Suppr超能文献

评估ICount软件,这是一种用于蚊虫媒介埃及伊蚊的精确且快速的蚊卵计数工具。

Assessment of ICount software, a precise and fast egg counting tool for the mosquito vector Aedes aegypti.

作者信息

Gaburro Julie, Duchemin Jean-Bernard, Paradkar Prasad N, Nahavandi Saeid, Bhatti Asim

机构信息

Institute for Intelligent Systems Research and Innovation (IISRI), Deakin University, 75 Pigdons Road, Waurn Ponds, VIC, 3216, Australia.

CSIRO Health & Biosecurity, Australian Animal Health Laboratory, 5 Portarlington Rd, East Geelong, VIC, 3220, Australia.

出版信息

Parasit Vectors. 2016 Nov 18;9(1):590. doi: 10.1186/s13071-016-1870-1.

Abstract

BACKGROUND

Widespread in the tropics, the mosquito Aedes aegypti is an important vector of many viruses, posing a significant threat to human health. Vector monitoring often requires fecundity estimation by counting eggs laid by female mosquitoes. Traditionally, manual data analyses have been used but this requires a lot of effort and is the methods are prone to errors. An easy tool to assess the number of eggs laid would facilitate experimentation and vector control operations.

RESULTS

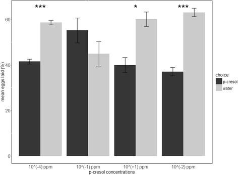
This study introduces a built-in software called ICount allowing automatic egg counting of the mosquito vector, Aedes aegypti. ICount egg estimation compared to manual counting is statistically equivalent, making the software effective for automatic and semi-automatic data analysis. This technique also allows rapid analysis compared to manual methods. Finally, the software has been used to assess p-cresol oviposition choices under laboratory conditions in order to test the system with different egg densities.

CONCLUSIONS

ICount is a powerful tool for fast and precise egg count analysis, freeing experimenters from manual data processing. Software access is free and its user-friendly interface allows easy use by non-experts. Its efficiency has been tested in our laboratory with oviposition dual choices of Aedes aegypti females. The next step will be the development of a mobile application, based on the ICount platform, for vector monitoring surveys in the field.

摘要

背景

埃及伊蚊广泛分布于热带地区,是多种病毒的重要传播媒介,对人类健康构成重大威胁。病媒监测通常需要通过计数雌蚊所产的卵来估计繁殖力。传统上,一直采用人工数据分析,但这需要耗费大量精力,且方法容易出错。一种便于评估产卵数量的工具将有助于实验和病媒控制操作。

结果

本研究引入了一款名为ICount的内置软件,可对病媒埃及伊蚊进行自动卵计数。与人工计数相比,ICount的卵估计在统计学上是等效的,这使得该软件在自动和半自动数据分析方面很有效。与人工方法相比,该技术还能实现快速分析。最后,该软件已被用于评估实验室条件下对甲酚的产卵选择,以便在不同卵密度下测试该系统。

结论

ICount是一款用于快速精确卵计数分析的强大工具,使实验人员无需进行人工数据处理。软件免费使用,其用户友好界面便于非专业人员使用。其效率已在我们实验室对埃及伊蚊雌蚊的产卵双重选择实验中得到验证。下一步将基于ICount平台开发一款移动应用程序,用于野外病媒监测调查。

https://cdn.ncbi.nlm.nih.gov/pmc/blobs/6c42/5116143/46ff797c4cf6/13071_2016_1870_Fig1_HTML.jpg

文献AI研究员

20分钟写一篇综述,助力文献阅读效率提升50倍。

立即体验

用中文搜PubMed

大模型驱动的PubMed中文搜索引擎

马上搜索

文档翻译

学术文献翻译模型,支持多种主流文档格式。

立即体验