Suppr超能文献

诱捕技术的比较(鞘翅目:步甲科、吉丁甲科、天牛科和象甲总科,不包括小蠹亚科)。

A comparison of trapping techniques (Coleoptera: Carabidae, Buprestidae, Cerambycidae, and Curculionoidea excluding Scolytinae).

作者信息

Skvarla Michael J, Dowling Ashley P G

机构信息

Department of Entomology, 319 Agriculture Bldg., University of Arkansas, Fayetteville, AR 72701, USA (

出版信息

J Insect Sci. 2017 Jan 27;17(1). doi: 10.1093/jisesa/iew098. Print 2017 Jan.

Abstract

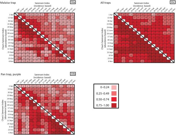
Beetles (Coleoptera) are a charismatic group of insects targeted by collectors and often used in biodiversity surveys. As part of a larger project, we surveyed a small (4 hectare) plot in the Boston Mountains of Arkansas using 70 traps of 12 trap types and Berlese-Tullgren extraction of leaf litter and identified all Buprestidae, Carabidae, Cerambycidae, and Curculionoidea (Anthribidae, Attelabidae, Brachyceridae, Brentidae, and Curculionidae excluding Scolytinae) to species. This resulted in the collection of 7,973 specimens representing 242 species arranged in 8 families. In a previous publication, we reported new state records and the number of specimens collected per species. In this publication, we used these data to determine the most effective collection method for four beetle groups: Carabidae, Cerambycidae, Curculionoidea (excluding Scolytinae), and Buprestidae. We found that the combination of pitfall and Malaise traps was most effective for Carabidae, Cerambycidae, and Curculionoidea, but that the combination of Malaise and green Lindgren funnel traps was most effective at collecting Buprestidae. Species accumulation curves did not become asymptotic and extrapolated rarefaction curves did not become asymptotic until 350-1,000 samples, suggesting that much more effort is required to completely inventory even a small site. Additionally, seasonal activity is presented for each species and the similarity and overlap between collecting dates and seasons is discussed for each family.

摘要

甲虫(鞘翅目)是一类极具魅力的昆虫,深受收藏家喜爱,常用于生物多样性调查。作为一个更大项目的一部分,我们在阿肯色州波士顿山的一块小(4公顷)地块上进行了调查,使用了70个陷阱,分12种陷阱类型,对落叶层进行了巴氏-图尔格伦提取,并将所有吉丁甲科、步甲科、天牛科和象甲总科(包括长角象科、叶甲科、短角象科、蛛甲科和象甲科,不包括小蠹亚科)鉴定到种。这导致收集了7973个标本,代表242个物种,分属于8个科。在之前的一篇出版物中,我们报告了新的州记录以及每个物种收集的标本数量。在本出版物中,我们利用这些数据来确定四种甲虫类群(步甲科、天牛科、象甲总科(不包括小蠹亚科)和吉丁甲科)最有效的收集方法。我们发现,陷阱和马氏网陷阱的组合对步甲科、天牛科和象甲总科最为有效,但马氏网和绿色 Lindgren 漏斗陷阱的组合在收集吉丁甲科方面最为有效。物种积累曲线直到350 - 1000个样本时才渐近,外推的稀疏曲线也直到那时才渐近,这表明即使是对一个小地点进行完全编目也需要付出更多努力。此外,还给出了每个物种的季节性活动情况,并讨论了每个科的收集日期和季节之间的相似性和重叠情况。

https://cdn.ncbi.nlm.nih.gov/pmc/blobs/fbbd/5270409/a26a53ebafff/iew098f1p.jpg

文献AI研究员

20分钟写一篇综述,助力文献阅读效率提升50倍。

立即体验

用中文搜PubMed

大模型驱动的PubMed中文搜索引擎

马上搜索

文档翻译

学术文献翻译模型,支持多种主流文档格式。

立即体验