• 文献检索
  • 文档翻译
  • 深度研究
  • 学术资讯
  • Suppr Zotero 插件Zotero 插件
  • 邀请有礼
  • 套餐&价格
  • 历史记录
应用&插件
Suppr Zotero 插件Zotero 插件浏览器插件Mac 客户端Windows 客户端微信小程序
定价
高级版会员购买积分包购买API积分包
服务
文献检索文档翻译深度研究API 文档MCP 服务
关于我们
关于 Suppr公司介绍联系我们用户协议隐私条款
关注我们

Suppr 超能文献

核心技术专利:CN118964589B侵权必究
粤ICP备2023148730 号-1Suppr @ 2026

文献检索

告别复杂PubMed语法,用中文像聊天一样搜索,搜遍4000万医学文献。AI智能推荐,让科研检索更轻松。

立即免费搜索

文件翻译

保留排版,准确专业,支持PDF/Word/PPT等文件格式,支持 12+语言互译。

免费翻译文档

深度研究

AI帮你快速写综述,25分钟生成高质量综述,智能提取关键信息,辅助科研写作。

立即免费体验

乍得的遗传多样性揭示了一段以全新世时期多次欧亚迁徙为特征的非洲历史。

Chad Genetic Diversity Reveals an African History Marked by Multiple Holocene Eurasian Migrations.

作者信息

Haber Marc, Mezzavilla Massimo, Bergström Anders, Prado-Martinez Javier, Hallast Pille, Saif-Ali Riyadh, Al-Habori Molham, Dedoussis George, Zeggini Eleftheria, Blue-Smith Jason, Wells R Spencer, Xue Yali, Zalloua Pierre A, Tyler-Smith Chris

机构信息

Wellcome Trust Sanger Institute, Wellcome Genome Campus, Hinxton, Cambridge CB10 1SA, UK.

Wellcome Trust Sanger Institute, Wellcome Genome Campus, Hinxton, Cambridge CB10 1SA, UK; Institute for Maternal and Child Health, IRCCS Burlo Garofolo, University of Trieste, 34137 Trieste, Italy.

出版信息

Am J Hum Genet. 2016 Dec 1;99(6):1316-1324. doi: 10.1016/j.ajhg.2016.10.012. Epub 2016 Nov 23.

DOI:10.1016/j.ajhg.2016.10.012
PMID:27889059
原文链接:https://pmc.ncbi.nlm.nih.gov/articles/PMC5142112/
Abstract

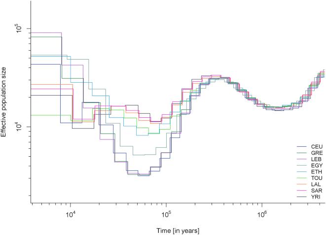
Understanding human genetic diversity in Africa is important for interpreting the evolution of all humans, yet vast regions in Africa, such as Chad, remain genetically poorly investigated. Here, we use genotype data from 480 samples from Chad, the Near East, and southern Europe, as well as whole-genome sequencing from 19 of them, to show that many populations today derive their genomes from ancient African-Eurasian admixtures. We found evidence of early Eurasian backflow to Africa in people speaking the unclassified isolate Laal language in southern Chad and estimate from linkage-disequilibrium decay that this occurred 4,750-7,200 years ago. It brought to Africa a Y chromosome lineage (R1b-V88) whose closest relatives are widespread in present-day Eurasia; we estimate from sequence data that the Chad R1b-V88 Y chromosomes coalesced 5,700-7,300 years ago. This migration could thus have originated among Near Eastern farmers during the African Humid Period. We also found that the previously documented Eurasian backflow into Africa, which occurred ∼3,000 years ago and was thought to be mostly limited to East Africa, had a more westward impact affecting populations in northern Chad, such as the Toubou, who have 20%-30% Eurasian ancestry today. We observed a decline in heterozygosity in admixed Africans and found that the Eurasian admixture can bias inferences on their coalescent history and confound genetic signals from adaptation and archaic introgression.

摘要

了解非洲的人类遗传多样性对于解读全人类的进化至关重要,然而非洲的广大地区,如乍得,在遗传学上仍未得到充分研究。在这里,我们使用了来自乍得、近东和南欧的480个样本的基因型数据,以及其中19个样本的全基因组测序数据,来表明如今许多人群的基因组源自古代非洲 - 欧亚大陆的混合。我们在乍得南部说未分类孤立语言拉尔语的人群中发现了早期欧亚大陆回流到非洲的证据,并通过连锁不平衡衰减估计这发生在4750 - 7200年前。它给非洲带来了一个Y染色体谱系(R1b - V88),其最亲近的亲属在当今欧亚大陆广泛分布;我们从序列数据估计乍得的R1b - V88 Y染色体在5700 - 7300年前发生了聚合。因此,这次迁移可能起源于非洲湿润期的近东农民。我们还发现,先前记录的约3000年前发生的欧亚大陆回流到非洲的事件,原本被认为主要局限于东非,但其影响更向西扩展,波及乍得北部的人群,如图布人,他们如今有20% - 30%的欧亚血统。我们观察到混血非洲人的杂合度下降,并发现欧亚大陆的混合会使对他们聚合历史的推断产生偏差,并混淆来自适应性和古老基因渗入的遗传信号。

https://cdn.ncbi.nlm.nih.gov/pmc/blobs/c228/5142112/e3d859f4d728/gr5.jpg
https://cdn.ncbi.nlm.nih.gov/pmc/blobs/c228/5142112/ee2431ad78eb/gr1.jpg
https://cdn.ncbi.nlm.nih.gov/pmc/blobs/c228/5142112/d50c201ec51e/gr2.jpg
https://cdn.ncbi.nlm.nih.gov/pmc/blobs/c228/5142112/0fecd039db6d/gr3.jpg
https://cdn.ncbi.nlm.nih.gov/pmc/blobs/c228/5142112/d2aafea2aa4f/gr4.jpg
https://cdn.ncbi.nlm.nih.gov/pmc/blobs/c228/5142112/e3d859f4d728/gr5.jpg
https://cdn.ncbi.nlm.nih.gov/pmc/blobs/c228/5142112/ee2431ad78eb/gr1.jpg
https://cdn.ncbi.nlm.nih.gov/pmc/blobs/c228/5142112/d50c201ec51e/gr2.jpg
https://cdn.ncbi.nlm.nih.gov/pmc/blobs/c228/5142112/0fecd039db6d/gr3.jpg
https://cdn.ncbi.nlm.nih.gov/pmc/blobs/c228/5142112/d2aafea2aa4f/gr4.jpg
https://cdn.ncbi.nlm.nih.gov/pmc/blobs/c228/5142112/e3d859f4d728/gr5.jpg

相似文献

1
Chad Genetic Diversity Reveals an African History Marked by Multiple Holocene Eurasian Migrations.乍得的遗传多样性揭示了一段以全新世时期多次欧亚迁徙为特征的非洲历史。
Am J Hum Genet. 2016 Dec 1;99(6):1316-1324. doi: 10.1016/j.ajhg.2016.10.012. Epub 2016 Nov 23.
2
Genetic history of Chad.乍得的遗传史。
Am J Phys Anthropol. 2018 Dec;167(4):804-812. doi: 10.1002/ajpa.23711. Epub 2018 Sep 27.
3
Ancient Ethiopian genome reveals extensive Eurasian admixture throughout the African continent.古埃塞俄比亚人基因组揭示了整个非洲大陆广泛的欧亚人群混合。
Science. 2015 Nov 13;350(6262):820-2. doi: 10.1126/science.aad2879. Epub 2015 Oct 8.
4
Genomic ancestry of North Africans supports back-to-Africa migrations.北非人的基因组血统支持返非迁移。
PLoS Genet. 2012 Jan;8(1):e1002397. doi: 10.1371/journal.pgen.1002397. Epub 2012 Jan 12.
5
Genomic analyses inform on migration events during the peopling of Eurasia.基因组分析为欧亚大陆人类迁徙过程中的迁徙事件提供了信息。
Nature. 2016 Oct 13;538(7624):238-242. doi: 10.1038/nature19792. Epub 2016 Sep 21.
6
Analyses of Neanderthal introgression suggest that Levantine and southern Arabian populations have a shared population history.对尼安德特人基因渗入的分析表明,黎凡特和阿拉伯南部人群具有共同的种群历史。
Am J Phys Anthropol. 2019 Jun;169(2):227-239. doi: 10.1002/ajpa.23818. Epub 2019 Mar 19.
7
137 ancient human genomes from across the Eurasian steppes.来自欧亚草原的 137 个古人类基因组。
Nature. 2018 May;557(7705):369-374. doi: 10.1038/s41586-018-0094-2. Epub 2018 May 9.
8
Ancient west Eurasian ancestry in southern and eastern Africa.非洲南部和东部的古老西方欧亚血统。
Proc Natl Acad Sci U S A. 2014 Feb 18;111(7):2632-7. doi: 10.1073/pnas.1313787111. Epub 2014 Feb 3.
9
Later Stone Age human hair from Vaalkrans Shelter, Cape Floristic Region of South Africa, reveals genetic affinity to Khoe groups.南非福尔斯湾地区瓦尔克兰斯避难所的晚期石器时代人类毛发,与科伊族群具有基因亲缘关系。
Am J Phys Anthropol. 2021 Apr;174(4):701-713. doi: 10.1002/ajpa.24236. Epub 2021 Feb 4.
10
Human Y chromosome haplogroup R-V88: a paternal genetic record of early mid Holocene trans-Saharan connections and the spread of Chadic languages.人类 Y 染色体单倍群 R-V88:中全新世跨撒哈拉联系和乍得语系传播的父系遗传记录。
Eur J Hum Genet. 2010 Jul;18(7):800-7. doi: 10.1038/ejhg.2009.231. Epub 2010 Jan 6.

引用本文的文献

1
Telomere-to-telomere genome assembly uncovers Wolbachia-driven recurrent male bottleneck effect and selection in a sawfly.端粒到端粒的基因组组装揭示了叶蜂中沃尔巴克氏体驱动的反复出现的雄性瓶颈效应和选择。
Commun Biol. 2025 Aug 13;8(1):1211. doi: 10.1038/s42003-025-08629-0.
2
Population history and admixture of the Fulani people from the Sahel.来自萨赫勒地区的富拉尼人的人口历史与混合情况。
Am J Hum Genet. 2025 Feb 6;112(2):261-275. doi: 10.1016/j.ajhg.2024.12.015.
3
Genomic and transcriptomic insights into vitamin A-induced thermogenesis and gene reuse as a cold adaptation strategy in wild boars.

本文引用的文献

1
Deep Roots for Aboriginal Australian Y Chromosomes.澳大利亚原住民Y染色体的深厚根源。
Curr Biol. 2016 Mar 21;26(6):809-13. doi: 10.1016/j.cub.2016.01.028. Epub 2016 Feb 25.
2
Ancient DNA and the rewriting of human history: be sparing with Occam's razor.古DNA与人类历史的改写:慎用奥卡姆剃刀原理。
Genome Biol. 2016 Jan 11;17:1. doi: 10.1186/s13059-015-0866-z.
3
Indigenous Arabs are descendants of the earliest split from ancient Eurasian populations.本土阿拉伯人是最早从古欧亚人群中分化出来的后裔。
野猪中维生素A诱导的产热及基因重复利用作为冷适应策略的基因组和转录组学见解
Commun Biol. 2025 Jan 24;8(1):116. doi: 10.1038/s42003-025-07536-8.
4
BaTwa populations from Zambia retain ancestry of past hunter-gatherer groups.赞比亚的巴图瓦人群保留了过去狩猎采集群体的祖先。
Nat Commun. 2024 Aug 24;15(1):7307. doi: 10.1038/s41467-024-50733-y.
5
Human Y chromosome haplogroup L1-M22 traces Neolithic expansion in West Asia and supports the Elamite and Dravidian connection.人类Y染色体单倍群L1-M22追踪了新石器时代在西亚的扩张,并支持埃兰语和达罗毗荼语的联系。
iScience. 2024 May 17;27(6):110016. doi: 10.1016/j.isci.2024.110016. eCollection 2024 Jun 21.
6
Evolutionary Genetics and Admixture in African Populations.非洲人群的进化遗传学与混合。
Genome Biol Evol. 2023 Apr 6;15(4). doi: 10.1093/gbe/evad054.
7
A Population Genetic Perspective on Subsistence Systems in the Sahel/Savannah Belt of Africa and the Historical Role of Pastoralism.从人口遗传学角度看非洲萨赫勒/稀树草原带的生计系统和过去畜牧业的历史作用
Genes (Basel). 2023 Mar 20;14(3):758. doi: 10.3390/genes14030758.
8
Demographic and Selection Histories of Populations Across the Sahel/Savannah Belt.撒哈拉沙漠/萨赫勒地带的人口统计学和选择历史。
Mol Biol Evol. 2022 Oct 7;39(10). doi: 10.1093/molbev/msac209.
9
Pinpointing the Geographic Origin of 165-Year-Old Human Skeletal Remains Found in Punjab, India: Evidence From Mitochondrial DNA and Stable Isotope Analysis.确定在印度旁遮普邦发现的有165年历史的人类骨骼遗骸的地理来源:来自线粒体DNA和稳定同位素分析的证据
Front Genet. 2022 Apr 28;13:813934. doi: 10.3389/fgene.2022.813934. eCollection 2022.
10
Comparison of sequencing data processing pipelines and application to underrepresented African human populations.测序数据处理管道的比较及其在代表性不足的非洲人群中的应用。
BMC Bioinformatics. 2021 Oct 9;22(1):488. doi: 10.1186/s12859-021-04407-x.
Genome Res. 2016 Feb;26(2):151-62. doi: 10.1101/gr.191478.115. Epub 2016 Jan 4.
4
Extensive Admixture and Selective Pressure Across the Sahel Belt.萨赫勒地带广泛的基因混合与选择压力
Genome Biol Evol. 2015 Nov 26;7(12):3484-95. doi: 10.1093/gbe/evv236.
5
Ancient Ethiopian genome reveals extensive Eurasian admixture throughout the African continent.古埃塞俄比亚人基因组揭示了整个非洲大陆广泛的欧亚人群混合。
Science. 2015 Nov 13;350(6262):820-2. doi: 10.1126/science.aad2879. Epub 2015 Oct 8.
6
A global reference for human genetic variation.人类遗传变异的全球参考。
Nature. 2015 Oct 1;526(7571):68-74. doi: 10.1038/nature15393.
7
Tracing the route of modern humans out of Africa by using 225 human genome sequences from Ethiopians and Egyptians.通过使用来自埃塞俄比亚人和埃及人的225个人类基因组序列来追踪现代人类走出非洲的路线。
Am J Hum Genet. 2015 Jun 4;96(6):986-91. doi: 10.1016/j.ajhg.2015.04.019. Epub 2015 May 28.
8
Large-scale recent expansion of European patrilineages shown by population resequencing.群体重测序显示欧洲父系血统近期的大规模扩张。
Nat Commun. 2015 May 19;6:7152. doi: 10.1038/ncomms8152.
9
The Kalash genetic isolate: ancient divergence, drift, and selection.卡拉什人基因隔离群体:古老的分化、基因漂变与选择
Am J Hum Genet. 2015 May 7;96(5):775-83. doi: 10.1016/j.ajhg.2015.03.012. Epub 2015 Apr 30.
10
Massive migration from the steppe was a source for Indo-European languages in Europe.来自草原的大规模迁徙是欧洲印欧语系的一个源头。
Nature. 2015 Jun 11;522(7555):207-11. doi: 10.1038/nature14317. Epub 2015 Mar 2.