• 文献检索
  • 文档翻译
  • 深度研究
  • 学术资讯
  • Suppr Zotero 插件Zotero 插件
  • 邀请有礼
  • 套餐&价格
  • 历史记录
应用&插件
Suppr Zotero 插件Zotero 插件浏览器插件Mac 客户端Windows 客户端微信小程序
定价
高级版会员购买积分包购买API积分包
服务
文献检索文档翻译深度研究API 文档MCP 服务
关于我们
关于 Suppr公司介绍联系我们用户协议隐私条款
关注我们

Suppr 超能文献

核心技术专利:CN118964589B侵权必究
粤ICP备2023148730 号-1Suppr @ 2026

文献检索

告别复杂PubMed语法,用中文像聊天一样搜索,搜遍4000万医学文献。AI智能推荐,让科研检索更轻松。

立即免费搜索

文件翻译

保留排版,准确专业,支持PDF/Word/PPT等文件格式,支持 12+语言互译。

免费翻译文档

深度研究

AI帮你快速写综述,25分钟生成高质量综述,智能提取关键信息,辅助科研写作。

立即免费体验

荷兰版鼻阻塞症状评估(NOSE)量表的改编与验证

Adaptation and validation of the Dutch version of the nasal obstruction symptom evaluation (NOSE) scale.

作者信息

van Zijl Floris V W J, Timman Reinier, Datema Frank R

机构信息

Department of Otolaryngology and Head and Neck Surgery, Erasmus University Medical Center, 's Gravendijkwal 230, P.O. 2040, 3000 CA, Rotterdam, The Netherlands.

Department of Medical Psychology and Psychotherapy, Erasmus University Medical Center, Rotterdam, The Netherlands.

出版信息

Eur Arch Otorhinolaryngol. 2017 Jun;274(6):2469-2476. doi: 10.1007/s00405-017-4486-y. Epub 2017 Mar 3.

DOI:10.1007/s00405-017-4486-y
PMID:28258375
原文链接:https://pmc.ncbi.nlm.nih.gov/articles/PMC5419999/
Abstract

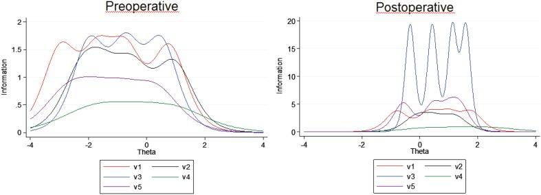
The nasal obstruction symptom evaluation (NOSE) scale is a validated disease-specific, self-completed questionnaire for the assessment of quality of life related to nasal obstruction. The aim of this study was to validate the Dutch (NL-NOSE) questionnaire. A prospective instrument validation study was performed in a tertiary academic referral center. Guidelines for the cross-cultural adaptation process from the original English language scale into a Dutch language version were followed. Patients undergoing functional septoplasty or septorhinoplasty and asymptomatic controls completed the questionnaire both before and 3 months after surgery to test reliability and validity. Additionally, we explored the possibility to reduce the NOSE scale even further using graded response models. 129 patients and 50 controls were included. Internal consistency (Cronbach's alpha 0.82) and test-retest reliability (intraclass correlation coefficient 0.89) were good. The instrument showed excellent between-group discrimination (Mann-Whitney U = 85, p < 0.001) and high response sensitivity to change (Wilcoxon rank p < 0.001). The NL-NOSE correlated well with the score on a visual analog scale measuring the subjective sensation of nasal obstruction, with exception of item 4 (trouble sleeping). Item 4 provided the least information to the total scale and item 3 (trouble breathing through nose) the most, particularly in the postoperative group. The Dutch version of the NOSE (NL-NOSE) demonstrated satisfactory reliability and validity. We recommend the use of the NL-NOSE as a validated instrument to measure subjective severity of nasal obstruction in Dutch adult patients.

摘要

鼻阻塞症状评估(NOSE)量表是一种经过验证的针对特定疾病的自我完成问卷,用于评估与鼻阻塞相关的生活质量。本研究的目的是验证荷兰语版(NL-NOSE)问卷。在一家三级学术转诊中心进行了一项前瞻性工具验证研究。遵循了将原始英语量表跨文化改编为荷兰语版本的指南。接受功能性鼻中隔成形术或鼻中隔鼻成形术的患者以及无症状对照者在手术前和手术后3个月均完成了问卷,以测试信度和效度。此外,我们探索了使用等级反应模型进一步简化NOSE量表的可能性。纳入了129例患者和50例对照者。内部一致性(Cronbach's alpha 0.82)和重测信度(组内相关系数0.89)良好。该工具显示出出色的组间区分能力(Mann-Whitney U = 85,p < 0.001)和对变化的高反应敏感性(Wilcoxon秩和检验p < 0.001)。NL-NOSE与测量鼻阻塞主观感觉的视觉模拟量表得分相关性良好,但第4项(睡眠困难)除外。第4项对总分提供的信息最少,而第3项(经鼻呼吸困难)提供的信息最多,尤其是在术后组中。荷兰语版的NOSE(NL-NOSE)表现出令人满意的信度和效度。我们建议使用NL-NOSE作为一种经过验证的工具,来测量荷兰成年患者鼻阻塞的主观严重程度。

https://cdn.ncbi.nlm.nih.gov/pmc/blobs/aa48/5419999/c4dd3e00253c/405_2017_4486_Fig3_HTML.jpg
https://cdn.ncbi.nlm.nih.gov/pmc/blobs/aa48/5419999/7e2af9b0cdfb/405_2017_4486_Fig1_HTML.jpg
https://cdn.ncbi.nlm.nih.gov/pmc/blobs/aa48/5419999/c5211f1be029/405_2017_4486_Fig2_HTML.jpg
https://cdn.ncbi.nlm.nih.gov/pmc/blobs/aa48/5419999/c4dd3e00253c/405_2017_4486_Fig3_HTML.jpg
https://cdn.ncbi.nlm.nih.gov/pmc/blobs/aa48/5419999/7e2af9b0cdfb/405_2017_4486_Fig1_HTML.jpg
https://cdn.ncbi.nlm.nih.gov/pmc/blobs/aa48/5419999/c5211f1be029/405_2017_4486_Fig2_HTML.jpg
https://cdn.ncbi.nlm.nih.gov/pmc/blobs/aa48/5419999/c4dd3e00253c/405_2017_4486_Fig3_HTML.jpg

相似文献

1
Adaptation and validation of the Dutch version of the nasal obstruction symptom evaluation (NOSE) scale.荷兰版鼻阻塞症状评估(NOSE)量表的改编与验证
Eur Arch Otorhinolaryngol. 2017 Jun;274(6):2469-2476. doi: 10.1007/s00405-017-4486-y. Epub 2017 Mar 3.
2
Clinical Evaluation of a Polish Translation and Cross-Cultural Adaptation of the Nasal Obstruction Symptom Evaluation (NOSE) Scale.波兰语翻译和鼻腔阻塞症状评估(NOSE)量表跨文化调适的临床评估。
Med Sci Monit. 2018 Nov 6;24:7958-7964. doi: 10.12659/MSM.909934.
3
Validation of the nasal obstruction symptom evaluation (NOSE) scale for Greek patients.希腊患者鼻阻塞症状评估(NOSE)量表的验证
Otolaryngol Head Neck Surg. 2014 Nov;151(5):819-23. doi: 10.1177/0194599814544631. Epub 2014 Aug 5.
4
Validation and cross-cultural adaptation of the arabic version of the nasal obstruction symptom evaluation scale.《鼻阻塞症状评估量表》阿拉伯语版本的验证与跨文化调适
Laryngoscope. 2017 Nov;127(11):2455-2459. doi: 10.1002/lary.26640. Epub 2017 May 23.
5
Adaptation and validation of the Spanish version of the Nasal Obstruction Symptom Evaluation (NOSE) Scale.《鼻阻塞症状评估量表(NOSE)西班牙语版的改编与验证》
Rhinology. 2015 Jun;53(2):176-80. doi: 10.4193/Rhino14.137.
6
Adaption and validation of the nasal obstruction symptom evaluation scale in German language (D-NOSE).鼻腔阻塞症状评估量表(D-NOSE)德语版的调适与验证。
Health Qual Life Outcomes. 2018 Sep 4;16(1):172. doi: 10.1186/s12955-018-1004-x.
7
[Development of the Chinese nasal obstruction symptom evaluation (NOSE) questionnaire].[中国鼻阻塞症状评估(NOSE)问卷的研制]
Zhonghua Er Bi Yan Hou Tou Jing Wai Ke Za Zhi. 2014 Jan;49(1):20-6.
8
Reliability and validity of the Italian nose obstruction symptom evaluation (I-NOSE) scale.意大利鼻塞症状评估量表(I-NOSE)的信度和效度。
Eur Arch Otorhinolaryngol. 2013 Nov;270(12):3087-94. doi: 10.1007/s00405-013-2426-z. Epub 2013 Mar 26.
9
Adaptation and Validation of the Hebrew Version of the Nasal Obstruction Symptom Evaluation (NOSE) Scale.鼻腔阻塞症状评估量表(NOSE)希伯来文版本的适应和验证。
Isr Med Assoc J. 2023 Aug;25(8):564-567.
10
Psychometric Evaluation of the Nasal Obstruction Symptom Evaluation Scale for Pediatric Patients.小儿患者鼻腔梗阻症状评估量表的心理计量学评价。
Otolaryngol Head Neck Surg. 2020 Feb;162(2):248-254. doi: 10.1177/0194599819890835. Epub 2019 Dec 10.

引用本文的文献

1
Validation and psychometric evaluation of the Swedish version of the Nasal Obstruction Symptom Evaluation scale.《鼻阻塞症状评估量表》瑞典语版本的验证及心理测量学评估
Laryngoscope Investig Otolaryngol. 2023 Mar 6;8(2):357-366. doi: 10.1002/lio2.1036. eCollection 2023 Apr.
2
Translation and Validation of the Thai Version of the Nasal Obstruction Symptom Evaluation (NOSE) Scale.《鼻阻塞症状评估量表(NOSE)泰语版的翻译与验证》
OTO Open. 2023 Mar 1;7(1):e29. doi: 10.1002/oto2.29. eCollection 2023 Jan-Mar.
3
Cross-cultural adaptation of the Hebrew Nasal Obstruction Symptom Evaluation (NOSE) scale.

本文引用的文献

1
Adaptation and validation of the Spanish version of the Nasal Obstruction Symptom Evaluation (NOSE) Scale.《鼻阻塞症状评估量表(NOSE)西班牙语版的改编与验证》
Rhinology. 2015 Jun;53(2):176-80. doi: 10.4193/Rhino14.137.
2
Validation of the nasal obstruction symptom evaluation (NOSE) scale for Greek patients.希腊患者鼻阻塞症状评估(NOSE)量表的验证
Otolaryngol Head Neck Surg. 2014 Nov;151(5):819-23. doi: 10.1177/0194599814544631. Epub 2014 Aug 5.
3
[Development of the Chinese nasal obstruction symptom evaluation (NOSE) questionnaire].
希伯来语鼻阻塞症状评估(NOSE)量表的跨文化适应性研究
Laryngoscope Investig Otolaryngol. 2022 Dec 1;8(1):34-39. doi: 10.1002/lio2.970. eCollection 2023 Feb.
4
Piezo-assisted Turbinoplasty Versus Partial Turbinectomy in External Septorhinoplasty: A Prospective Comparative Study in 100 Patients.在外鼻整形术中,骨刀辅助下鼻甲成形术与部分鼻甲切除术的比较:100 例患者的前瞻性对照研究。
Aesthetic Plast Surg. 2022 Jun;46(3):1323-1331. doi: 10.1007/s00266-021-02662-0. Epub 2022 Jan 13.
5
Septoplasty versus non-surgical management for nasal obstruction in adults with a deviated septum: economic evaluation alongside a randomized controlled trial.鼻中隔偏曲所致成人鼻塞的鼻中隔成形术与非手术治疗的比较:随机对照试验的经济学评价。
BMC Med. 2020 May 1;18(1):101. doi: 10.1186/s12916-020-01562-5.
6
Morbidity in the postoperative follow-up of endoscopic anterior skull base surgery.内镜颅前窝手术的术后随访中的发病率。
Braz J Otorhinolaryngol. 2021 Nov-Dec;87(6):689-694. doi: 10.1016/j.bjorl.2020.02.006. Epub 2020 Apr 11.
7
Quality of Life in Patients with Nasal Septal Deviation After Septal Correction.鼻中隔矫正术后鼻中隔偏曲患者的生活质量
Indian J Otolaryngol Head Neck Surg. 2019 Nov;71(Suppl 3):2219-2224. doi: 10.1007/s12070-019-01689-9. Epub 2019 Jun 18.
8
Cross-cultural adaptation and validation of the Indonesian version of AQUAREL on patients with permanent pacemaker: a cross-sectional study.永久性起搏器患者AQUAREL印尼语版本的跨文化调适与验证:一项横断面研究
BMC Res Notes. 2019 Mar 28;12(1):178. doi: 10.1186/s13104-019-4208-1.
9
Clinical Evaluation of a Polish Translation and Cross-Cultural Adaptation of the Nasal Obstruction Symptom Evaluation (NOSE) Scale.波兰语翻译和鼻腔阻塞症状评估(NOSE)量表跨文化调适的临床评估。
Med Sci Monit. 2018 Nov 6;24:7958-7964. doi: 10.12659/MSM.909934.
10
Use of Routine Prospective Functional and Aesthetic Patient Satisfaction Measurements in Secondary Cleft Lip Rhinoplasty.在二次唇裂鼻整形术中常规前瞻性功能和美学患者满意度测量的应用。
JAMA Facial Plast Surg. 2018 Dec 1;20(6):488-494. doi: 10.1001/jamafacial.2018.0876.
[中国鼻阻塞症状评估(NOSE)问卷的研制]
Zhonghua Er Bi Yan Hou Tou Jing Wai Ke Za Zhi. 2014 Jan;49(1):20-6.
4
A systematic review of patient-reported nasal obstruction scores: defining normative and symptomatic ranges in surgical patients.患者报告的鼻阻塞评分的系统评价:确定手术患者的正常范围和症状范围
JAMA Facial Plast Surg. 2014 May-Jun;16(3):219-25; quiz 232. doi: 10.1001/jamafacial.2013.2473.
5
Reliability and validity of the Italian nose obstruction symptom evaluation (I-NOSE) scale.意大利鼻塞症状评估量表(I-NOSE)的信度和效度。
Eur Arch Otorhinolaryngol. 2013 Nov;270(12):3087-94. doi: 10.1007/s00405-013-2426-z. Epub 2013 Mar 26.
6
Cross-cultural adaptation and validation of a quality of life questionnaire: the Nasal Obstruction Symptom Evaluation questionnaire.跨文化调适与验证生活质量问卷:鼻塞症状评估问卷。
Rhinology. 2011 Jun;49(2):227-31. doi: 10.4193/Rhino10.019.
7
French validation of the NOSE and RhinoQOL questionnaires in the management of nasal obstruction.NOSE 和 RhinoQOL 问卷在鼻塞管理中的法国验证。
Otolaryngol Head Neck Surg. 2011 Jun;144(6):988-93. doi: 10.1177/0194599811400686. Epub 2011 Mar 11.
8
Quality criteria were proposed for measurement properties of health status questionnaires.针对健康状况调查问卷的测量属性提出了质量标准。
J Clin Epidemiol. 2007 Jan;60(1):34-42. doi: 10.1016/j.jclinepi.2006.03.012. Epub 2006 Aug 24.
9
Development and validation of the Nasal Obstruction Symptom Evaluation (NOSE) scale.鼻阻塞症状评估(NOSE)量表的制定与验证
Otolaryngol Head Neck Surg. 2004 Feb;130(2):157-63. doi: 10.1016/j.otohns.2003.09.016.
10
Assessing health status and quality-of-life instruments: attributes and review criteria.评估健康状况和生活质量的工具:属性与评审标准
Qual Life Res. 2002 May;11(3):193-205. doi: 10.1023/a:1015291021312.