• 文献检索
  • 文档翻译
  • 深度研究
  • 学术资讯
  • Suppr Zotero 插件Zotero 插件
  • 邀请有礼
  • 套餐&价格
  • 历史记录
应用&插件
Suppr Zotero 插件Zotero 插件浏览器插件Mac 客户端Windows 客户端微信小程序
定价
高级版会员购买积分包购买API积分包
服务
文献检索文档翻译深度研究API 文档MCP 服务
关于我们
关于 Suppr公司介绍联系我们用户协议隐私条款
关注我们

Suppr 超能文献

核心技术专利:CN118964589B侵权必究
粤ICP备2023148730 号-1Suppr @ 2026

文献检索

告别复杂PubMed语法,用中文像聊天一样搜索,搜遍4000万医学文献。AI智能推荐,让科研检索更轻松。

立即免费搜索

文件翻译

保留排版,准确专业,支持PDF/Word/PPT等文件格式,支持 12+语言互译。

免费翻译文档

深度研究

AI帮你快速写综述,25分钟生成高质量综述,智能提取关键信息,辅助科研写作。

立即免费体验

评估中国渤海湾高强度土地开垦导致的重金属生态风险。

Assessment ecological risk of heavy metal caused by high-intensity land reclamation in Bohai Bay, China.

机构信息

Transport Planning and Research Institute, Ministry of Transport of the People's Republic of China, Beijing, China.

Key Laboratory for Earth Surface Processes (Ministry of Education), College of Urban and Environmental Sciences, Peking University, Beijing, China.

出版信息

PLoS One. 2017 Apr 19;12(4):e0175627. doi: 10.1371/journal.pone.0175627. eCollection 2017.

DOI:10.1371/journal.pone.0175627
PMID:28422982
原文链接:https://pmc.ncbi.nlm.nih.gov/articles/PMC5397030/
Abstract

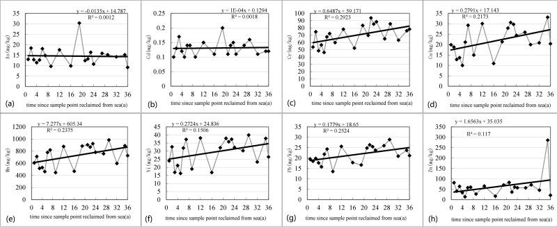
The article examines the detailed spatial and temporal distributions of coastal reclamation in the northwest coast of Bohai Bay experiencing rapid coastal reclamation in China from 1974 to 2010 in annual intervals. Moreover, soil elements properties and spatial distribution in reclaimed area and inform the future coastal ecosystems management was also analyzed. The results shows that 910.7 km2 of coastal wetlands have been reclaimed and conversed to industrial land during the past 36 years. It covers intertidal beach, shallow sea and island with a percentage of 76.0%, 23.5% and 0.5%, respectively. The average concentration of Mn is 686.91mg/kg and the order of concentration of heavy metal are Cr>Zn>As>Ni>Cu>Pb>Cd>Hg. We used the "space for time substitution" method to test the soil properties changes after reclamation. The potential ecological risk of heavy metal is in low level and the risk of Cd and As is relatively higher. The ecosystem-based coastal protection and management are urgent to support sustainable coastal ecosystems in Bohai bay in the future.

摘要

本文以中国渤海湾西北岸为研究区,选取了经历快速围填海活动的典型区域,基于 1974 年至 2010 年每年的遥感影像,详细分析了研究区围填海的时空分布特征,探讨了围填海后土壤元素的性质及其空间分布特征,以期为未来的海岸带生态系统管理提供科学依据。结果表明,在过去的 36 年中,研究区已围填海造地 910.7km2,主要转化为工业用地,分别占潮间带滩涂、浅海和海岛的 76.0%、23.5%和 0.5%。重金属元素 Mn 的平均浓度为 686.91mg/kg,重金属元素的浓度顺序为 Cr>Zn>As>Ni>Cu>Pb>Cd>Hg。采用“空间代替时间”的方法,研究围填海后土壤性质的变化。研究区土壤重金属潜在生态风险处于低风险水平,Cd 和 As 的风险相对较高。未来迫切需要基于生态系统的海岸带保护和管理,以支持渤海湾可持续的海岸带生态系统。

https://cdn.ncbi.nlm.nih.gov/pmc/blobs/eebf/5397030/ae13c499f0f9/pone.0175627.g007.jpg
https://cdn.ncbi.nlm.nih.gov/pmc/blobs/eebf/5397030/41319894523b/pone.0175627.g001.jpg
https://cdn.ncbi.nlm.nih.gov/pmc/blobs/eebf/5397030/bb67c00d750f/pone.0175627.g002.jpg
https://cdn.ncbi.nlm.nih.gov/pmc/blobs/eebf/5397030/1c0b027b2a08/pone.0175627.g003.jpg
https://cdn.ncbi.nlm.nih.gov/pmc/blobs/eebf/5397030/a4cc470c1490/pone.0175627.g004.jpg
https://cdn.ncbi.nlm.nih.gov/pmc/blobs/eebf/5397030/dcb15ccb00ec/pone.0175627.g005.jpg
https://cdn.ncbi.nlm.nih.gov/pmc/blobs/eebf/5397030/918470353599/pone.0175627.g006.jpg
https://cdn.ncbi.nlm.nih.gov/pmc/blobs/eebf/5397030/ae13c499f0f9/pone.0175627.g007.jpg
https://cdn.ncbi.nlm.nih.gov/pmc/blobs/eebf/5397030/41319894523b/pone.0175627.g001.jpg
https://cdn.ncbi.nlm.nih.gov/pmc/blobs/eebf/5397030/bb67c00d750f/pone.0175627.g002.jpg
https://cdn.ncbi.nlm.nih.gov/pmc/blobs/eebf/5397030/1c0b027b2a08/pone.0175627.g003.jpg
https://cdn.ncbi.nlm.nih.gov/pmc/blobs/eebf/5397030/a4cc470c1490/pone.0175627.g004.jpg
https://cdn.ncbi.nlm.nih.gov/pmc/blobs/eebf/5397030/dcb15ccb00ec/pone.0175627.g005.jpg
https://cdn.ncbi.nlm.nih.gov/pmc/blobs/eebf/5397030/918470353599/pone.0175627.g006.jpg
https://cdn.ncbi.nlm.nih.gov/pmc/blobs/eebf/5397030/ae13c499f0f9/pone.0175627.g007.jpg

相似文献

1
Assessment ecological risk of heavy metal caused by high-intensity land reclamation in Bohai Bay, China.评估中国渤海湾高强度土地开垦导致的重金属生态风险。
PLoS One. 2017 Apr 19;12(4):e0175627. doi: 10.1371/journal.pone.0175627. eCollection 2017.
2
[Impact of coastal exploitation on the heavy metal contents in the sediment of Bohai Bay].[沿海开发对渤海湾沉积物中重金属含量的影响]
Huan Jing Ke Xue. 2012 Jul;33(7):2359-67.
3
Comprehensive large-scale investigation and assessment of trace metal in the coastal sediments of Bohai Sea.渤海近岸海域沉积物中痕量金属的综合大规模调查与评估。
Mar Pollut Bull. 2018 Apr;129(1):126-134. doi: 10.1016/j.marpolbul.2018.02.022. Epub 2018 Feb 20.
4
[Regional distribution and ecological risk evaluation of heavy metals in surface sediments from coastal wetlands of the Yellow River Delta].黄河三角洲滨海湿地表层沉积物中重金属的区域分布及生态风险评价
Huan Jing Ke Xue. 2012 Apr;33(4):1182-8.
5
Heavy metals in coastal wetland sediments of the Pearl River Estuary, China.中国珠江口沿海湿地沉积物中的重金属
Environ Pollut. 2007 Sep;149(2):158-64. doi: 10.1016/j.envpol.2007.01.006. Epub 2007 Feb 26.
6
[Variation characteristics and potential ecological risk assessment of heavy metals in the surface sediments of Bohai Bay].渤海湾表层沉积物中重金属的变异特征及潜在生态风险评价
Huan Jing Ke Xue. 2012 Mar;33(3):732-40.
7
Heavy metal pollution status in surface sediments of the coastal Bohai Bay.沿海渤海湾表层沉积物中的重金属污染状况。
Water Res. 2012 Apr 15;46(6):1901-11. doi: 10.1016/j.watres.2012.01.007. Epub 2012 Jan 20.
8
Heavy metal contamination in surface sediments: A comprehensive, large-scale evaluation for the Bohai Sea, China.渤海表层沉积物中的重金属污染:一项全面、大规模的评估。
Environ Pollut. 2020 May;260:113986. doi: 10.1016/j.envpol.2020.113986. Epub 2020 Jan 21.
9
Sediment quality of the SW coastal Laizhou Bay, Bohai Sea, China: a comprehensive assessment based on the analysis of heavy metals.中国渤海莱州湾西南海岸沉积物质量:基于重金属分析的综合评估
PLoS One. 2015 Mar 27;10(3):e0122190. doi: 10.1371/journal.pone.0122190. eCollection 2015.
10
Heavy metals in surface sediments of the intertidal Laizhou Bay, Bohai Sea, China: Distributions, sources and contamination assessment.中国渤海莱州湾潮间带表层沉积物中的重金属:分布、来源及污染评估
Mar Pollut Bull. 2015 Sep 15;98(1-2):320-7. doi: 10.1016/j.marpolbul.2015.06.035. Epub 2015 Jun 22.

引用本文的文献

1
Bacterioplankton community variation in Bohai Bay (China) is explained by joint effects of environmental and spatial factors.渤海湾细菌浮游生物群落的变化可以用环境和空间因素的共同作用来解释。
Microbiologyopen. 2020 Apr;9(4):e997. doi: 10.1002/mbo3.997. Epub 2020 Feb 5.

本文引用的文献

1
Ecological risk, source and preliminary assessment of metals in the surface sediments of Chabahar Bay, Oman Sea.阿曼湾恰巴哈尔湾表层沉积物中金属的生态风险、来源及初步评估
Mar Pollut Bull. 2016 Jun 15;107(1):383-388. doi: 10.1016/j.marpolbul.2016.03.042. Epub 2016 Mar 31.
2
Study on the cumulative impact of reclamation activities on ecosystem health in coastal waters.围垦活动对沿海水域生态系统健康的累积影响研究。
Mar Pollut Bull. 2016 Feb 15;103(1-2):144-150. doi: 10.1016/j.marpolbul.2015.12.028. Epub 2016 Jan 4.
3
Potential ecological risk of heavy metal contamination in sediments and macrobenthos in coastal wetlands induced by freshwater releases: A case study in the Yellow River Delta, China.
淡水排放引发的沿海湿地沉积物和大型底栖动物中重金属污染的潜在生态风险:以中国黄河三角洲为例
Mar Pollut Bull. 2016 Feb 15;103(1-2):227-239. doi: 10.1016/j.marpolbul.2015.12.014. Epub 2015 Dec 22.
4
Heavy metals distribution and environmental quality assessment for sediments off the southern coast of the Shandong Peninsula, China.中国山东半岛南部沿海沉积物中重金属分布及环境质量评价
Mar Pollut Bull. 2015 Nov 15;100(1):483-488. doi: 10.1016/j.marpolbul.2015.09.028. Epub 2015 Sep 26.
5
Evaluation for coastal reclamation feasibility using a comprehensive hydrodynamic framework: A case study in Haizhou Bay.使用综合水动力框架评估围海造地可行性:以海州湾为例
Mar Pollut Bull. 2015 Nov 15;100(1):182-190. doi: 10.1016/j.marpolbul.2015.08.051. Epub 2015 Sep 10.
6
China's coastal wetlands: conservation history, implementation efforts, existing issues and strategies for future improvement.中国沿海湿地:保护历史、实施努力、现有问题及未来改善策略。
Environ Int. 2015 Jun;79:25-41. doi: 10.1016/j.envint.2015.02.017. Epub 2015 Mar 13.
7
Fractionation, transfer, and ecological risks of heavy metals in riparian and ditch wetlands across a 100-year chronosequence of reclamation in an estuary of China.沿河口开垦 100 年时间序列中滨岸和沟渠湿地中重金属的分馏、迁移和生态风险。
Sci Total Environ. 2015 Jun 1;517:66-75. doi: 10.1016/j.scitotenv.2015.02.052. Epub 2015 Feb 24.
8
Assessing coastal reclamation suitability based on a fuzzy-AHP comprehensive evaluation framework: A case study of Lianyungang, China.基于模糊层次分析法综合评价框架的海岸带围填海适宜性评价——以中国连云港为例。
Mar Pollut Bull. 2014 Dec 15;89(1-2):102-111. doi: 10.1016/j.marpolbul.2014.10.029. Epub 2014 Nov 5.
9
Seasonal dynamics of trace elements in tidal salt marsh soils as affected by the flow-sediment regulation regime.受水沙调控机制影响的潮滩盐沼土壤中微量元素的季节动态
PLoS One. 2014 Sep 12;9(9):e107738. doi: 10.1371/journal.pone.0107738. eCollection 2014.
10
Economic development and coastal ecosystem change in China.中国的经济发展与沿海生态系统变化
Sci Rep. 2014 Aug 8;4:5995. doi: 10.1038/srep05995.