Suppr超能文献

接受含或不含干扰素的直接抗病毒方案治疗的丙型肝炎病毒感染患者炎症生物标志物的变化

Changes in inflammatory biomarkers in HCV-infected patients undergoing direct acting antiviral-containing regimens with or without interferon.

作者信息

Mascia Claudia, Vita Serena, Zuccalà Paola, Marocco Raffaella, Tieghi Tiziana, Savinelli Stefano, Rossi Raffaella, Iannetta Marco, Pozzetto Irene, Furlan Caterina, Mengoni Fabio, Mastroianni Claudio Maria, Vullo Vincenzo, Lichtner Miriam

机构信息

Department of Public Health and Infectious Diseases, Sapienza University, Rome, Italy.

Infectious Diseases Unit, Sapienza University, S. M. Goretti Hospital, Latina, Italy.

出版信息

PLoS One. 2017 Jun 21;12(6):e0179400. doi: 10.1371/journal.pone.0179400. eCollection 2017.

Abstract

BACKGROUND AND AIMS

Increased levels of chemokine interferon-gamma (IFN-γ)-inducible protein-10 (CXCL10), soluble CD163 (sCD163) and soluble CD14 (sCD14) have been reported in HCV infection. The aim of this study was to compare, sCD163 and sCD14 levels in HCV-infected patients undergoing direct acting antiviral (DAA)-containing regimens with or without interferon (IFN).

METHODS

sCD163, sCD14 and CXCL10 were longitudinally measured by ELISA in 159 plasma samples from 25 HCV-infected patients undergoing IFN-based treatment plus telaprevir or boceprevir and 28 HCV infected subjects treated with DAA IFN-free regimens. Twenty-five healthy donors (HD) were included as controls.

RESULTS

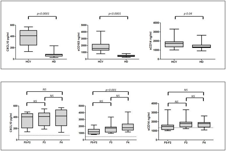
At baseline CXCL10, sCD163 and sCD14 levels were higher in HCV-infected patients than in HD. CXCL10 and sCD163 levels were significantly decreased in responder (R) patients who achieved sustained virological response (SVR), with both IFN-based and IFN-free regimens, while they were persistently elevated in non-responders (NR) patients who stopped IFN-based treatments because of failure or adverse events. Conversely, sCD14 levels were apparently unchanged during therapy, but at the end of treatment the levels reached normal ranges. Comparing the two regimens, the extent of CXCL10 reduction was more pronounced in patients undergoing DAA IFN-free therapies, whereas sCD163 and sCD14 reduction was similar in the two groups. Interestingly, only in IFN-based regimens baseline sCD163 levels were significantly higher in NR than in R patients, while in the IFN-free treatment group also patients with high sCD163 plasma levels obtained SVR. At the end of therapy, even if the biomarkers were largely decreased, their levels remained significantly higher compared to HD. Only in the early fibrosis stages, sCD163 values tended to normalize.

CONCLUSIONS

These results indicate that IFN-free regimens including newer DAA induce an early and marked decrease in circulating inflammatory biomarkers. However, the full normalization of biomarkers was not obtained, especially in patients with advanced fibrosis, thus underlying the need for a treatment in the early stages of HCV infection.

摘要

背景与目的

据报道,丙型肝炎病毒(HCV)感染患者体内趋化因子γ干扰素(IFN-γ)诱导蛋白10(CXCL10)、可溶性CD163(sCD163)和可溶性CD14(sCD14)水平升高。本研究旨在比较接受含或不含干扰素(IFN)的直接抗病毒(DAA)方案治疗的HCV感染患者的sCD163和sCD14水平。

方法

通过酶联免疫吸附测定法(ELISA)纵向检测了25例接受基于IFN治疗加替拉普韦或博赛匹韦的HCV感染患者以及28例接受不含IFN的DAA方案治疗的HCV感染患者的159份血浆样本中的sCD163、sCD14和CXCL10。纳入25名健康供者(HD)作为对照。

结果

在基线时,HCV感染患者的CXCL10、sCD163和sCD14水平高于HD。在实现持续病毒学应答(SVR)的应答者(R)患者中,基于IFN和不含IFN的方案均使CXCL10和sCD163水平显著降低,而因治疗失败或不良事件停止基于IFN治疗的无应答者(NR)患者中,这些水平持续升高。相反,sCD14水平在治疗期间明显未变,但在治疗结束时达到正常范围。比较两种方案,接受不含IFN的DAA治疗的患者CXCL10降低程度更明显,而两组中sCD163和sCD14的降低相似。有趣的是,仅在基于IFN的方案中,NR患者的基线sCD163水平显著高于R患者,而在不含IFN的治疗组中,血浆sCD163水平高的患者也获得了SVR。在治疗结束时,即使生物标志物大幅下降,其水平仍显著高于HD。仅在早期纤维化阶段,sCD163值趋于正常。

结论

这些结果表明,包括新型DAA的不含IFN方案可使循环炎症生物标志物早期显著降低。然而,生物标志物并未完全恢复正常,尤其是在晚期纤维化患者中,因此强调了在HCV感染早期进行治疗的必要性。

https://cdn.ncbi.nlm.nih.gov/pmc/blobs/c0de/5499435/7deae32a534e/pone.0179400.g001.jpg

文献检索

告别复杂PubMed语法,用中文像聊天一样搜索,搜遍4000万医学文献。AI智能推荐,让科研检索更轻松。

立即免费搜索

文件翻译

保留排版,准确专业,支持PDF/Word/PPT等文件格式,支持 12+语言互译。

免费翻译文档

深度研究

AI帮你快速写综述,25分钟生成高质量综述,智能提取关键信息,辅助科研写作。

立即免费体验