Suppr超能文献

协同因子:通过结合结构、序列和蛋白质-蛋白质相互作用信息来改进蛋白质功能预测。

COFACTOR: improved protein function prediction by combining structure, sequence and protein-protein interaction information.

机构信息

Department of Computational Medicine and Bioinformatics, University of Michigan, Ann Arbor, MI 48109, USA.

Department of Biological Chemistry, University of Michigan, Ann Arbor, MI 48109, USA.

出版信息

Nucleic Acids Res. 2017 Jul 3;45(W1):W291-W299. doi: 10.1093/nar/gkx366.

Abstract

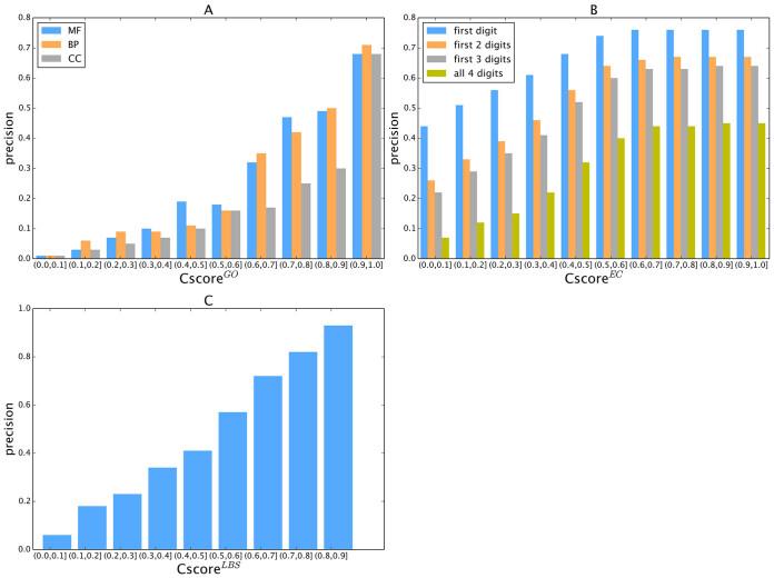
The COFACTOR web server is a unified platform for structure-based multiple-level protein function predictions. By structurally threading low-resolution structural models through the BioLiP library, the COFACTOR server infers three categories of protein functions including gene ontology, enzyme commission and ligand-binding sites from various analogous and homologous function templates. Here, we report recent improvements of the COFACTOR server in the development of new pipelines to infer functional insights from sequence profile alignments and protein-protein interaction networks. Large-scale benchmark tests show that the new hybrid COFACTOR approach significantly improves the function annotation accuracy of the former structure-based pipeline and other state-of-the-art functional annotation methods, particularly for targets that have no close homology templates. The updated COFACTOR server and the template libraries are available at http://zhanglab.ccmb.med.umich.edu/COFACTOR/.

摘要

COFACTOR 网页服务器是一个基于结构的多层次蛋白质功能预测的统一平台。通过将低分辨率结构模型在 BioLiP 文库中进行结构穿线,COFACTOR 服务器从各种类似和同源功能模板中推断出三类蛋白质功能,包括基因本体、酶委员会和配体结合位点。在这里,我们报告了 COFACTOR 服务器在开发新的管道方面的最新进展,这些管道可以从序列特征排列和蛋白质-蛋白质相互作用网络中推断出功能见解。大规模的基准测试表明,新的混合 COFACTOR 方法显著提高了以前基于结构的管道和其他最先进的功能注释方法的功能注释准确性,特别是对于没有密切同源模板的目标。更新后的 COFACTOR 服务器和模板库可在 http://zhanglab.ccmb.med.umich.edu/COFACTOR/ 获得。

https://cdn.ncbi.nlm.nih.gov/pmc/blobs/5ec1/5793808/1281a053abed/nar_45_w1_w291_f1.jpg

文献检索

告别复杂PubMed语法,用中文像聊天一样搜索,搜遍4000万医学文献。AI智能推荐,让科研检索更轻松。

立即免费搜索

文件翻译

保留排版,准确专业,支持PDF/Word/PPT等文件格式,支持 12+语言互译。

免费翻译文档

深度研究

AI帮你快速写综述,25分钟生成高质量综述,智能提取关键信息,辅助科研写作。

立即免费体验