• 文献检索
  • 文档翻译
  • 深度研究
  • 学术资讯
  • Suppr Zotero 插件Zotero 插件
  • 邀请有礼
  • 套餐&价格
  • 历史记录
应用&插件
Suppr Zotero 插件Zotero 插件浏览器插件Mac 客户端Windows 客户端微信小程序
定价
高级版会员购买积分包购买API积分包
服务
文献检索文档翻译深度研究API 文档MCP 服务
关于我们
关于 Suppr公司介绍联系我们用户协议隐私条款
关注我们

Suppr 超能文献

核心技术专利:CN118964589B侵权必究
粤ICP备2023148730 号-1Suppr @ 2026

文献检索

告别复杂PubMed语法,用中文像聊天一样搜索,搜遍4000万医学文献。AI智能推荐,让科研检索更轻松。

立即免费搜索

文件翻译

保留排版,准确专业,支持PDF/Word/PPT等文件格式,支持 12+语言互译。

免费翻译文档

深度研究

AI帮你快速写综述,25分钟生成高质量综述,智能提取关键信息,辅助科研写作。

立即免费体验

采用细胞角蛋白20逆转录聚合酶链反应检测循环肿瘤细胞是结肠癌患者独立的阴性预后标志物——一项前瞻性研究。

Detection of circulating tumor cells with CK20 RT-PCR is an independent negative prognostic marker in colon cancer patients - a prospective study.

作者信息

Hinz Sebastian, Hendricks Alexander, Wittig Amke, Schafmayer Clemens, Tepel Jürgen, Kalthoff Holger, Becker Thomas, Röder Christian

机构信息

Department of General and Thoracic Surgery, University Hospital Schleswig-Holstein, Campus Kiel, Arnold-Heller Str. 7, 24105, Kiel, Germany.

Division Molecular Oncology, Institute for Experimental Cancer Research, Cancer Center North, University Hospital Schleswig-Holstein, Campus Kiel, Arnold-Heller Str. 7, 24105, Kiel, Germany.

出版信息

BMC Cancer. 2017 Jan 13;17(1):53. doi: 10.1186/s12885-016-3035-1.

DOI:10.1186/s12885-016-3035-1
PMID:28086834
原文链接:https://pmc.ncbi.nlm.nih.gov/articles/PMC5237158/
Abstract

BACKGROUND

Detection of circulating (CTC) or disseminated tumor cells (DTC) has been associated with negative prognosis and outcome in patients with colorectal cancer, though testing for these cells is not yet part of clinical routine. There are several different methodological approaches to detect tumor cells but standardized detection assays are not implemented so far.

METHODS

In this prospective monocentric study 299 patients with colon cancer were included. CTC and DTC were detected using CK20 RT-PCR as well as immunocytochemistry staining with anti-pan-keratin and anti-EpCAM antibodies. The primary endpoints were: Evaluation of CTC and DTC at the time of surgery and correlation with main tumor characteristics and overall (OS) and disease free survival (DFS).

RESULTS

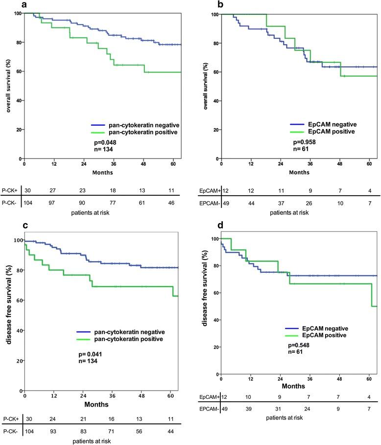
Patients with detectable CTC had a 5-year OS rate of 68% compared to a 5-year OS rate of 85% in patients without detectable CTC in the blood (p = 0.002). Detection of DTC in the bone marrow with CK20 RT-PCR was not associated with a worse OS or DFS. Detection of pan-cytokeratin positive DTC in the bone marrow correlated with a significantly reduced 5-year OS rate (p = 0.048), but detection of DTC in the bone marrow with the anti-EpCAM antibody did not significantly influence the 5-year OS rate (p = 0.958). By multivariate analyses only detection of CTC with CK20 RT-PCR in the blood was revealed to be an independent predictor of worse OS (HR1.94; 95% CI 1.0-3.7; p = 0.04) and DFS (HR 1.94; 95% CI 1.1-3.7; p = 0.044).

CONCLUSIONS

Detection of CTC with CK20 RT-PCR is a highly specific and independent prognostic marker in colon cancer patients. Detection of DTC in the bone marrow with CK20 RT-PCR or immunohistochemistry with anti-EpCAM antibody is not associated with a negative prognostic influence.

摘要

背景

循环肿瘤细胞(CTC)或播散肿瘤细胞(DTC)的检测与结直肠癌患者的不良预后和结局相关,尽管这些细胞的检测尚未成为临床常规检查的一部分。检测肿瘤细胞有几种不同的方法,但目前尚未实施标准化检测方法。

方法

在这项前瞻性单中心研究中,纳入了299例结肠癌患者。使用CK20逆转录聚合酶链反应(RT-PCR)以及抗泛角蛋白和抗上皮细胞黏附分子(EpCAM)抗体的免疫细胞化学染色检测CTC和DTC。主要终点为:手术时CTC和DTC的评估以及与主要肿瘤特征、总生存期(OS)和无病生存期(DFS)的相关性。

结果

血液中可检测到CTC的患者5年总生存率为68%,而血液中未检测到CTC的患者5年总生存率为85%(p = 0.002)。用CK20 RT-PCR检测骨髓中的DTC与较差的总生存期或无病生存期无关。骨髓中泛细胞角蛋白阳性DTC的检测与5年总生存率显著降低相关(p = 0.048),但用抗EpCAM抗体检测骨髓中的DTC对5年总生存率无显著影响(p = 0.958)。多因素分析显示,仅血液中用CK20 RT-PCR检测到CTC是总生存期较差(风险比1.94;95%可信区间1.0 - 3.7;p = 0.04)和无病生存期较差(风险比1.94;95%可信区间1.1 - 3.7;p = 0.044)的独立预测因素。

结论

用CK20 RT-PCR检测CTC是结肠癌患者高度特异且独立的预后标志物。用CK20 RT-PCR检测骨髓中的DTC或用抗EpCAM抗体进行免疫组化检测与不良预后影响无关。

https://cdn.ncbi.nlm.nih.gov/pmc/blobs/a15b/5237158/dbe83e39b7b4/12885_2016_3035_Fig2_HTML.jpg
https://cdn.ncbi.nlm.nih.gov/pmc/blobs/a15b/5237158/c950539c1f9b/12885_2016_3035_Fig1_HTML.jpg
https://cdn.ncbi.nlm.nih.gov/pmc/blobs/a15b/5237158/dbe83e39b7b4/12885_2016_3035_Fig2_HTML.jpg
https://cdn.ncbi.nlm.nih.gov/pmc/blobs/a15b/5237158/c950539c1f9b/12885_2016_3035_Fig1_HTML.jpg
https://cdn.ncbi.nlm.nih.gov/pmc/blobs/a15b/5237158/dbe83e39b7b4/12885_2016_3035_Fig2_HTML.jpg

相似文献

1
Detection of circulating tumor cells with CK20 RT-PCR is an independent negative prognostic marker in colon cancer patients - a prospective study.采用细胞角蛋白20逆转录聚合酶链反应检测循环肿瘤细胞是结肠癌患者独立的阴性预后标志物——一项前瞻性研究。
BMC Cancer. 2017 Jan 13;17(1):53. doi: 10.1186/s12885-016-3035-1.
2
Disseminated tumor cells in the bone marrow negatively influence survival after resection of colorectal liver metastases.骨髓中播散的肿瘤细胞会对结直肠肝转移切除术后的生存产生负面影响。
Ann Surg Oncol. 2012 Aug;19(8):2539-46. doi: 10.1245/s10434-012-2291-9. Epub 2012 Mar 7.
3
Cytokeratin-20 and Survivin-Expressing Circulating Tumor Cells Predict Survival in Metastatic Colorectal Cancer Patients by a Combined Immunomagnetic qRT-PCR Approach.通过联合免疫磁珠定量逆转录聚合酶链反应方法,细胞角蛋白-20和生存素表达的循环肿瘤细胞可预测转移性结直肠癌患者的生存情况。
Mol Cancer Ther. 2015 Oct;14(10):2401-8. doi: 10.1158/1535-7163.MCT-15-0359. Epub 2015 Jul 30.
4
Cytokeratin 20 positive circulating tumor cells are a marker for response after neoadjuvant chemoradiation but not for prognosis in patients with rectal cancer.细胞角蛋白20阳性循环肿瘤细胞是直肠癌患者新辅助放化疗后反应的标志物,但不是预后的标志物。
BMC Cancer. 2015 Dec 16;15:953. doi: 10.1186/s12885-015-1989-z.
5
Disseminated tumor cells in the blood of patients with gastric cancer are an independent predictive marker of poor prognosis.胃癌患者血液中的播散肿瘤细胞是预后不良的独立预测标志物。
Scand J Gastroenterol. 2005 Jul;40(7):843-9. doi: 10.1080/00365520510015557.
6
Cytokeratin 20 positive cells in blood of colorectal cancer patients as an unfavorable prognostic marker.结直肠癌患者血液中细胞角蛋白20阳性细胞作为不良预后标志物
Acta Clin Belg. 2016 Aug;71(4):235-43. doi: 10.1080/17843286.2016.1177264. Epub 2016 May 4.
7
Cytokeratin 20 and guanylyl cyclase C mRNA is largely present in lymph node and liver specimens of colorectal cancer patients.细胞角蛋白20和鸟苷酸环化酶C信使核糖核酸大量存在于结直肠癌患者的淋巴结和肝脏标本中。
Int J Cancer. 2003 Nov 20;107(4):617-28. doi: 10.1002/ijc.11425.
8
Long-term follow-up of bladder cancer patients with disseminated tumour cells in bone marrow.膀胱癌骨髓播散肿瘤细胞患者的长期随访。
Eur Urol. 2011 Aug;60(2):231-8. doi: 10.1016/j.eururo.2010.12.014. Epub 2010 Dec 22.
9
Detection of cytokeratin-20-positive cells in preoperative and postoperative blood samples from colorectal cancer patients by real-time RT-PCR.实时 RT-PCR 检测结直肠癌患者术前和术后血样中的细胞角蛋白-20 阳性细胞。
Int J Biol Markers. 2013 Jun 28;28(2):174-81. doi: 10.5301/jbm.5000003.
10
Usefulness and clinical significance of quantitative real-time RT-PCR to detect isolated tumor cells in the peripheral blood and tumor drainage blood of patients with colorectal cancer.定量实时逆转录聚合酶链反应检测结直肠癌患者外周血和肿瘤引流血中孤立肿瘤细胞的实用性及临床意义
Int J Oncol. 2006 Feb;28(2):297-306.

引用本文的文献

1
Oncology Biomarkers, Clinical Characteristics, and Survival Outcomes in Colorectal Cancer Patients with Spinal Metastases Undergoing Spinal Surgery: Insights from a Retrospective Cohort Study.接受脊柱手术的结直肠癌脊柱转移患者的肿瘤生物标志物、临床特征及生存结果:一项回顾性队列研究的见解
Cancers (Basel). 2025 May 22;17(11):1739. doi: 10.3390/cancers17111739.
2
Nanoparticles and bone microenvironment: a comprehensive review for malignant bone tumor diagnosis and treatment.纳米颗粒与骨微环境:恶性骨肿瘤诊治的全面综述
Mol Cancer. 2024 Nov 1;23(1):246. doi: 10.1186/s12943-024-02161-1.
3
Investigating the role of circulating tumor cells in gastric cancer: a comprehensive systematic review and meta-analysis.

本文引用的文献

1
Circulating tumour cells from patients with colorectal cancer have cancer stem cell hallmarks in culture.来自结直肠癌患者的循环肿瘤细胞在培养中具有癌症干细胞特征。
Gut. 2017 Oct;66(10):1802-1810. doi: 10.1136/gutjnl-2016-311447. Epub 2016 Jul 25.
2
Circulating tumor cells exhibit stem cell characteristics in an orthotopic mouse model of colorectal cancer.在结直肠癌原位小鼠模型中,循环肿瘤细胞表现出干细胞特征。
Oncotarget. 2016 May 10;7(19):27232-42. doi: 10.18632/oncotarget.8373.
3
Cytokeratin 20 positive circulating tumor cells are a marker for response after neoadjuvant chemoradiation but not for prognosis in patients with rectal cancer.
探讨循环肿瘤细胞在胃癌中的作用:一项全面的系统评价和荟萃分析。
Clin Exp Med. 2024 Mar 30;24(1):59. doi: 10.1007/s10238-024-01310-6.
4
Advancements in Circulating Tumor Cell Research: Bridging Biology and Clinical Applications.循环肿瘤细胞研究的进展:连接生物学与临床应用
Cancers (Basel). 2024 Mar 20;16(6):1213. doi: 10.3390/cancers16061213.
5
Circulating tumor cells in colorectal cancer - a review of detection methods and clinical relevance.结直肠癌中的循环肿瘤细胞——检测方法及临床相关性综述
Contemp Oncol (Pozn). 2023;27(3):123-131. doi: 10.5114/wo.2023.133740. Epub 2023 Dec 21.
6
Network approach in liquidomics landscape.液体组学图谱中的网络方法。
J Exp Clin Cancer Res. 2023 Aug 4;42(1):193. doi: 10.1186/s13046-023-02743-9.
7
Predictive value of circulating tumor cell counts during the treatment of cancer: interactions with the blood microenvironment.癌症治疗期间循环肿瘤细胞计数的预测价值:与血液微环境的相互作用
Int J Clin Oncol. 2023 Aug;28(8):1011-1022. doi: 10.1007/s10147-023-02355-5. Epub 2023 May 27.
8
Detection of Circulating and Disseminated Tumor Cells and Their Prognostic Value under the Influence of Neoadjuvant Therapy in Esophageal Cancer Patients.新辅助治疗影响下食管癌患者循环肿瘤细胞和播散肿瘤细胞的检测及其预后价值
Cancers (Basel). 2022 Mar 1;14(5):1279. doi: 10.3390/cancers14051279.
9
Epithelial-mesenchymal transition classification of circulating tumor cells in lung and colon cancer patients: potential role in clinical practice.肺癌和结肠癌患者循环肿瘤细胞的上皮-间质转化分类:在临床实践中的潜在作用。
Transl Cancer Res. 2020 Nov;9(11):6639-6651. doi: 10.21037/tcr-20-2235.
10
Detection of Marker Associated with CTC in Colorectal Cancer in Mononuclear Cells of Patients with Benign Inflammatory Intestinal Diseases.良性炎症性肠病患者单核细胞中与结直肠癌循环肿瘤细胞相关标志物的检测
Cancers (Basel). 2021 Dec 23;14(1):47. doi: 10.3390/cancers14010047.
细胞角蛋白20阳性循环肿瘤细胞是直肠癌患者新辅助放化疗后反应的标志物,但不是预后的标志物。
BMC Cancer. 2015 Dec 16;15:953. doi: 10.1186/s12885-015-1989-z.
4
Modeling selective elimination of quiescent cancer cells from bone marrow.模拟从骨髓中选择性清除静止期癌细胞。
Neoplasia. 2015 Aug;17(8):625-33. doi: 10.1016/j.neo.2015.08.001.
5
Rectal and colon cancer: Not just a different anatomic site.直肠癌和结肠癌:不只是不同的解剖部位。
Cancer Treat Rev. 2015 Sep;41(8):671-9. doi: 10.1016/j.ctrv.2015.06.007. Epub 2015 Jun 28.
6
Circulating tumour cells and outcome in non-metastatic colorectal cancer: a prospective study.循环肿瘤细胞与非转移性结直肠癌的预后:一项前瞻性研究。
Br J Cancer. 2015 Apr 14;112(8):1306-13. doi: 10.1038/bjc.2015.88. Epub 2015 Mar 31.
7
Circulating tumour cells and circulating nucleic acids as a measure of tumour dissemination in non-metastatic colorectal cancer surgery.循环肿瘤细胞和循环核酸作为非转移性结直肠癌手术中肿瘤播散的一种衡量指标
Eur J Surg Oncol. 2015 Mar;41(3):309-14. doi: 10.1016/j.ejso.2014.12.005. Epub 2014 Dec 30.
8
Cytokeratin 20 improves the detection of circulating tumor cells in patients with colorectal cancer.细胞角蛋白 20 提高结直肠癌患者循环肿瘤细胞的检测率。
Cancer Lett. 2015 Mar 1;358(1):43-6. doi: 10.1016/j.canlet.2014.12.024. Epub 2014 Dec 17.
9
Role of circulating tumor cells as prognostic marker in resected stage III colorectal cancer.循环肿瘤细胞作为 III 期结直肠癌切除术后预后标志物的作用。
Ann Oncol. 2015 Mar;26(3):535-41. doi: 10.1093/annonc/mdu568. Epub 2014 Dec 15.
10
Detection of circulating tumor cells in patients with locally advanced rectal cancer undergoing neoadjuvant therapy followed by curative surgery.在接受新辅助治疗后进行根治性手术的局部晚期直肠癌患者中检测循环肿瘤细胞。
Int J Colorectal Dis. 2014 Sep;29(9):1053-9. doi: 10.1007/s00384-014-1958-z. Epub 2014 Jul 10.