Suppr超能文献

通过共表达代谢途径和进化工程利用 D-葡萄糖、D-木糖和 L-阿拉伯糖生产 。

Coutilization of D-Glucose, D-Xylose, and L-Arabinose in by Coexpressing the Metabolic Pathways and Evolutionary Engineering.

机构信息

College of Life Sciences and Shandong Key Laboratory of Agricultural Microbiology and National Engineering Laboratory for Efficient Utilization of Soil and Fertilizer Resources, Shandong Agricultural University, Tai'an, China.

The State Key Laboratory of Microbial Technology, Shandong University, Jinan, China.

出版信息

Biomed Res Int. 2017;2017:5318232. doi: 10.1155/2017/5318232. Epub 2017 Mar 26.

Abstract

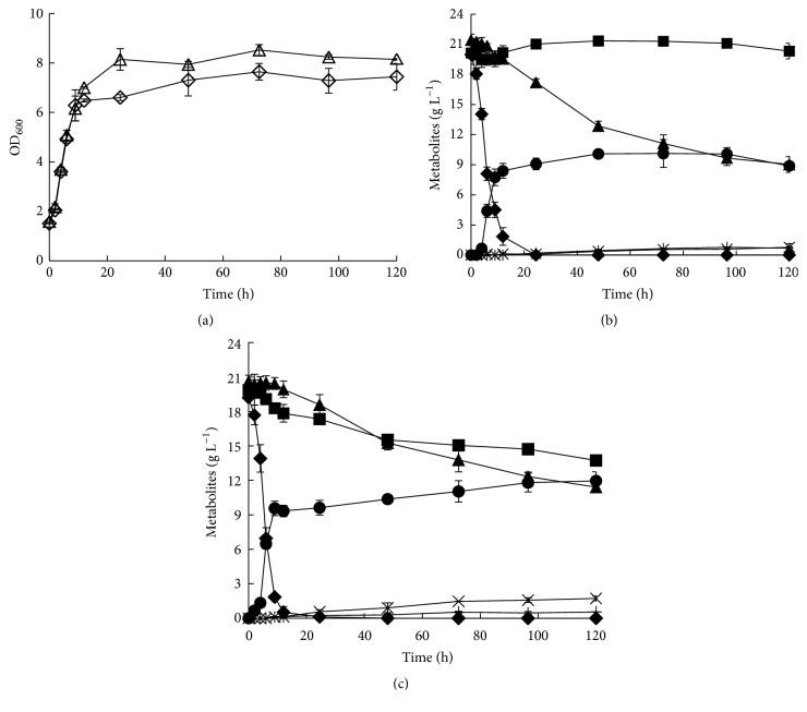
Efficient and cost-effective fuel ethanol production from lignocellulosic materials requires simultaneous cofermentation of all hydrolyzed sugars, mainly including D-glucose, D-xylose, and L-arabinose. is a traditional D-glucose fermenting strain and could utilize D-xylose and L-arabinose after introducing the initial metabolic pathways. The efficiency and simultaneous coutilization of the two pentoses and D-glucose for ethanol production in still need to be optimized. Previously, we constructed an L-arabinose-utilizing BSW3AP. In this study, we further introduced the XI and XR-XDH metabolic pathways of D-xylose into BSW3AP to obtain D-glucose, D-xylose, and L-arabinose cofermenting strain. Benefits of evolutionary engineering: the resulting strain BSW4XA3 displayed a simultaneous coutilization of D-xylose and L-arabinose with similar consumption rates, and the D-glucose metabolic capacity was not decreased. After 120 h of fermentation on mixed D-glucose, D-xylose, and L-arabinose, BSW4XA3 consumed 24% more amounts of pentoses and the ethanol yield of mixed sugars was increased by 30% than that of BSW3AP. The resulting strain BSW4XA3 was a useful chassis for further enhancing the coutilization efficiency of mixed sugars for bioethanol production.

摘要

从木质纤维素原料中高效且经济地生产燃料乙醇需要同时共发酵所有水解糖,主要包括 D-葡萄糖、D-木糖和 L-阿拉伯糖。 是一种传统的 D-葡萄糖发酵菌株,在引入初始代谢途径后可以利用 D-木糖和 L-阿拉伯糖。但该菌株仍需要进一步优化两种戊糖和 D-葡萄糖用于乙醇生产的效率和同时共利用。此前,我们构建了一株利用 L-阿拉伯糖的 BSW3AP。在本研究中,我们进一步将 D-木糖的 XI 和 XR-XDH 代谢途径引入 BSW3AP,获得了可共发酵 D-葡萄糖、D-木糖和 L-阿拉伯糖的菌株。进化工程的优势:所得菌株 BSW4XA3 以相似的消耗速率同时共利用 D-木糖和 L-阿拉伯糖,且 D-葡萄糖代谢能力没有下降。在混合 D-葡萄糖、D-木糖和 L-阿拉伯糖发酵 120 h 后,BSW4XA3 消耗了 24%更多的戊糖,混合糖的乙醇产量比 BSW3AP 提高了 30%。所得菌株 BSW4XA3 是进一步提高混合糖用于生物乙醇生产的共利用效率的有用底盘。

https://cdn.ncbi.nlm.nih.gov/pmc/blobs/faa5/5385224/18a4b67c8267/BMRI2017-5318232.001.jpg

文献检索

告别复杂PubMed语法,用中文像聊天一样搜索,搜遍4000万医学文献。AI智能推荐,让科研检索更轻松。

立即免费搜索

文件翻译

保留排版,准确专业,支持PDF/Word/PPT等文件格式,支持 12+语言互译。

免费翻译文档

深度研究

AI帮你快速写综述,25分钟生成高质量综述,智能提取关键信息,辅助科研写作。

立即免费体验