Suppr超能文献

洋蓟中DNA甲基转移酶和去甲基酶的全基因组鉴定及转录水平

The genome-wide identification and transcriptional levels of DNA methyltransferases and demethylases in globe artichoke.

作者信息

Gianoglio Silvia, Moglia Andrea, Acquadro Alberto, Comino Cinzia, Portis Ezio

机构信息

Department of Agricultural, Forest and Food Sciences, University of Torino, Grugliasco, Italy.

出版信息

PLoS One. 2017 Jul 26;12(7):e0181669. doi: 10.1371/journal.pone.0181669. eCollection 2017.

Abstract

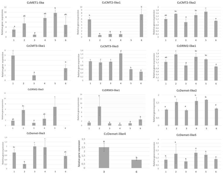
Changes to the cytosine methylation status of DNA, driven by the activity of C5 methyltransferases (C5-MTases) and demethylases, exert an important influence over development, transposon movement, gene expression and imprinting. Three groups of C5-MTase enzymes have been identified in plants, namely MET (methyltransferase 1), CMT (chromomethyltransferases) and DRM (domains rearranged methyltransferases). Here the repertoire of genes encoding C5-MTase and demethylase by the globe artichoke (Cynara cardunculus var. scolymus) is described, based on sequence homology, a phylogenetic analysis and a characterization of their functional domains. A total of ten genes encoding C5-MTase (one MET, five CMTs and four DRMs) and five demethylases was identified. An analysis of their predicted product's protein structure suggested an extensive level of conservation has been retained by the C5-MTases. Transcriptional profiling based on quantitative real time PCR revealed a number of differences between the genes encoding maintenance and de novo methyltransferases, sometimes in a tissue- or development-dependent manner, which implied a degree of functional specialization.

摘要

由C5甲基转移酶(C5-MTases)和去甲基化酶的活性驱动的DNA胞嘧啶甲基化状态的变化,对发育、转座子移动、基因表达和印记产生重要影响。在植物中已鉴定出三组C5-MTase酶,即MET(甲基转移酶1)、CMT(染色体甲基转移酶)和DRM(结构域重排甲基转移酶)。在此,基于序列同源性、系统发育分析及其功能域的表征,描述了洋蓟(Cynara cardunculus var. scolymus)中编码C5-MTase和去甲基化酶的基因库。共鉴定出十个编码C5-MTase的基因(一个MET、五个CMT和四个DRM)和五个去甲基化酶。对其预测产物的蛋白质结构分析表明,C5-MTases保留了广泛的保守水平。基于定量实时PCR的转录谱分析揭示了编码维持性和从头甲基转移酶的基因之间存在许多差异,有时以组织或发育依赖性方式存在,这暗示了一定程度的功能特化。

https://cdn.ncbi.nlm.nih.gov/pmc/blobs/329f/5529103/b703c69a0771/pone.0181669.g001.jpg

文献AI研究员

20分钟写一篇综述,助力文献阅读效率提升50倍。

立即体验

用中文搜PubMed

大模型驱动的PubMed中文搜索引擎

马上搜索

文档翻译

学术文献翻译模型,支持多种主流文档格式。

立即体验