Suppr超能文献

在接近水稻种植最北界限种植的两个亲缘关系密切的粳稻亚种栽培品种中鉴定水稻籽粒品质和产量相关性状的数量性状位点。

Identification of quantitative trait loci for rice grain quality and yield-related traits in two closely related L. subsp. cultivars grown near the northernmost limit for rice paddy cultivation.

作者信息

Kinoshita Noriko, Kato Masayuki, Koyasaki Kei, Kawashima Takuya, Nishimura Tsutomu, Hirayama Yuji, Takamure Itsuro, Sato Takashi, Kato Kiyoaki

机构信息

Department of Agro-Environmental Science, Obihiro University of Agriculture and Veterinary Medicine, Nishi 2-11 Inada, Obihiro, Hokkaido 080-8555, Japan.

Graduate School of Agriculture, Hokkaido University, Kita 9 Nishi 9, Kita-ku, Sapporo, Hokkaido 060-8589, Japan.

出版信息

Breed Sci. 2017 Jun;67(3):191-206. doi: 10.1270/jsbbs.16155. Epub 2017 May 10.

Abstract

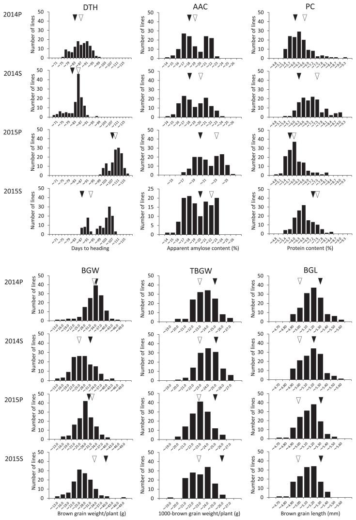
Quantitative trait loci (QTLs) associated with eating quality, grain appearance quality and yield-related traits were mapped in recombinant inbred lines (RILs) derived from closely related rice ( L. subsp. ) cultivars, Yukihikari (good eating quality) and Joiku462 (superior eating quality and high grain appearance quality). Apparent amylose content (AAC), protein content (PC), brown grain length (BGL), brown grain width (BGWI), brown grain thickness (BGT), brown grain weight per plant (BGW) and nine yield-related traits were evaluated in 133 RILs grown in four different environments in Hokkaido, near the northernmost limit for rice paddy cultivation. Using 178 molecular markers, a total of 72 QTLs were detected, including three for AAC, eight for PC, two for BGL, four for BGWI, seven for BGT, and six for BGW, on chromosomes 1, 2, 3, 4, 6, 7, 8, 9, 11 and 12. Fifteen intervals were found to harbor multiple QTLs affecting these different traits, with most of these QTL clusters located on chromosomes 4, 6, 8, 9 and 12. These QTL findings should facilitate gene isolation and breeding application for improvement of eating quality, grain appearance quality and yield of rice cultivars.

摘要

在由亲缘关系较近的水稻(L. subsp.)品种雪光(食味品质优良)和上久462(食味品质优良且粒形外观品质高)衍生的重组自交系(RIL)中,对与食味品质、粒形外观品质和产量相关性状相关的数量性状位点(QTL)进行了定位。在北海道四个不同环境中种植的133个RIL中,评估了表观直链淀粉含量(AAC)、蛋白质含量(PC)、糙米长度(BGL)、糙米宽度(BGWI)、糙米厚度(BGT)、单株糙米重量(BGW)以及九个产量相关性状。利用178个分子标记,在第1、2、3、4、6、7、8、9、11和12号染色体上共检测到72个QTL,包括3个与AAC相关的、8个与PC相关的、2个与BGL相关的、4个与BGWI相关的、7个与BGT相关的以及6个与BGW相关的。发现有15个区间含有影响这些不同性状的多个QTL,其中大多数QTL簇位于第4、6、8、9和12号染色体上。这些QTL研究结果应有助于分离基因并应用于育种,以改良水稻品种的食味品质、粒形外观品质和产量。

https://cdn.ncbi.nlm.nih.gov/pmc/blobs/fb7c/5515307/3e6b3275af26/67_16155_1a.jpg

文献AI研究员

20分钟写一篇综述,助力文献阅读效率提升50倍。

立即体验

用中文搜PubMed

大模型驱动的PubMed中文搜索引擎

马上搜索

文档翻译

学术文献翻译模型,支持多种主流文档格式。

立即体验