• 文献检索
  • 文档翻译
  • 深度研究
  • 学术资讯
  • Suppr Zotero 插件Zotero 插件
  • 邀请有礼
  • 套餐&价格
  • 历史记录
应用&插件
Suppr Zotero 插件Zotero 插件浏览器插件Mac 客户端Windows 客户端微信小程序
定价
高级版会员购买积分包购买API积分包
服务
文献检索文档翻译深度研究API 文档MCP 服务
关于我们
关于 Suppr公司介绍联系我们用户协议隐私条款
关注我们

Suppr 超能文献

核心技术专利:CN118964589B侵权必究
粤ICP备2023148730 号-1Suppr @ 2026

文献检索

告别复杂PubMed语法,用中文像聊天一样搜索,搜遍4000万医学文献。AI智能推荐,让科研检索更轻松。

立即免费搜索

文件翻译

保留排版,准确专业,支持PDF/Word/PPT等文件格式,支持 12+语言互译。

免费翻译文档

深度研究

AI帮你快速写综述,25分钟生成高质量综述,智能提取关键信息,辅助科研写作。

立即免费体验

乌干达西南部小农户马铃薯种植者使用便携式设备上的视频传播农业推广信息,提高了他们对种子选择、储存和处理的认识。

Agricultural Extension Messages Using Video on Portable Devices Increased Knowledge about Seed Selection, Storage and Handling among Smallholder Potato Farmers in Southwestern Uganda.

作者信息

Van Campenhout Bjorn, Vandevelde Senne, Walukano Wilberforce, Van Asten Piet

机构信息

Development Strategy and Governance Division, International Food Policy Research Institute (IFPRI), Kampala, Uganda.

LICOS Centre for Institutions and Economic Performance, KU Leuven, Leuven, Belgium.

出版信息

PLoS One. 2017 Jan 25;12(1):e0169557. doi: 10.1371/journal.pone.0169557. eCollection 2017.

DOI:10.1371/journal.pone.0169557
PMID:28122005
原文链接:https://pmc.ncbi.nlm.nih.gov/articles/PMC5266271/
Abstract

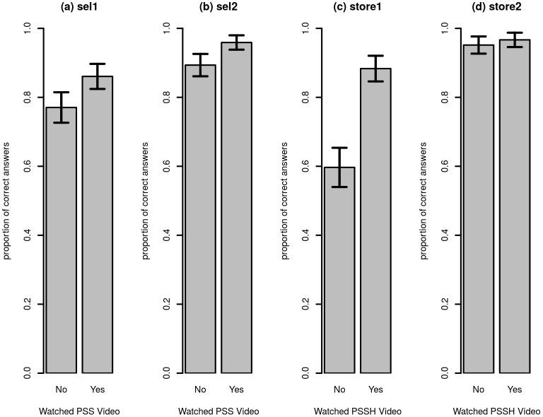
To feed a growing population, agricultural productivity needs to increase dramatically. Agricultural extension information, with its public, non-rival nature, is generally undersupplied, and public provision remains challenging. In this study, simple agricultural extension video messages, delivered through Android tablets, were tested in the field to determine if they increased farmers' knowledge of recommended practices on (i) potato seed selection and (ii) seed storage and handling among a sample of potato farmers in southwestern Uganda. Using a field experiment with ex ante matching in a factorial design, it was established that showing agricultural extension videos significantly increased farmers' knowledge. However, results suggested impact pathways that went beyond simply replicating what was shown in the video. Video messages may have triggered a process of abstraction, whereby farmers applied insights gained in one context to a different context.

摘要

为了养活不断增长的人口,农业生产力需要大幅提高。农业推广信息具有公共、非竞争性的特点,通常供应不足,公共提供仍然具有挑战性。在本研究中,通过安卓平板电脑发送的简单农业推广视频信息在实地进行了测试,以确定它们是否能提高乌干达西南部部分马铃薯种植农户对以下两方面推荐做法的了解:(i)马铃薯种子选择,以及(ii)种子储存和处理。采用析因设计中的事前匹配实地试验,结果表明播放农业推广视频显著提高了农户的知识水平。然而,结果显示影响途径不仅仅是简单复制视频中展示的内容。视频信息可能引发了一个抽象化过程,即农户将在一种情境中获得的见解应用到不同情境中。

https://cdn.ncbi.nlm.nih.gov/pmc/blobs/ca2d/5266271/e5c731ad479b/pone.0169557.g002.jpg
https://cdn.ncbi.nlm.nih.gov/pmc/blobs/ca2d/5266271/257c0ab7fa31/pone.0169557.g001.jpg
https://cdn.ncbi.nlm.nih.gov/pmc/blobs/ca2d/5266271/e5c731ad479b/pone.0169557.g002.jpg
https://cdn.ncbi.nlm.nih.gov/pmc/blobs/ca2d/5266271/257c0ab7fa31/pone.0169557.g001.jpg
https://cdn.ncbi.nlm.nih.gov/pmc/blobs/ca2d/5266271/e5c731ad479b/pone.0169557.g002.jpg

相似文献

1
Agricultural Extension Messages Using Video on Portable Devices Increased Knowledge about Seed Selection, Storage and Handling among Smallholder Potato Farmers in Southwestern Uganda.乌干达西南部小农户马铃薯种植者使用便携式设备上的视频传播农业推广信息,提高了他们对种子选择、储存和处理的认识。
PLoS One. 2017 Jan 25;12(1):e0169557. doi: 10.1371/journal.pone.0169557. eCollection 2017.
2
A Cross-Sectional Study of Pesticide Use and Knowledge of Smallholder Potato Farmers in Uganda.乌干达小农户马铃薯种植者农药使用情况与知识的横断面研究
Biomed Res Int. 2015;2015:759049. doi: 10.1155/2015/759049. Epub 2015 Oct 25.
3
The impact of ICT-enabled extension campaign on farmers' knowledge and management of fall armyworm in Uganda.ICT 赋能的推广活动对乌干达农民防控秋黏虫的知识和管理的影响。
PLoS One. 2019 Aug 21;14(8):e0220844. doi: 10.1371/journal.pone.0220844. eCollection 2019.
4
Enhancing knowledge and awareness of biosecurity practices for control of African swine fever among smallholder pig farmers in four districts along the Kenya-Uganda border.提高肯尼亚-乌干达边境沿线四个地区小农户对非洲猪瘟防控生物安全措施的知识和认识。
Trop Anim Health Prod. 2016 Apr;48(4):727-34. doi: 10.1007/s11250-016-1015-8. Epub 2016 Feb 27.
5
Rice farmers' preferences for seed quality, packaging, and source: A study from northern Bangladesh.稻农对种子质量、包装和来源的偏好:来自孟加拉国北部的研究。
PLoS One. 2024 Jun 21;19(6):e0306059. doi: 10.1371/journal.pone.0306059. eCollection 2024.
6
Factors affecting farmers' behaviour in pesticide use: Insights from a field study in northern China.影响农民农药使用行为的因素:来自中国北方实地研究的见解。
Sci Total Environ. 2015 Dec 15;537:360-8. doi: 10.1016/j.scitotenv.2015.07.150. Epub 2015 Aug 15.
7
Environmentally-friendly agricultural practices and their acceptance by smallholder farmers in China-A case study in Xinxiang County, Henan Province.中国小农环保型农业实践及其采纳意愿——以河南省新乡县为例。
Sci Total Environ. 2016 Nov 15;571:737-43. doi: 10.1016/j.scitotenv.2016.07.045. Epub 2016 Jul 14.
8
Production Efficiency and Market Orientation in Food Crops in North West Ethiopia: Application of Matching Technique for Impact Assessment.埃塞俄比亚西北部粮食作物的生产效率与市场导向:匹配技术在影响评估中的应用
PLoS One. 2016 Jul 8;11(7):e0158454. doi: 10.1371/journal.pone.0158454. eCollection 2016.
9
Personalized digital extension services and agricultural performance: Evidence from smallholder farmers in India.个性化数字延伸服务与农业绩效:来自印度小农的证据。
PLoS One. 2021 Oct 28;16(10):e0259319. doi: 10.1371/journal.pone.0259319. eCollection 2021.
10
Potential adoption and management of insect-resistant potato in Peru, and implications for genetically engineered potato.秘鲁抗虫马铃薯的潜在采用与管理及其对转基因马铃薯的影响
Environ Biosafety Res. 2005 Jul-Sep;4(3):179-88. doi: 10.1051/ebr:2006002.

引用本文的文献

1
A scoping review on technology applications in agricultural extension.农业推广中技术应用的范围综述。
PLoS One. 2023 Nov 6;18(11):e0292877. doi: 10.1371/journal.pone.0292877. eCollection 2023.
2
Community Health Worker Use of Smart Devices for Health Promotion: Scoping Review.社区卫生工作者使用智能设备进行健康促进:范围综述。
JMIR Mhealth Uhealth. 2023 Feb 22;11:e42023. doi: 10.2196/42023.
3
Personalized digital extension services and agricultural performance: Evidence from smallholder farmers in India.个性化数字延伸服务与农业绩效:来自印度小农的证据。

本文引用的文献

1
Barriers to Household Risk Management: Evidence from India.家庭风险管理的障碍:来自印度的证据。
Am Econ J Appl Econ. 2013 Jan 1;5(1):104-135. doi: 10.1257/app.5.1.104.
2
Agriculture. Sustainable intensification in agriculture: premises and policies.农业。农业的可持续集约化:前提与政策。
Science. 2013 Jul 5;341(6141):33-4. doi: 10.1126/science.1234485.
3
Closing yield gaps through nutrient and water management.通过养分和水分管理来缩小产量差距。
PLoS One. 2021 Oct 28;16(10):e0259319. doi: 10.1371/journal.pone.0259319. eCollection 2021.
4
The impact of ICT-enabled extension campaign on farmers' knowledge and management of fall armyworm in Uganda.ICT 赋能的推广活动对乌干达农民防控秋黏虫的知识和管理的影响。
PLoS One. 2019 Aug 21;14(8):e0220844. doi: 10.1371/journal.pone.0220844. eCollection 2019.
5
The explanatory power of silent comics: An assessment in the context of knowledge transfer and agricultural extension to rural communities in southwestern Madagascar.无声漫画的解释力:在向马达加斯加西南部农村社区进行知识转移和农业推广的背景下的评估。
PLoS One. 2019 Jun 6;14(6):e0217843. doi: 10.1371/journal.pone.0217843. eCollection 2019.
6
Local Ecological Knowledge on Climate Change and Ecosystem-Based Adaptation Strategies Promote Resilience in the Middle Zambezi Biosphere Reserve, Zimbabwe.津巴布韦赞比西河中游生物圈保护区基于地方生态知识的气候变化与生态系统适应策略促进恢复力
Scientifica (Cairo). 2019 Mar 11;2019:3069254. doi: 10.1155/2019/3069254. eCollection 2019.
Nature. 2012 Oct 11;490(7419):254-7. doi: 10.1038/nature11420. Epub 2012 Aug 29.
4
Global food demand and the sustainable intensification of agriculture.全球粮食需求与农业可持续集约化发展。
Proc Natl Acad Sci U S A. 2011 Dec 13;108(50):20260-4. doi: 10.1073/pnas.1116437108. Epub 2011 Nov 21.
5
Food security: the challenge of feeding 9 billion people.食品安全:养活 90 亿人的挑战。
Science. 2010 Feb 12;327(5967):812-8. doi: 10.1126/science.1185383. Epub 2010 Jan 28.
6
The influence of retrieval on retention.检索对记忆保持的影响。
Mem Cognit. 1992 Nov;20(6):633-42. doi: 10.3758/bf03202713.