• 文献检索
  • 文档翻译
  • 深度研究
  • 学术资讯
  • Suppr Zotero 插件Zotero 插件
  • 邀请有礼
  • 套餐&价格
  • 历史记录
应用&插件
Suppr Zotero 插件Zotero 插件浏览器插件Mac 客户端Windows 客户端微信小程序
定价
高级版会员购买积分包购买API积分包
服务
文献检索文档翻译深度研究API 文档MCP 服务
关于我们
关于 Suppr公司介绍联系我们用户协议隐私条款
关注我们

Suppr 超能文献

核心技术专利:CN118964589B侵权必究
粤ICP备2023148730 号-1Suppr @ 2026

文献检索

告别复杂PubMed语法,用中文像聊天一样搜索,搜遍4000万医学文献。AI智能推荐,让科研检索更轻松。

立即免费搜索

文件翻译

保留排版,准确专业,支持PDF/Word/PPT等文件格式,支持 12+语言互译。

免费翻译文档

深度研究

AI帮你快速写综述,25分钟生成高质量综述,智能提取关键信息,辅助科研写作。

立即免费体验

运动后T细胞重新分布及细胞内细胞因子表达:运动强度和巨细胞病毒感染的影响

T-cell redeployment and intracellular cytokine expression following exercise: effects of exercise intensity and cytomegalovirus infection.

作者信息

LaVoy Emily C, Hussain Maryam, Reed Justin, Kunz Hawley, Pistillo Mira, Bigley Austin B, Simpson Richard J

机构信息

Department of Health & Human Performance, University of Houston, Houston, Texas

Department of Arts & Sciences, University of Delaware, Newark, Delaware.

出版信息

Physiol Rep. 2017 Jan;5(1). doi: 10.14814/phy2.13070. Epub 2017 Jan 13.

DOI:10.14814/phy2.13070
PMID:28087817
原文链接:https://pmc.ncbi.nlm.nih.gov/articles/PMC5256156/
Abstract

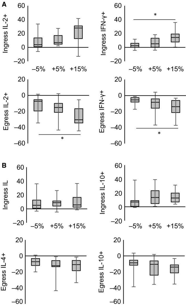
The magnitude of lymphocytosis following exercise is directly related to exercise intensity. Infection with cytomegalovirus (CMV) also augments lymphocytosis after exercise. It is not known if the enhanced T-cell response to exercise due to CMV depends on exercise intensity. Furthermore, exercise-induced changes in T-cell expression of type I and type II cytokines are thought to be intensity dependent, but direct comparisons are lacking. The aim of this experiment was to determine if CMV affects the exercise-induced redistribution of T-cell subsets at varying intensities, and determine the effect of exercise intensity on CD8 T-cell cytokine expression. Seventeen cyclists (nine CMV seropositive; CMV+) completed three 30 min cycling trials at -5, +5, and +15% of blood lactate threshold (LT). T-cell subsets in blood and intracellular expression of type I (IL-2, interferon(IFN)-γ) and type II (IL-4, IL-10) cytokines by CD8 T cells pre, post, and 1-h post-exercise were assessed by flow cytometry. Independently of CMV, T-cell subset redistribution was greater after +15%LT compared to -5%LT (P < 0.05). Independently of intensity, CMV- mobilized more low- (CD27 CD28) and medium- (CD27 CD28) differentiated T cells than CMV+, whereas CMV+ mobilized more high (CD27 CD28) differentiated T cells. The numbers of IL-2+, IFN-γ+, IL-4+, and IL-10+ CD8 T cells increased after exercise above LT Only type I cytokine expression was influenced by exercise intensity (P < 0.05). In conclusion, T-cell redeployment by exercise is directly related to exercise intensity, as are changes in the number of CD8 T-cells expressing type I cytokines. Although CMV+ mobilized more high-differentiated T cells than CMV-, this occurred at all intensities. Therefore, the augmenting effect of CMV on T-cell mobilization is independent of exercise intensity.

摘要

运动后淋巴细胞增多的程度与运动强度直接相关。巨细胞病毒(CMV)感染也会增强运动后的淋巴细胞增多。目前尚不清楚CMV导致的运动诱导T细胞反应增强是否取决于运动强度。此外,运动诱导的I型和II型细胞因子在T细胞表达上的变化被认为取决于强度,但缺乏直接比较。本实验的目的是确定CMV是否在不同强度下影响运动诱导的T细胞亚群重新分布,并确定运动强度对CD8 T细胞细胞因子表达的影响。17名自行车运动员(9名CMV血清阳性;CMV+)在血乳酸阈值(LT)的-5%、+5%和+15%下完成了三次30分钟的骑行试验。通过流式细胞术评估运动前、运动后和运动后1小时血液中的T细胞亚群以及CD8 T细胞中I型(IL-2、干扰素(IFN)-γ)和II型(IL-4、IL-10)细胞因子的细胞内表达。与-5%LT相比,+15%LT后T细胞亚群重新分布更大(P<0.05)。与强度无关,CMV-动员的低分化(CD27-CD28)和中分化(CD27+CD28)T细胞比CMV+更多,而CMV+动员的高分化(CD27+CD28)T细胞更多。运动后,LT以上的IL-2+、IFN-γ+、IL-4+和IL-10+CD8 T细胞数量增加。只有I型细胞因子表达受运动强度影响(P<0.05)。总之,运动引起的T细胞重新部署与运动强度直接相关,表达I型细胞因子的CD8 T细胞数量变化也是如此。虽然CMV+动员的高分化T细胞比CMV-更多,但这在所有强度下都会发生。因此,CMV对T细胞动员的增强作用与运动强度无关。

https://cdn.ncbi.nlm.nih.gov/pmc/blobs/7520/5256156/01982c673cd0/PHY2-5-e13070-g003.jpg
https://cdn.ncbi.nlm.nih.gov/pmc/blobs/7520/5256156/a80896c6f54b/PHY2-5-e13070-g001.jpg
https://cdn.ncbi.nlm.nih.gov/pmc/blobs/7520/5256156/5a115ce77771/PHY2-5-e13070-g002.jpg
https://cdn.ncbi.nlm.nih.gov/pmc/blobs/7520/5256156/01982c673cd0/PHY2-5-e13070-g003.jpg
https://cdn.ncbi.nlm.nih.gov/pmc/blobs/7520/5256156/a80896c6f54b/PHY2-5-e13070-g001.jpg
https://cdn.ncbi.nlm.nih.gov/pmc/blobs/7520/5256156/5a115ce77771/PHY2-5-e13070-g002.jpg
https://cdn.ncbi.nlm.nih.gov/pmc/blobs/7520/5256156/01982c673cd0/PHY2-5-e13070-g003.jpg

相似文献

1
T-cell redeployment and intracellular cytokine expression following exercise: effects of exercise intensity and cytomegalovirus infection.运动后T细胞重新分布及细胞内细胞因子表达:运动强度和巨细胞病毒感染的影响
Physiol Rep. 2017 Jan;5(1). doi: 10.14814/phy2.13070. Epub 2017 Jan 13.
2
The effects of age and latent cytomegalovirus infection on the redeployment of CD8+ T cell subsets in response to acute exercise in humans.年龄和潜伏性巨细胞病毒感染对人类急性运动后 CD8+ T 细胞亚群重新分布的影响。
Brain Behav Immun. 2014 Jul;39:142-51. doi: 10.1016/j.bbi.2013.05.003. Epub 2013 May 15.
3
CMV amplifies T-cell redeployment to acute exercise independently of HSV-1 serostatus.巨细胞病毒(CMV)可独立于单纯疱疹病毒1型(HSV-1)血清状态,增强T细胞向急性运动的重新部署。
Med Sci Sports Exerc. 2014 Feb;46(2):257-67. doi: 10.1249/MSS.0b013e3182a5a0fb.
4
Acute aerobic exercise in humans increases cytokine expression in CD27(-) but not CD27(+) CD8(+) T-cells.在人体中,急性有氧运动增加了 CD27(-) 但不是 CD27(+) CD8(+) T 细胞中的细胞因子表达。
Brain Behav Immun. 2013 Jan;27(1):54-62. doi: 10.1016/j.bbi.2012.09.006. Epub 2012 Sep 24.
5
Recall response to cytomegalovirus in allograft recipients: mobilization of CD57+, CD28+ cells before expansion of CD57+, CD28- cells within the CD8+ T lymphocyte compartment.同种异体移植受者对巨细胞病毒的回忆反应:在CD8⁺T淋巴细胞亚群中,CD57⁺、CD28⁺细胞在CD57⁺、CD28⁻细胞扩增之前被动员。
Transplantation. 1997 Mar 15;63(5):693-8. doi: 10.1097/00007890-199703150-00014.
6
Significant IFNγ responses of CD8+ T cells in CMV-seropositive individuals with autoimmune arthritis.巨细胞病毒血清阳性的自身免疫性关节炎患者中,CD8 + T细胞产生显著的γ干扰素反应。
J Clin Virol. 2016 Apr;77:77-84. doi: 10.1016/j.jcv.2016.02.010. Epub 2016 Feb 18.
7
Better Response to Influenza Virus Vaccination in Physically Trained Older Adults Is Associated With Reductions of Cytomegalovirus-Specific Immunoglobulins as Well as Improvements in the Inflammatory and CD8 T-Cell Profiles.身体训练的老年人对流感病毒疫苗接种的反应更好,与巨细胞病毒特异性免疫球蛋白的减少以及炎症和 CD8 T 细胞特征的改善有关。
Front Immunol. 2021 Oct 12;12:713763. doi: 10.3389/fimmu.2021.713763. eCollection 2021.
8
Effect of Cytomegalovirus (CMV) and Ageing on T-Bet and Eomes Expression on T-Cell Subsets.巨细胞病毒(CMV)和衰老对T细胞亚群中T-bet和Eomes表达的影响。
Int J Mol Sci. 2017 Jun 29;18(7):1391. doi: 10.3390/ijms18071391.
9
Multifunctional cytomegalovirus (CMV)-specific CD8(+) T cells are not restricted by telomere-related senescence in young or old adults.多功能巨细胞病毒(CMV)特异性 CD8(+) T 细胞在年轻人或老年人中不受端粒相关衰老的限制。
Immunology. 2015 Apr;144(4):549-60. doi: 10.1111/imm.12409.
10
Protective immunity to cytomegalovirus (CMV) retinitis in AIDS is associated with CMV-specific T cells that express interferon- gamma and interleukin-2 and have a CD8+ cell early maturational phenotype.艾滋病患者对巨细胞病毒(CMV)视网膜炎的保护性免疫与表达干扰素-γ和白细胞介素-2且具有CD8 +细胞早期成熟表型的CMV特异性T细胞有关。
J Infect Dis. 2006 Dec 1;194(11):1537-46. doi: 10.1086/508997. Epub 2006 Oct 26.

引用本文的文献

1
Characterization of transitional memory CD4+ and CD8+ T-cell mobilization during and after an acute bout of exercise.急性运动期间及之后过渡性记忆CD4+和CD8+ T细胞动员的特征
Front Sports Act Living. 2023 Apr 17;5:1120454. doi: 10.3389/fspor.2023.1120454. eCollection 2023.
2
The effect of acute exercise on circulating immune cells in newly diagnosed breast cancer patients.急性运动对新诊断乳腺癌患者循环免疫细胞的影响。
Sci Rep. 2023 Apr 21;13(1):6561. doi: 10.1038/s41598-023-33432-4.
3
Acute exercise mobilizes CD8 cytotoxic T cells and NK cells in lymphoma patients.

本文引用的文献

1
Human cytomegalovirus infection and the immune response to exercise.人巨细胞病毒感染与运动的免疫应答。
Exerc Immunol Rev. 2016;22:8-27.
2
Dichotomous effects of latent CMV infection on the phenotype and functional properties of CD8+ T-cells and NK-cells.潜伏性巨细胞病毒感染对CD8 + T细胞和自然杀伤细胞的表型及功能特性的二分效应。
Cell Immunol. 2016 Feb;300:26-32. doi: 10.1016/j.cellimm.2015.11.005. Epub 2015 Nov 24.
3
Infection history determines the differentiation state of human CD8+ T cells.感染史决定人类CD8+ T细胞的分化状态。
急性运动可动员淋巴瘤患者体内的CD8细胞毒性T细胞和自然杀伤细胞。
Front Physiol. 2023 Jan 11;13:1078512. doi: 10.3389/fphys.2022.1078512. eCollection 2022.
4
Comparison of three exercise interventions with and without gemcitabine treatment on pancreatic tumor growth in mice: No impact on tumor infiltrating lymphocytes.三种运动干预联合或不联合吉西他滨治疗对小鼠胰腺肿瘤生长的比较:对肿瘤浸润淋巴细胞无影响。
Front Physiol. 2022 Nov 21;13:1039988. doi: 10.3389/fphys.2022.1039988. eCollection 2022.
5
Physical Activity as the Best Supportive Care in Cancer: The Clinician's and the Researcher's Perspectives.体育活动作为癌症最佳支持性护理:临床医生与研究人员的观点
Cancers (Basel). 2022 Nov 2;14(21):5402. doi: 10.3390/cancers14215402.
6
High Intensity Aerobic exercise training and Immune cell Mobilization in patients with lung cancer (HI AIM)-a randomized controlled trial.高强度有氧运动训练和肺癌患者免疫细胞动员(HI AIM)-一项随机对照试验。
BMC Cancer. 2022 Mar 5;22(1):246. doi: 10.1186/s12885-022-09349-y.
7
Influence of Exercise on Exhausted and Senescent T Cells: A Systematic Review.运动对耗竭和衰老T细胞的影响:一项系统综述。
Front Physiol. 2021 Aug 20;12:668327. doi: 10.3389/fphys.2021.668327. eCollection 2021.
8
Exercise and the immune system: taking steps to improve responses to cancer immunotherapy.运动与免疫系统:采取措施改善癌症免疫疗法的反应。
J Immunother Cancer. 2021 Jul;9(7). doi: 10.1136/jitc-2020-001872.
9
Adrenergic Signaling in Immunotherapy of Cancer: Friend or Foe?癌症免疫治疗中的肾上腺素能信号传导:助力还是阻力?
Cancers (Basel). 2021 Jan 21;13(3):394. doi: 10.3390/cancers13030394.
10
Exercise Oncology and Immuno-Oncology; A (Future) Dynamic Duo.运动肿瘤学与免疫肿瘤学:未来的黄金搭档。
Int J Mol Sci. 2020 May 27;21(11):3816. doi: 10.3390/ijms21113816.
J Virol. 2015 May;89(9):5110-23. doi: 10.1128/JVI.03478-14. Epub 2015 Feb 25.
4
Acute exercise preferentially redeploys NK-cells with a highly-differentiated phenotype and augments cytotoxicity against lymphoma and multiple myeloma target cells. Part II: impact of latent cytomegalovirus infection and catecholamine sensitivity.急性运动优先重新分配具有高度分化表型的 NK 细胞,并增强对淋巴瘤和多发性骨髓瘤靶细胞的细胞毒性。第二部分:潜伏巨细胞病毒感染和儿茶酚胺敏感性的影响。
Brain Behav Immun. 2015 Oct;49:59-65. doi: 10.1016/j.bbi.2014.12.027. Epub 2015 Jan 9.
5
Fitness level impacts salivary antimicrobial protein responses to a single bout of cycling exercise.体能水平会影响唾液抗菌蛋白对单次骑行运动的反应。
Eur J Appl Physiol. 2015 May;115(5):1015-27. doi: 10.1007/s00421-014-3082-8. Epub 2015 Jan 4.
6
Acute exercise preferentially redeploys NK-cells with a highly-differentiated phenotype and augments cytotoxicity against lymphoma and multiple myeloma target cells.急性运动优先重新分配具有高度分化表型的 NK 细胞,并增强对淋巴瘤和多发性骨髓瘤靶细胞的细胞毒性。
Brain Behav Immun. 2014 Jul;39:160-71. doi: 10.1016/j.bbi.2013.10.030. Epub 2013 Nov 5.
7
The effects of age and viral serology on γδ T-cell numbers and exercise responsiveness in humans.年龄和病毒血清学对人类 γδ T 细胞数量和运动反应的影响。
Cell Immunol. 2013 Jul-Aug;284(1-2):91-7. doi: 10.1016/j.cellimm.2013.07.009. Epub 2013 Jul 27.
8
CMV amplifies T-cell redeployment to acute exercise independently of HSV-1 serostatus.巨细胞病毒(CMV)可独立于单纯疱疹病毒1型(HSV-1)血清状态,增强T细胞向急性运动的重新部署。
Med Sci Sports Exerc. 2014 Feb;46(2):257-67. doi: 10.1249/MSS.0b013e3182a5a0fb.
9
The effects of age and latent cytomegalovirus infection on the redeployment of CD8+ T cell subsets in response to acute exercise in humans.年龄和潜伏性巨细胞病毒感染对人类急性运动后 CD8+ T 细胞亚群重新分布的影响。
Brain Behav Immun. 2014 Jul;39:142-51. doi: 10.1016/j.bbi.2013.05.003. Epub 2013 May 15.
10
Acute aerobic exercise in humans increases cytokine expression in CD27(-) but not CD27(+) CD8(+) T-cells.在人体中,急性有氧运动增加了 CD27(-) 但不是 CD27(+) CD8(+) T 细胞中的细胞因子表达。
Brain Behav Immun. 2013 Jan;27(1):54-62. doi: 10.1016/j.bbi.2012.09.006. Epub 2012 Sep 24.