Suppr超能文献

[物种名称]及其大果型变种形态和物候性状的方差、遗传控制及空间表型可塑性

Variance, Genetic Control, and Spatial Phenotypic Plasticity of Morphological and Phenological Traits in and Its Large Fruited Forms ().

作者信息

Vander Mijnsbrugge Kristine, Turcsán Arion, Depypere Leander, Steenackers Marijke

机构信息

Department of Forest Genetic Resources, Research Institute for Nature and Forest Geraardsbergen, Belgium.

Department of Forest Genetic Resources, Research Institute for Nature and ForestGeraardsbergen, Belgium; Department of Biometrics and Agricultural Informatics, Szent István UniversityBudapest, Hungary; Department of Forest Reproductive Material and Plantation Management, Institute of Silviculture and Forest Protection, West-Hungarian UniversitySopron, Hungary.

出版信息

Front Plant Sci. 2016 Nov 3;7:1641. doi: 10.3389/fpls.2016.01641. eCollection 2016.

Abstract

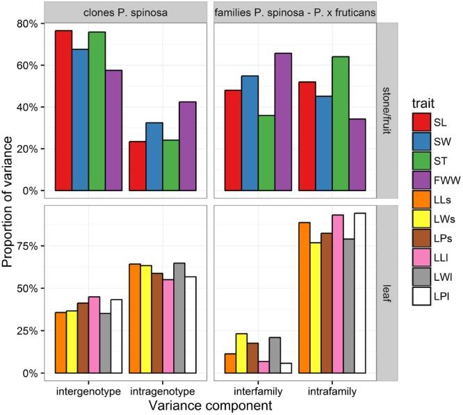
is a highly esteemed shrub in forest and landscape plantings. Shrubs with larger organs occur often and are considered either as large fruited forms of or as , involving a hybridization process with the ancient cultivated (crop-to-wild gene flow). As climate change may augment hybridization processes in the future, a hybrid origin is important to detect. In addition, studying crop-to-wild gene flow can give insights in putative consequences for the wild populations. We studied the - group, focusing on morphology and phenology in three experimental plantations. Two plantings harbored cuttings of (clone plantations). A third plantation comprised of a half-sib offspring from a population with both and (family plantation). Several results point to a hybridization process as the origin of . The clone plantation revealed endocarp traits to be more genetically controlled than fruit size, while this was the opposite in the family plantation, suggesting the control of fruit size being derived from the putative parent. Bud burst, flower opening, and leaf fall were genetically controlled in the clone plantation, whereas in the family plantation intrafamily variability was remarkably large for the bud burst and leaf fall, but not for the flower opening. This suggests there is a reduced genetic control for the first two phenophases, possibly caused by historic hybridization events. Pubescence on the long shoot leaves in the family plantation deviated from the short shoot leaves on the same plants and from long and short shoot leaves in the clone plantation, suggesting again a origin. Finally, we quantified spatial phenotypic plasticity, indicating how may react in a changing environment. In contrast to the bud burst and leaf fall, flower opening did not demonstrate plasticity. The fruit size was diminished at the growth site with the shortest growing season while interestingly, the leaf width was enlarged. Leaf size traits appeared more plastic on the long shoots compared to the short shoots, although partitioning of variance did not display a lesser genetic control.

摘要

是森林和景观种植中备受推崇的灌木。具有较大器官的灌木经常出现,被认为是 的大果型变种或 ,涉及与古老栽培品种 的杂交过程(作物到野生的基因流动)。由于气候变化未来可能会加剧杂交过程,检测杂交起源很重要。此外,研究作物到野生的基因流动可以深入了解对野生种群的潜在影响。我们研究了 群体,重点关注三个实验种植园中的形态和物候。两个种植园种植了 的插条(克隆种植园)。第三个种植园由一个同时包含 和 的种群的半同胞后代组成(家系种植园)。几个结果表明杂交过程是 的起源。克隆种植园显示内果皮性状比果实大小更受遗传控制,而在家庭种植园中情况则相反,这表明果实大小的控制来自假定的 亲本。在克隆种植园中,芽萌发、开花和落叶受遗传控制,而在家庭种植园中,芽萌发和落叶的家系内变异性非常大,但开花情况并非如此。这表明前两个物候期的遗传控制减弱,可能是由历史杂交事件导致的。家庭种植园中长枝叶片的柔毛与同一植株上的短枝叶片以及克隆种植园中长枝和短枝叶片不同,这再次表明其 的起源。最后,我们量化了空间表型可塑性,表明 在不断变化的环境中可能的反应。与芽萌发和落叶不同,开花没有表现出可塑性。在生长季节最短的生长地点,果实大小减小,而有趣的是,叶片宽度增大。与短枝相比,长枝上的叶片大小性状似乎更具可塑性,尽管方差分析并未显示遗传控制程度较低。

https://cdn.ncbi.nlm.nih.gov/pmc/blobs/41ca/5093327/e3b5386e4626/fpls-07-01641-g001.jpg

文献检索

告别复杂PubMed语法,用中文像聊天一样搜索,搜遍4000万医学文献。AI智能推荐,让科研检索更轻松。

立即免费搜索

文件翻译

保留排版,准确专业,支持PDF/Word/PPT等文件格式,支持 12+语言互译。

免费翻译文档

深度研究

AI帮你快速写综述,25分钟生成高质量综述,智能提取关键信息,辅助科研写作。

立即免费体验