Suppr超能文献

利用地方生态知识作为一种补充方法,以了解渔业资源分布的时空模式。

The use of Local Ecological Knowledge as a complementary approach to understand the temporal and spatial patterns of fishery resources distribution.

机构信息

Department of Oceanography and Limnology at the Federal University of Rio Grande do Norte, Natal, Brazil.

Fishing Ecology, Management and Economics group, Department of Ecology at the Federal University of Rio Grande do Norte, Natal, RN, Brazil.

出版信息

J Ethnobiol Ethnomed. 2017 Jun 1;13(1):30. doi: 10.1186/s13002-017-0156-9.

Abstract

BACKGROUND

Acquiring fast and accurate information on ecological patterns of fishery resources is a basic first step for their management. However, some countries may lack the technical and/or the financial means to undergo traditional scientific samplings to get such information; therefore affordable and reliable alternatives need to be sought.

METHODS

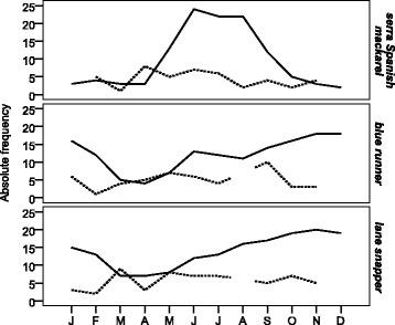
We compared two different approaches to identify occurrence patterns and catch for three main fish species caught with bottom-set gillnets used by artisanal fishers from northeast Brazil: (1) scientific on-board record data of small-scale fleet (n = 72 trips), and (2) interviews with small-scale fishers on Local Ecological Knowledge (LEK) (n = 32 interviews). We correlated (Pearson correlations) the months cited by fishers (LEK) as belonging to the rainy or to the dry season with observed periods of higher and lower precipitation (SK). The presence of the three main fish species at different depths was compared between LEK and SK by Spearman correlations. Spearman correlations were also used to compare the depths of greatest abundance (with the highest Capture per Unit Effort - CPUE) of these species; the CPUEs were descendly ordered.

RESULTS

Both methods provided similar and complementary bathymetric patterns of species occurrence and catch. The largest catches occured in deeper areas, which also happened to be less intensively fished. The preference for fishing in shallower and less productive areas was mostly due to environmental factors, such as weaker currents and less drifting algae at such depths.

CONCLUSION

Both on-board and interview methods were accurate and brought complementary information, even though fishers provided faster data when compared to scientific on-board observations. When time and funding are not limited, integrative approaches such as the one presented here are likely the best option to obtain information, otherwise fishers' LEK could be a better choice for when a compromise between speed, reliability and cost needs to be reached.

摘要

背景

获取渔业资源生态模式的快速准确信息是进行管理的基本前提。然而,一些国家可能缺乏技术和/或资金来进行传统的科学采样以获取此类信息;因此需要寻求负担得起且可靠的替代方法。

方法

我们比较了两种不同的方法来识别三种主要鱼类的出现模式和捕捞量,这些鱼类是巴西东北部的手工渔民使用底拖网捕捞的:(1)小型船队的科学船上记录数据(n=72 次航行),(2)渔民的本地生态知识(LEK)访谈(n=32 次访谈)。我们将渔民(LEK)所指的属于雨季或旱季的月份与观测到的降水较高和较低时期(SK)进行了相关性分析(Pearson 相关系数)。通过 Spearman 相关系数比较了 LEK 和 SK 中三种主要鱼类在不同深度的存在情况。 Spearman 相关系数也用于比较这些物种的最大丰度(最高单位捕捞努力量的渔获量 - CPUE)的深度;CPUE 按降序排列。

结果

两种方法都提供了相似且互补的物种出现和捕捞的水深模式。最大的渔获量发生在更深的区域,而这些区域的捕捞强度也较低。在较浅和生产力较低的区域捕鱼的偏好主要归因于环境因素,例如在这些深度水流较弱且漂流藻类较少。

结论

船上和访谈方法都是准确的,并且提供了互补的信息,尽管与科学船上的观测相比,渔民提供的数据更快。当时间和资金不受限制时,像这里提出的综合方法可能是获取信息的最佳选择,否则在需要在速度、可靠性和成本之间进行权衡时,渔民的 LEK 可能是更好的选择。

https://cdn.ncbi.nlm.nih.gov/pmc/blobs/3ed5/5455079/13d6b9826ce3/13002_2017_156_Fig1_HTML.jpg

文献AI研究员

20分钟写一篇综述,助力文献阅读效率提升50倍。

立即体验

用中文搜PubMed

大模型驱动的PubMed中文搜索引擎

马上搜索

文档翻译

学术文献翻译模型,支持多种主流文档格式。

立即体验