Suppr超能文献

专业消防人员的力量和耐力参数与空气消耗率之间的关系。

Relationships between strength and endurance parameters and air depletion rates in professional firefighters.

机构信息

Department of Biomechanics in Sports, Technical University of Munich, Germany.

Human Movement Science, Ruhr-University Bochum, Germany.

出版信息

Sci Rep. 2017 Mar 17;7:44590. doi: 10.1038/srep44590.

Abstract

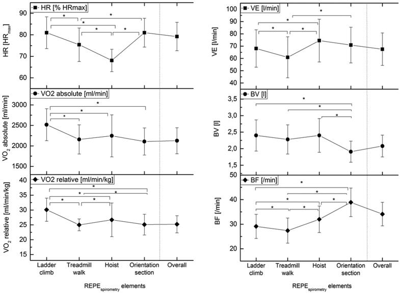
The aim of this study was to quantify the physical demands of a simulated firefighting circuit and to establish the relationship between job performance and endurance and strength fitness measurements. On four separate days 41 professional firefighters (39 ± 9 yr, 179.6 ± 2.3 cm, 84.4 ± 9.2 kg, BMI 26.1 ± 2.8 kg/m) performed treadmill testing, fitness testing (strength, balance and flexibility) and a simulated firefighting exercise. The firefighting exercise included ladder climbing (20 m), treadmill walking (200 m), pulling a wire rope hoist (15 times) and crawling an orientation section (50 m). Firefighting performance during the simulated exercise was evaluated by a simple time-strain-air depletion model (TSA) taking the sum of z-transformed parameters of time to finish the exercise, strain in terms of mean heart rate, and air depletion from the breathing apparatus. Multiple regression analysis based on the TSA-model served for the identification of the physiological determinants most relevant for professional firefighting. Three main factors with great influence on firefighting performance were identified (70.1% of total explained variance): VO, the time firefighter exercised below their individual ventilatory threshold and mean breathing frequency. Based on the identified main factors influencing firefighting performance we recommend a periodic preventive health screening for incumbents to monitor peak VO and individual ventilatory threshold.

摘要

本研究旨在量化模拟消防训练的体能需求,并确定工作表现与耐力和力量健身测量之间的关系。在四个不同的日子里,41 名职业消防员(39±9 岁,179.6±2.3 厘米,84.4±9.2 公斤,BMI 26.1±2.8 公斤/米)进行了跑步机测试、体能测试(力量、平衡和灵活性)和模拟消防训练。消防训练包括爬梯(20 米)、在跑步机上行走(200 米)、拉动钢丝绳绞车(15 次)和爬行定向段(50 米)。模拟训练中的消防表现通过简单的时间-应激-耗氧量模型(TSA)进行评估,该模型考虑了完成训练的时间、平均心率表示的应激以及呼吸设备耗氧量的 z 变换参数的总和。基于 TSA 模型的多元回归分析用于确定对专业消防最相关的生理决定因素。确定了对消防性能有重大影响的三个主要因素(总方差的 70.1%):VO,消防员在个人通气阈值以下锻炼的时间和平均呼吸频率。基于确定的影响消防性能的主要因素,我们建议对在职人员进行定期预防性健康筛查,以监测峰值 VO 和个人通气阈值。

https://cdn.ncbi.nlm.nih.gov/pmc/blobs/0a2d/5356010/688aa72ab3ae/srep44590-f1.jpg

文献检索

告别复杂PubMed语法,用中文像聊天一样搜索,搜遍4000万医学文献。AI智能推荐,让科研检索更轻松。

立即免费搜索

文件翻译

保留排版,准确专业,支持PDF/Word/PPT等文件格式,支持 12+语言互译。

免费翻译文档

深度研究

AI帮你快速写综述,25分钟生成高质量综述,智能提取关键信息,辅助科研写作。

立即免费体验