Suppr超能文献

利用多状态结核病药效学和一般药效学相互作用模型评估小鼠中的药效学相互作用。

Assessing Pharmacodynamic Interactions in Mice Using the Multistate Tuberculosis Pharmacometric and General Pharmacodynamic Interaction Models.

机构信息

Department of Pharmaceutical Biosciences, Uppsala University, Uppsala, Sweden.

College of Veterinary Medicine, Northeast Agricultural University, 600 Changjiang Road, Xiangfang District, Harbin, 150030, P. R. China.

出版信息

CPT Pharmacometrics Syst Pharmacol. 2017 Nov;6(11):787-797. doi: 10.1002/psp4.12226. Epub 2017 Oct 10.

Abstract

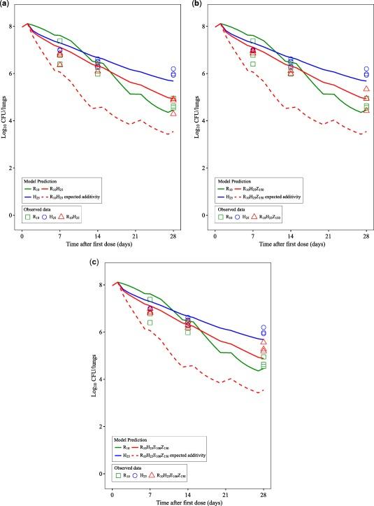
The aim of this study was to investigate pharmacodynamic (PD) interactions in mice infected with Mycobacterium tuberculosis using population pharmacokinetics (PKs), the Multistate Tuberculosis Pharmacometric (MTP) model, and the General Pharmacodynamic Interaction (GPDI) model. Rifampicin, isoniazid, ethambutol, or pyrazinamide were administered in monotherapy for 4 weeks. Rifampicin and isoniazid showed effects in monotherapy, whereas the animals became moribund after 7 days with ethambutol or pyrazinamide alone. No PD interactions were observed against fast-multiplying bacteria. Interactions between rifampicin and isoniazid on killing slow and non-multiplying bacteria were identified, which led to an increase of 0.86 log colony-forming unit (CFU)/lungs at 28 days after treatment compared to expected additivity (i.e., antagonism). An interaction between rifampicin and ethambutol on killing non-multiplying bacteria was quantified, which led to a decrease of 2.84 log CFU/lungs at 28 days after treatment (i.e., synergism). These results show the value of pharmacometrics to quantitatively assess PD interactions in preclinical tuberculosis drug development.

摘要

本研究旨在利用群体药代动力学(PKs)、多状态结核药代动力学(MTP)模型和广义药效学相互作用(GPDI)模型,研究感染结核分枝杆菌的小鼠的药效学(PD)相互作用。利福平、异烟肼、乙胺丁醇或吡嗪酰胺分别进行单药治疗 4 周。利福平和异烟肼在单药治疗中显示出疗效,而单独使用乙胺丁醇或吡嗪酰胺时,动物在 7 天后濒死。在快速繁殖细菌中未观察到 PD 相互作用。在治疗后 28 天,鉴定出利福平与异烟肼对慢生长和非繁殖细菌的杀菌作用相互作用,与预期的相加性(即拮抗作用)相比,导致细菌数量减少了 0.86 对数菌落形成单位(CFU)/肺。定量了利福平和乙胺丁醇对非繁殖细菌的杀菌作用的相互作用,导致治疗后 28 天细菌数量减少了 2.84 对数 CFU/肺(即协同作用)。这些结果表明,药效学计量学在临床前结核病药物开发中定量评估 PD 相互作用具有重要价值。

https://cdn.ncbi.nlm.nih.gov/pmc/blobs/370e/5702905/69d57362b048/PSP4-6-787-g001.jpg

文献AI研究员

20分钟写一篇综述,助力文献阅读效率提升50倍。

立即体验

用中文搜PubMed

大模型驱动的PubMed中文搜索引擎

马上搜索

文档翻译

学术文献翻译模型,支持多种主流文档格式。

立即体验