Suppr超能文献

东京病毒的形态学和分类学特性,首个从日本分离出的马赛病毒科成员

Morphological and Taxonomic Properties of Tokyovirus, the First Marseilleviridae Member Isolated from Japan.

作者信息

Takemura Masaharu

机构信息

Laboratory of Biology, Department of Liberal Arts, Faculty of Science, Tokyo University of Science (RIKADAI).

出版信息

Microbes Environ. 2016 Dec 23;31(4):442-448. doi: 10.1264/jsme2.ME16107. Epub 2016 Nov 19.

Abstract

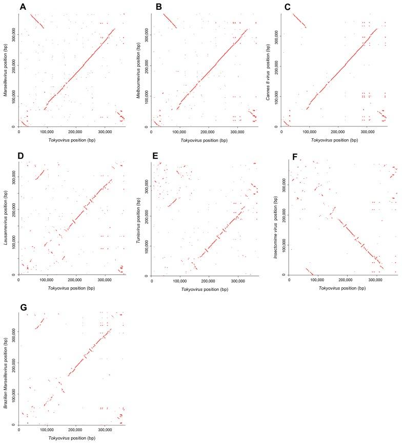
Members of the Marseilleviridae family are large DNA viruses with icosahedral particle structures that infect Acanthamoeba cells. The first Marseillevirus to be discovered was isolated in 2009. Since then, several other members of the Marseilleviridae family have been reported, including Lausannevirus, Senegalvirus, Cannes 8 virus, Insectomime virus, Tunisvirus, Melbournevirus, Port-Miou virus, and Brazilian Marseillevirus, which have been isolated from Europe, Africa, Australia, and South America. The morphological and genomic properties of a new Marseilleviridae family member, Tokyovirus, discovered in a water/soil sample from a Japanese river in Tokyo, were described in the present study. Tokyovirus possesses icosahedral particles of up to 200 nm in diameter, as revealed by a transmission electron microscopy (TEM) analysis, which form a giant virion factory in Acanthamoeba cells. A preliminary genome analysis predicted 487 coding sequences. A dot plot analysis and phylogenetic analysis using family B DNA polymerase, proliferating cell nuclear antigen (PCNA), and DNA-directed RNA polymerase alpha subunit genes revealed that Tokyovirus shares similarities with Marseillevirus, Melbournevirus, and Cannes 8 virus (Marseilleviridae subclade A), but not with Lausannevirus and Port-Miou virus (subclade B), Tunisvirus and Insectomime virus (subclade C), or Brazilian Marseillevirus (subclade D), suggesting that Tokyovirus has evolved separately from the previously described Marseilleviridae members.

摘要

马赛病毒科的成员是具有二十面体颗粒结构的大型DNA病毒,可感染棘阿米巴细胞。首个被发现的马赛病毒于2009年分离得到。自那时起,又有其他几种马赛病毒科成员被报道,包括洛桑病毒、塞内加尔病毒、戛纳8病毒、拟昆虫病毒、突尼斯病毒、墨尔本病毒、米约港病毒和巴西马赛病毒,它们分别从欧洲、非洲、澳大利亚和南美洲分离得到。本研究描述了在东京一条日本河流的水/土壤样本中发现的一种新的马赛病毒科成员——东京病毒的形态和基因组特性。透射电子显微镜(TEM)分析显示,东京病毒拥有直径达200 nm的二十面体颗粒,这些颗粒在棘阿米巴细胞中形成巨大的病毒工厂。初步基因组分析预测有487个编码序列。使用B族DNA聚合酶、增殖细胞核抗原(PCNA)和DNA指导的RNA聚合酶α亚基基因进行的点图分析和系统发育分析表明,东京病毒与马赛病毒、墨尔本病毒和戛纳8病毒(马赛病毒科A亚分支)有相似性,但与洛桑病毒和米约港病毒(B亚分支)、突尼斯病毒和拟昆虫病毒(C亚分支)或巴西马赛病毒(D亚分支)不同,这表明东京病毒是从先前描述的马赛病毒科成员中独立进化而来的。

https://cdn.ncbi.nlm.nih.gov/pmc/blobs/6497/5158117/7fd9c54aa99a/31_442_1.jpg

相似文献

1
Morphological and Taxonomic Properties of Tokyovirus, the First Marseilleviridae Member Isolated from Japan.
Microbes Environ. 2016 Dec 23;31(4):442-448. doi: 10.1264/jsme2.ME16107. Epub 2016 Nov 19.
3
Complete genome sequence of Tunisvirus, a new member of the proposed family Marseilleviridae.
Arch Virol. 2014 Sep;159(9):2349-58. doi: 10.1007/s00705-014-2023-5. Epub 2014 Apr 26.
5
The expanding family Marseilleviridae.
Virology. 2014 Oct;466-467:27-37. doi: 10.1016/j.virol.2014.07.014. Epub 2014 Aug 5.
7
Lausannevirus, a giant amoebal virus encoding histone doublets.
Environ Microbiol. 2011 Jun;13(6):1454-66. doi: 10.1111/j.1462-2920.2011.02446.x. Epub 2011 Mar 9.
8
"Marseilleviridae", a new family of giant viruses infecting amoebae.
Arch Virol. 2013 Apr;158(4):915-20. doi: 10.1007/s00705-012-1537-y. Epub 2012 Nov 29.
9
Complete genome sequence of Cannes 8 virus, a new member of the proposed family "Marseilleviridae".
Virus Genes. 2013 Dec;47(3):550-5. doi: 10.1007/s11262-013-0965-4. Epub 2013 Aug 4.
10
Marseilleviridae Lineage B Diversity and Bunch Formation Inhibited by Galactose.
Microbes Environ. 2021;36(1). doi: 10.1264/jsme2.ME20139.

引用本文的文献

1
Near-complete genome of medusavirus euryale, putative third species of the genus , isolated from the TaeHwaGang river, Ulsan, South Korea.
Microbiol Resour Announc. 2025 Apr 10;14(4):e0117124. doi: 10.1128/mra.01171-24. Epub 2025 Feb 25.
2
Visualization of giant in a movie for biology classrooms.
J Microbiol Biol Educ. 2024 Dec 12;25(3):e0013824. doi: 10.1128/jmbe.00138-24. Epub 2024 Nov 8.
3
Complete genome sequence of , a relative of Pacmanvirus, isolated from the Tamagawa River in Japan.
Microbiol Resour Announc. 2024 Jul 18;13(7):e0026524. doi: 10.1128/mra.00265-24. Epub 2024 Jun 11.
5
The consequences of viral infection on protists.
Commun Biol. 2024 Mar 11;7(1):306. doi: 10.1038/s42003-024-06001-2.
6
Viral histones: pickpocket's prize or primordial progenitor?
Epigenetics Chromatin. 2022 May 28;15(1):21. doi: 10.1186/s13072-022-00454-7.
7
Hybrid Sequencing Resolved Inverted Terminal Repeats in the Genome of Megavirus Baoshan.
Front Microbiol. 2022 May 10;13:831659. doi: 10.3389/fmicb.2022.831659. eCollection 2022.
9
Morphological and Taxonomic Properties of the Newly Isolated , a New Lineage of the Subfamily .
J Virol. 2021 Aug 25;95(18):e0091921. doi: 10.1128/JVI.00919-21.
10
Marseilleviridae Lineage B Diversity and Bunch Formation Inhibited by Galactose.
Microbes Environ. 2021;36(1). doi: 10.1264/jsme2.ME20139.

本文引用的文献

2
Giant Viruses of Amoebas: An Update.
Front Microbiol. 2016 Mar 22;7:349. doi: 10.3389/fmicb.2016.00349. eCollection 2016.
3
The Large Marseillevirus Explores Different Entry Pathways by Forming Giant Infectious Vesicles.
J Virol. 2016 May 12;90(11):5246-55. doi: 10.1128/JVI.00177-16. Print 2016 Jun 1.
6
The rapidly expanding universe of giant viruses: Mimivirus, Pandoravirus, Pithovirus and Mollivirus.
FEMS Microbiol Rev. 2015 Nov;39(6):779-96. doi: 10.1093/femsre/fuv037. Epub 2015 Sep 20.
7
In-depth study of Mollivirus sibericum, a new 30,000-y-old giant virus infecting Acanthamoeba.
Proc Natl Acad Sci U S A. 2015 Sep 22;112(38):E5327-35. doi: 10.1073/pnas.1510795112. Epub 2015 Sep 8.
8
Evolution of Eukaryotic DNA Polymerases via Interaction Between Cells and Large DNA Viruses.
J Mol Evol. 2015 Aug;81(1-2):24-33. doi: 10.1007/s00239-015-9690-z. Epub 2015 Jul 16.
9
Faustovirus, an asfarvirus-related new lineage of giant viruses infecting amoebae.
J Virol. 2015 Jul;89(13):6585-94. doi: 10.1128/JVI.00115-15.

文献AI研究员

20分钟写一篇综述,助力文献阅读效率提升50倍。

立即体验

用中文搜PubMed

大模型驱动的PubMed中文搜索引擎

马上搜索

文档翻译

学术文献翻译模型,支持多种主流文档格式。

立即体验