• 文献检索
  • 文档翻译
  • 深度研究
  • 学术资讯
  • Suppr Zotero 插件Zotero 插件
  • 邀请有礼
  • 套餐&价格
  • 历史记录
应用&插件
Suppr Zotero 插件Zotero 插件浏览器插件Mac 客户端Windows 客户端微信小程序
定价
高级版会员购买积分包购买API积分包
服务
文献检索文档翻译深度研究API 文档MCP 服务
关于我们
关于 Suppr公司介绍联系我们用户协议隐私条款
关注我们

Suppr 超能文献

核心技术专利:CN118964589B侵权必究
粤ICP备2023148730 号-1Suppr @ 2026

文献检索

告别复杂PubMed语法,用中文像聊天一样搜索,搜遍4000万医学文献。AI智能推荐,让科研检索更轻松。

立即免费搜索

文件翻译

保留排版,准确专业,支持PDF/Word/PPT等文件格式,支持 12+语言互译。

免费翻译文档

深度研究

AI帮你快速写综述,25分钟生成高质量综述,智能提取关键信息,辅助科研写作。

立即免费体验

弥漫性大B细胞淋巴瘤中白细胞亚群的预后意义

Prognostic implication of leucocyte subpopulations in diffuse large B-cell lymphoma.

作者信息

Han Xiao, Ruan Jing, Zhang Wei, Zhou Daobin, Xu Dongsheng, Pei Qiang, Ouyang Mingqi, Zuo Mengxuan

机构信息

Department of Hematology, Peking Union Medical College Hospital, Beijing, China 100730.

Department of Hematopathology, CBLPath, Sonic Healthcare, Rye Brook, NY 10573, USA.

出版信息

Oncotarget. 2017 Jul 18;8(29):47790-47800. doi: 10.18632/oncotarget.17830.

DOI:10.18632/oncotarget.17830
PMID:28548962
原文链接:https://pmc.ncbi.nlm.nih.gov/articles/PMC5564605/
Abstract

BACKGROUND

Recent studies have suggested that variables related to host adaptive immunity and the tumor microenvironment may predict the outcome in patients with non-Hodgkin's lymphoma. This study was undertaken to determine the prognostic value of peripheral blood leucocyte subpopulations in diffuse large-B-cell lymphoma patients.

METHODS

We prospectively analyzed the 16 leukocyte subpopulations using Cytodiff flow cytometric technique in a cohort of 45 diffuse large-B-cell lymphoma patients at a single institution between February and December 2014. The Cox proportional hazards model was used to evaluate prognostic factors for overall survival and progression free survival.

RESULTS

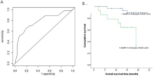
Diffuse large-B-cell lymphoma patients had decreased cytotoxic and non-cytotoxic NK&T cells as well as increased CD16+ monocytes, CD16- monocytes and mature neutrophils. The decreased CD16- monocyte/CD16+ monocyte ratio and increased mature neutrophil/cytotoxic NK&T cell ratio were related to poor progression-free and overall survival outcome in single and multivariate analysis. The co-constructed model using International Prognostic Index and mature neutrophil/cytotoxic NK&T cell ratio can also help discriminate the clinical outcome.

CONCLUSIONS

The decreased CD16-monocyte/CD16+monocyte ratio and increased mature neutrophil/cytotoxic NK&T cell ratio predict poor prognosis in diffuse large-B-cell lymphoma patients. This finding provides a strong rationale for the study of cellular immunotherapy in B-cell lymphoma.

摘要

背景

近期研究表明,与宿主适应性免疫和肿瘤微环境相关的变量可能预测非霍奇金淋巴瘤患者的预后。本研究旨在确定外周血白细胞亚群在弥漫性大B细胞淋巴瘤患者中的预后价值。

方法

我们于2014年2月至12月在一家机构对45例弥漫性大B细胞淋巴瘤患者,采用细胞分化流式细胞术对16种白细胞亚群进行了前瞻性分析。采用Cox比例风险模型评估总生存和无进展生存的预后因素。

结果

弥漫性大B细胞淋巴瘤患者的细胞毒性和非细胞毒性NK&T细胞减少,而CD16+单核细胞、CD16-单核细胞和成熟中性粒细胞增加。在单因素和多因素分析中,CD16-单核细胞/CD16+单核细胞比例降低和成熟中性粒细胞/细胞毒性NK&T细胞比例增加与无进展生存期和总生存期较差相关。使用国际预后指数和成熟中性粒细胞/细胞毒性NK&T细胞比例共同构建的模型也有助于区分临床结局。

结论

CD16-单核细胞/CD16+单核细胞比例降低和成熟中性粒细胞/细胞毒性NK&T细胞比例增加预示弥漫性大B细胞淋巴瘤患者预后不良。这一发现为B细胞淋巴瘤细胞免疫治疗的研究提供了有力依据。

https://cdn.ncbi.nlm.nih.gov/pmc/blobs/8106/5564605/d1c4006e15e0/oncotarget-08-47790-g003.jpg
https://cdn.ncbi.nlm.nih.gov/pmc/blobs/8106/5564605/ed4536b1e36d/oncotarget-08-47790-g001.jpg
https://cdn.ncbi.nlm.nih.gov/pmc/blobs/8106/5564605/5a8d4be6da36/oncotarget-08-47790-g002.jpg
https://cdn.ncbi.nlm.nih.gov/pmc/blobs/8106/5564605/d1c4006e15e0/oncotarget-08-47790-g003.jpg
https://cdn.ncbi.nlm.nih.gov/pmc/blobs/8106/5564605/ed4536b1e36d/oncotarget-08-47790-g001.jpg
https://cdn.ncbi.nlm.nih.gov/pmc/blobs/8106/5564605/5a8d4be6da36/oncotarget-08-47790-g002.jpg
https://cdn.ncbi.nlm.nih.gov/pmc/blobs/8106/5564605/d1c4006e15e0/oncotarget-08-47790-g003.jpg

相似文献

1
Prognostic implication of leucocyte subpopulations in diffuse large B-cell lymphoma.弥漫性大B细胞淋巴瘤中白细胞亚群的预后意义
Oncotarget. 2017 Jul 18;8(29):47790-47800. doi: 10.18632/oncotarget.17830.
2
High levels of regulatory T cells in blood are a poor prognostic factor in patients with diffuse large B-cell lymphoma.血液中调节性T细胞水平较高是弥漫性大B细胞淋巴瘤患者预后不良的一个因素。
Am J Clin Pathol. 2015 Dec;144(6):935-44. doi: 10.1309/AJCPUJGMVV6ZF4GG.
3
Prognostic significance of baseline peripheral absolute neutrophil, monocyte and serum β2-microglobulin level in patients with diffuse large b-cell lymphoma: a new prognostic model.弥漫性大B细胞淋巴瘤患者基线外周血绝对中性粒细胞、单核细胞及血清β2-微球蛋白水平的预后意义:一种新的预后模型
Br J Haematol. 2016 Oct;175(2):290-299. doi: 10.1111/bjh.14237. Epub 2016 Jul 22.
4
The extended leukocyte differential count using the Cytodiff flow cytometric system reveals that higher CD16+ cytotoxic NK+T lymphocyte levels predict superior survival outcomes in patients with metastatic carcinoma.采用 Cytodiff 流式细胞仪的扩展白细胞分类计数显示,转移性癌患者中 CD16+细胞毒性 NK+T 淋巴细胞水平较高预示着更好的生存结局。
Cytometry B Clin Cytom. 2013 May;84(3):202-4. doi: 10.1002/cyto.b.21063. Epub 2012 Dec 26.
5
Comparison of prognostic impact of absolute lymphocyte count, absolute monocyte count, absolute lymphocyte count/absolute monocyte count prognostic score and ratio in patients with diffuse large B cell lymphoma.弥漫性大B细胞淋巴瘤患者中绝对淋巴细胞计数、绝对单核细胞计数、绝对淋巴细胞计数/绝对单核细胞计数预后评分及比值的预后影响比较。
Eur J Intern Med. 2014 Mar;25(3):296-302. doi: 10.1016/j.ejim.2014.01.019. Epub 2014 Feb 22.
6
Peripheral blood absolute lymphocyte/monocyte ratio as a useful prognostic factor in diffuse large B-cell lymphoma in the rituximab era.外周血绝对淋巴细胞/单核细胞比值作为利妥昔单抗时代弥漫性大B细胞淋巴瘤的一个有用预后因素。
Eur J Haematol. 2014 Mar;92(3):204-10. doi: 10.1111/ejh.12221. Epub 2013 Nov 28.
7
The absolute monocyte and lymphocyte prognostic score predicts survival and identifies high-risk patients in diffuse large-B-cell lymphoma.绝对单核细胞和淋巴细胞预后评分可预测弥漫性大 B 细胞淋巴瘤患者的生存情况,并识别高危患者。
Leukemia. 2011 Sep;25(9):1502-9. doi: 10.1038/leu.2011.112. Epub 2011 May 24.
8
Prognostic value of absolute lymphocyte/monocyte ratio, red cell distribution width and neutrophil/ lymphocyte ratio in diffuse large B-cell lymphoma patients.绝对淋巴细胞/单核细胞比值、红细胞分布宽度和中性粒细胞/淋巴细胞比值对弥漫性大 B 细胞淋巴瘤患者的预后价值。
Cell Mol Biol (Noisy-le-grand). 2021 Nov 25;67(3):61-68. doi: 10.14715/cmb/2021.67.3.8.
9
Peripheral blood lymphocyte/monocyte ratio predicts outcome in follicular lymphoma and in diffuse large B-cell lymphoma patients in the rituximab era.外周血淋巴细胞/单核细胞比值可预测利妥昔单抗时代滤泡性淋巴瘤和弥漫性大B细胞淋巴瘤患者的预后。
Clin Lymphoma Myeloma Leuk. 2015 Apr;15(4):208-13. doi: 10.1016/j.clml.2014.10.001. Epub 2014 Oct 23.
10
Monocyte count at diagnosis is a prognostic parameter in diffuse large B-cell lymphoma: results from a large multicenter study involving 1191 patients in the pre- and post-rituximab era.诊断时的单核细胞计数是弥漫性大 B 细胞淋巴瘤的预后参数:一项大型多中心研究的结果,该研究涉及利妥昔单抗治疗前后的 1191 例患者。
Haematologica. 2014 Jan;99(1):125-30. doi: 10.3324/haematol.2013.088161. Epub 2013 Aug 9.

引用本文的文献

1
CD16+ as predictive marker for early relapse in aggressive B-NHL/DLBCL patients.CD16+ 可作为侵袭性 B-NHL/DLBCL 患者早期复发的预测标志物。
Mol Cancer. 2024 Sep 28;23(1):210. doi: 10.1186/s12943-024-02123-7.
2
PD-L1 Is Involved in the Development of Non-Hodgkin's Lymphoma by Mediating Circulating Lymphocyte Apoptosis.程序性死亡受体配体1通过介导循环淋巴细胞凋亡参与非霍奇金淋巴瘤的发生发展。
Vaccines (Basel). 2023 Sep 11;11(9):1474. doi: 10.3390/vaccines11091474.
3
Nonclassical Monocytes Are Prone to Migrate Into Tumor in Diffuse Large B-Cell Lymphoma.

本文引用的文献

1
High levels of regulatory T cells in blood are a poor prognostic factor in patients with diffuse large B-cell lymphoma.血液中调节性T细胞水平较高是弥漫性大B细胞淋巴瘤患者预后不良的一个因素。
Am J Clin Pathol. 2015 Dec;144(6):935-44. doi: 10.1309/AJCPUJGMVV6ZF4GG.
2
Evaluation of clinical and biological prognostic factors in relapsed or refractory diffuse large B-cell lymphoma patients after previous treatment with rituximab and chemotherapy: results of the PRO-R-IPI study.利妥昔单抗联合化疗后复发或难治性弥漫性大B细胞淋巴瘤患者临床及生物学预后因素评估:PRO-R-IPI研究结果
Clin Lymphoma Myeloma Leuk. 2015 Jul;15(7):398-403. doi: 10.1016/j.clml.2015.02.029. Epub 2015 Mar 5.
3
非经典单核细胞易于迁移至弥漫性大 B 细胞淋巴瘤肿瘤中。
Front Immunol. 2021 Dec 16;12:755623. doi: 10.3389/fimmu.2021.755623. eCollection 2021.
4
Natural killer cell therapy for hematologic malignancies: successes, challenges, and the future.自然杀伤细胞疗法治疗血液系统恶性肿瘤:成功、挑战与未来。
Stem Cell Res Ther. 2021 Mar 25;12(1):211. doi: 10.1186/s13287-021-02277-x.
5
High proportion of anergic B cells in the bone marrow defined phenotypically by CD21(-/low)/CD38- expression predicts poor survival in diffuse large B cell lymphoma.骨髓中高比例无反应性 B 细胞通过 CD21(-/low)/CD38- 表达表型定义,预示弥漫性大 B 细胞淋巴瘤患者的生存不良。
BMC Cancer. 2020 Nov 3;20(1):1061. doi: 10.1186/s12885-020-07525-6.
6
Predicting worse survival for newly diagnosed T cell lymphoma based on the decreased baseline CD16-/CD16 + monocyte ratio.基于基线 CD16-/CD16+单核细胞比率降低预测新诊断 T 细胞淋巴瘤患者的预后更差。
Sci Rep. 2020 May 8;10(1):7757. doi: 10.1038/s41598-020-64579-z.
Flow cytometric white blood cell differential using CytoDiff is excellent for counting blasts.
使用CytoDiff进行流式细胞术白细胞分类对于原始细胞计数非常出色。
Ann Lab Med. 2015 Jan;35(1):28-34. doi: 10.3343/alm.2015.35.1.28. Epub 2014 Dec 8.
4
[The application of panel CytoDiff for monitoring of effectiveness of antiviral therapy in HIV-infected patients].
Klin Lab Diagn. 2014 Jul;59(7):58-61.
5
White blood cell differential counts in severely leukopenic samples: a comparative analysis of different solutions available in modern laboratory hematology.严重白细胞减少样本中的白细胞分类计数:现代实验室血液学中不同可用溶液的比较分析
Blood Res. 2014 Jun;49(2):120-6. doi: 10.5045/br.2014.49.2.120. Epub 2014 Jun 25.
6
Peripheral blood lymphocyte/monocyte ratio at the time of first relapse predicts outcome for patients with relapsed or primary refractory diffuse large B-cell lymphoma.首次复发时的外周血淋巴细胞/单核细胞比值可预测复发或原发性难治性弥漫性大B细胞淋巴瘤患者的预后。
BMC Cancer. 2014 May 19;14:341. doi: 10.1186/1471-2407-14-341.
7
Peripheral blood absolute lymphocyte/monocyte ratio during rituximab, cyclophosphamide, doxorubicin, vincristine and prednisone treatment cycles predicts clinical outcomes in diffuse large B-cell lymphoma.利妥昔单抗、环磷酰胺、阿霉素、长春新碱和泼尼松治疗周期中的外周血绝对淋巴细胞/单核细胞比值可预测弥漫性大B细胞淋巴瘤的临床结局。
Leuk Lymphoma. 2014 Dec;55(12):2728-38. doi: 10.3109/10428194.2014.893313. Epub 2014 Mar 19.
8
The derived neutrophil to lymphocyte ratio is an independent prognostic factor in patients with diffuse large B-cell lymphoma.中性粒细胞与淋巴细胞比值可作为弥漫性大 B 细胞淋巴瘤患者独立的预后因素。
Br J Cancer. 2014 Jan 21;110(2):369-74. doi: 10.1038/bjc.2013.763. Epub 2013 Dec 19.
9
Peripheral blood lymphocyte/monocyte ratio predicts outcome for patients with diffuse large B cell lymphoma after standard first-line regimens.外周血淋巴细胞/单核细胞比值可预测接受标准一线方案治疗后的弥漫性大 B 细胞淋巴瘤患者的预后。
Ann Hematol. 2014 Apr;93(4):617-26. doi: 10.1007/s00277-013-1916-9. Epub 2013 Oct 19.
10
An extended leukocyte differential count (16 types of circulating leukocytes) using the CytoDiff flow cytometric system can provide information for the discrimination of sepsis severity and prediction of outcome in sepsis patients.使用CytoDiff流式细胞仪系统进行的扩展白细胞分类计数(16种循环白细胞)可为脓毒症患者的脓毒症严重程度鉴别及预后预测提供信息。
Cytometry B Clin Cytom. 2014 Jul;86(4):244-56. doi: 10.1002/cyto.b.21123. Epub 2013 Sep 3.