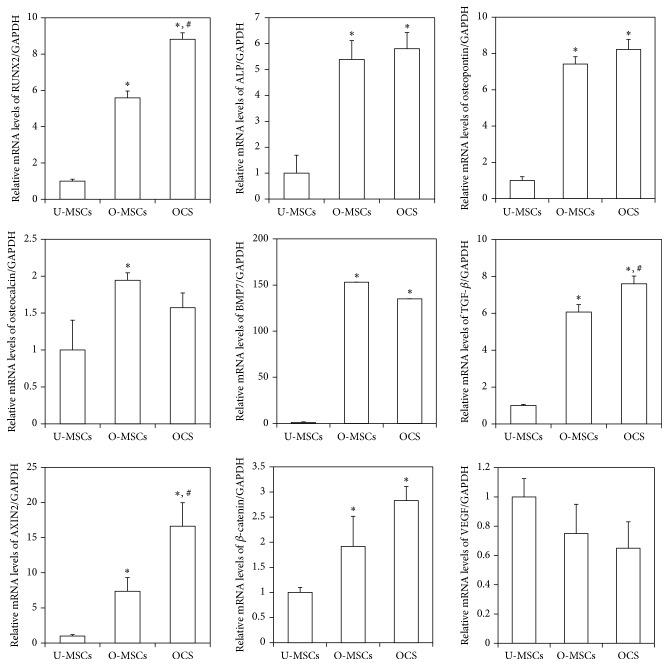
Multipotent mesenchymal stem cells (MSCs) and MSC sheets have effective potentials of bone regeneration. Composite polymer/ceramic scaffolds such as poly-ε-caprolactone (PCL)/β-tricalcium phosphate (β-TCP) are widely used to repair large bone defects. The present study investigated the in vitro osteogenic potential of canine adipose-derived MSCs (Ad-MSCs) and Ad-MSC sheets. Composite PCL/β-TCP scaffolds seeded with Ad-MSCs or wrapped with osteogenic Ad-MSC sheets (OCS) were also fabricated and their osteogenic potential was assessed following transplantation into critical-sized bone defects in dogs. The alkaline phosphatase (ALP) activity of osteogenic Ad-MSCs (O-MSCs) and OCS was significantly higher than that of undifferentiated Ad-MSCs (U-MSCs). The ALP, runt-related transcription factor 2, osteopontin, and bone morphogenetic protein 7 mRNA levels were upregulated in O-MSCs and OCS as compared to U-MSCs. In a segmental bone defect, the amount of newly formed bone was greater in PCL/β-TCP/OCS and PCL/β-TCP/O-MSCs/OCS than in the other groups. The OCS exhibit strong osteogenic capacity, and OCS combined with a PCL/β-TCP composite scaffold stimulated new bone formation in a critical-sized bone defect. These results suggest that the PCL/β-TCP/OCS composite has potential clinical applications in bone regeneration and can be used as an alternative treatment modality in bone tissue engineering.

摘要

多能间充质干细胞(MSCs)和MSC片层具有有效的骨再生潜能。复合聚合物/陶瓷支架,如聚ε-己内酯(PCL)/β-磷酸三钙(β-TCP),被广泛用于修复大的骨缺损。本研究调查了犬脂肪来源的MSCs(Ad-MSCs)和Ad-MSC片层的体外成骨潜能。还制备了接种Ad-MSCs或包裹有成骨Ad-MSC片层(OCS)的复合PCL/β-TCP支架,并在将其移植到犬的临界尺寸骨缺损后评估其成骨潜能。成骨Ad-MSCs(O-MSCs)和OCS的碱性磷酸酶(ALP)活性显著高于未分化的Ad-MSCs(U-MSCs)。与U-MSCs相比,O-MSCs和OCS中的ALP、 runt相关转录因子2、骨桥蛋白和骨形态发生蛋白7 mRNA水平上调。在节段性骨缺损中,PCL/β-TCP/OCS和PCL/β-TCP/O-MSCs/OCS组新形成的骨量比其他组更多。OCS表现出强大的成骨能力,并且OCS与PCL/β-TCP复合支架相结合可在临界尺寸骨缺损中刺激新骨形成。这些结果表明,PCL/β-TCP/OCS复合材料在骨再生方面具有潜在的临床应用价值,可作为骨组织工程中的一种替代治疗方式。

https://cdn.ncbi.nlm.nih.gov/pmc/blobs/f222/5004032/76c65f2eba29/SCI2016-8414715.001.jpg

文献检索

告别复杂PubMed语法,用中文像聊天一样搜索,搜遍4000万医学文献。AI智能推荐,让科研检索更轻松。

立即免费搜索

文件翻译

保留排版,准确专业,支持PDF/Word/PPT等文件格式,支持 12+语言互译。

免费翻译文档

深度研究

AI帮你快速写综述,25分钟生成高质量综述,智能提取关键信息,辅助科研写作。

立即免费体验