• 文献检索
  • 文档翻译
  • 深度研究
  • 学术资讯
  • Suppr Zotero 插件Zotero 插件
  • 邀请有礼
  • 套餐&价格
  • 历史记录
应用&插件
Suppr Zotero 插件Zotero 插件浏览器插件Mac 客户端Windows 客户端微信小程序
定价
高级版会员购买积分包购买API积分包
服务
文献检索文档翻译深度研究API 文档MCP 服务
关于我们
关于 Suppr公司介绍联系我们用户协议隐私条款
关注我们

Suppr 超能文献

核心技术专利:CN118964589B侵权必究
粤ICP备2023148730 号-1Suppr @ 2026

文献检索

告别复杂PubMed语法,用中文像聊天一样搜索,搜遍4000万医学文献。AI智能推荐,让科研检索更轻松。

立即免费搜索

文件翻译

保留排版,准确专业,支持PDF/Word/PPT等文件格式,支持 12+语言互译。

免费翻译文档

深度研究

AI帮你快速写综述,25分钟生成高质量综述,智能提取关键信息,辅助科研写作。

立即免费体验

使用基于氢核磁共振的代谢组学诊断血吸虫病与乙型或丙型病毒性肝炎合并感染。

Diagnosis of coinfection by schistosomiasis and viral hepatitis B or C using 1H NMR-based metabonomics.

作者信息

Gouveia Liana Ribeiro, Santos Joelma Carvalho, Silva Ronaldo Dionísio, Batista Andrea Dória, Domingues Ana Lúcia Coutinho, Lopes Edmundo Pessoa de Almeida, Silva Ricardo Oliveira

机构信息

Postgraduate Program in Chemistry, Fundamental Chemistry Department, Center for Exact and Natural Sciences, Universidade Federal de Pernambuco (UFPE), Recife, Pernambuco, Brazil.

Postgraduate Program in Tropical Medicine, Center for Health Sciences, Universidade Federal de Pernambuco (UFPE), Recife, Pernambuco, Brazil.

出版信息

PLoS One. 2017 Aug 1;12(8):e0182196. doi: 10.1371/journal.pone.0182196. eCollection 2017.

DOI:10.1371/journal.pone.0182196
PMID:28763497
原文链接:https://pmc.ncbi.nlm.nih.gov/articles/PMC5538707/
Abstract

BACKGROUND

Diagnosis of liver involvement due to schistosomiasis in asymptomatic patients from endemic areas previously diagnosed with chronic hepatitis B (HBV) or C (HCV) and periportal fibrosis is challenging. H-1 Nuclear Magnetic Resonance (NMR)-based metabonomics strategy is a powerful tool for providing a profile of endogenous metabolites of low molecular weight in biofluids in a non-invasive way. The aim of this study was to diagnose periportal fibrosis due to schistosomiasis mansoni in patients with chronic HBV or HCV infection through NMR-based metabonomics models.

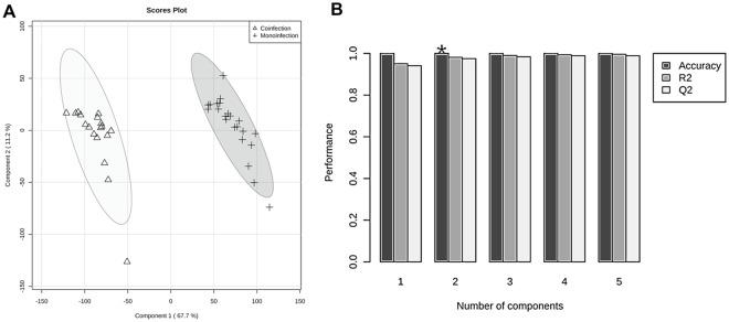
METHODOLOGY/PRINCIPAL FINDINGS: The study included 40 patients divided into two groups: (i) 18 coinfected patients with schistosomiasis mansoni and HBV or HCV; and (ii) 22 HBV or HCV monoinfected patients. The serum samples were analyzed through H-1 NMR spectroscopy and the models were based on Principal Component Analysis (PCA) and Partial Least Squares-Discriminant Analysis (PLS-DA). Ultrasonography examination was used to ascertain the diagnosis of periportal fibrosis. Exploratory analysis showed a clear separation between coinfected and monoinfected samples. The supervised model built from PLS-DA showed accuracy, R2 and Q2 values equal to 100%, 98.1% and 97.5%, respectively. According to the variable importance in the projection plot, lactate serum levels were higher in the coinfected group, while the signals attributed to HDL serum cholesterol were more intense in the monoinfected group.

CONCLUSIONS/SIGNIFICANCE: The metabonomics models constructed in this study are promising as an alternative tool for diagnosis of periportal fibrosis by schistosomiasis in patients with chronic HBV or HCV infection from endemic areas for Schistosoma mansoni.

摘要

背景

对于来自流行地区、先前已诊断为慢性乙型肝炎(HBV)或丙型肝炎(HCV)且伴有门静脉周围纤维化的无症状患者,诊断血吸虫病所致的肝脏受累具有挑战性。基于氢-1核磁共振(NMR)的代谢组学策略是一种强大的工具,可通过非侵入性方式提供生物流体中低分子量内源性代谢物的概况。本研究的目的是通过基于NMR的代谢组学模型诊断慢性HBV或HCV感染患者中曼氏血吸虫病所致的门静脉周围纤维化。

方法/主要发现:该研究纳入了40名患者,分为两组:(i)18名曼氏血吸虫病与HBV或HCV合并感染的患者;以及(ii)22名单纯HBV或HCV感染的患者。通过氢-1核磁共振波谱分析血清样本,模型基于主成分分析(PCA)和偏最小二乘判别分析(PLS-DA)。采用超声检查确定门静脉周围纤维化的诊断。探索性分析显示合并感染组和单纯感染组样本之间有明显区分。由PLS-DA构建的监督模型显示准确率、R2和Q2值分别为100%、98.1%和97.5%。根据投影图中的变量重要性,合并感染组的血清乳酸水平较高,而单纯感染组中归因于高密度脂蛋白血清胆固醇的信号更强。

结论/意义:本研究构建的代谢组学模型有望成为诊断来自曼氏血吸虫病流行地区慢性HBV或HCV感染患者血吸虫病所致门静脉周围纤维化的替代工具。

https://cdn.ncbi.nlm.nih.gov/pmc/blobs/b1f7/5538707/c7a2925e3ccc/pone.0182196.g004.jpg
https://cdn.ncbi.nlm.nih.gov/pmc/blobs/b1f7/5538707/085f0396bd78/pone.0182196.g001.jpg
https://cdn.ncbi.nlm.nih.gov/pmc/blobs/b1f7/5538707/a7253fb2c14b/pone.0182196.g002.jpg
https://cdn.ncbi.nlm.nih.gov/pmc/blobs/b1f7/5538707/409611c7aeff/pone.0182196.g003.jpg
https://cdn.ncbi.nlm.nih.gov/pmc/blobs/b1f7/5538707/c7a2925e3ccc/pone.0182196.g004.jpg
https://cdn.ncbi.nlm.nih.gov/pmc/blobs/b1f7/5538707/085f0396bd78/pone.0182196.g001.jpg
https://cdn.ncbi.nlm.nih.gov/pmc/blobs/b1f7/5538707/a7253fb2c14b/pone.0182196.g002.jpg
https://cdn.ncbi.nlm.nih.gov/pmc/blobs/b1f7/5538707/409611c7aeff/pone.0182196.g003.jpg
https://cdn.ncbi.nlm.nih.gov/pmc/blobs/b1f7/5538707/c7a2925e3ccc/pone.0182196.g004.jpg

相似文献

1
Diagnosis of coinfection by schistosomiasis and viral hepatitis B or C using 1H NMR-based metabonomics.使用基于氢核磁共振的代谢组学诊断血吸虫病与乙型或丙型病毒性肝炎合并感染。
PLoS One. 2017 Aug 1;12(8):e0182196. doi: 10.1371/journal.pone.0182196. eCollection 2017.
2
Coinfection of Schistosoma Species with Hepatitis B or Hepatitis C Viruses.血吸虫物种与乙型肝炎或丙型肝炎病毒的合并感染。
Adv Parasitol. 2016;91:111-231. doi: 10.1016/bs.apar.2015.12.003. Epub 2016 Feb 5.
3
Assessment of periportal fibrosis in patients by proton nuclear magnetic resonance-based metabonomics models.基于质子核磁共振代谢组学模型评估患者的门周纤维化
World J Hepatol. 2022 Apr 27;14(4):719-728. doi: 10.4254/wjh.v14.i4.719.
4
Different cytokine patterns in patients coinfected with hepatitis C virus and Schistosoma mansoni.丙型肝炎病毒和曼氏血吸虫合并感染患者的不同细胞因子模式。
Egypt J Immunol. 2004;11(1):23-9.
5
Clinical, virological and histopathological features: long-term follow-up in patients with chronic hepatitis C co-infected with S. mansoni.临床、病毒学及组织病理学特征:慢性丙型肝炎合并曼氏血吸虫感染患者的长期随访
Liver. 2000 Jul;20(4):281-9. doi: 10.1034/j.1600-0676.2000.020004281.x.
6
The prevalence of hepatitis B and C infections among immigrants to a newly reclaimed area endemic for Schistosoma mansoni in Sinai, Egypt.在埃及西奈半岛一个新开垦的曼氏血吸虫病流行地区,移民中乙型和丙型肝炎感染的患病率。
Acta Trop. 1997 Nov;68(2):229-37. doi: 10.1016/s0001-706x(97)00097-1.
7
Interleukin (IL)-4, IL-10, IL-18 and IFN-gamma cytokines pattern in patients with combined hepatitis C virus and Schistosoma mansoni infections.丙型肝炎病毒与曼氏血吸虫合并感染患者的白细胞介素(IL)-4、IL-10、IL-18和γ干扰素细胞因子模式
Scand J Immunol. 2005 Jan;61(1):87-91. doi: 10.1111/j.0300-9475.2005.01529.x.
8
Hepatitis C virologic response in hepatitis B and C coinfected persons treated with directly acting antiviral agents: Results from ERCHIVES.直接作用抗病毒药物治疗乙型和丙型肝炎合并感染患者的丙型肝炎病毒学应答:来自 ERCHIVES 的结果。
Int J Infect Dis. 2020 Mar;92:184-188. doi: 10.1016/j.ijid.2020.01.025. Epub 2020 Jan 21.
9
Impact of schistosomiasis on increase incidence of occult hepatitis B in chronic hepatitis C patients in Egypt.埃及血吸虫病对慢性丙型肝炎患者隐匿性乙型肝炎发病率升高的影响。
J Infect Public Health. 2017 Nov-Dec;10(6):761-765. doi: 10.1016/j.jiph.2016.11.010. Epub 2017 Feb 9.
10
The impact of schistosomiasis co-infection in the presentation of viral hepatitis B in migrants: An observational study in non-endemic area.血吸虫病合并感染对移民中乙型病毒性肝炎表现的影响:非流行地区的观察性研究。
Travel Med Infect Dis. 2020 May-Jun;35:101467. doi: 10.1016/j.tmaid.2019.101467. Epub 2019 Aug 23.

引用本文的文献

1
Metabolomics assays applied to schistosomiasis studies: a scoping review.应用于血吸虫病研究的代谢组学分析:一项范围综述
BMC Infect Dis. 2025 Feb 13;25(1):211. doi: 10.1186/s12879-025-10606-1.
2
Harnessing Schistosoma-associated metabolite changes in the human host to identify biomarkers of infection and morbidity: Where are we and what should we do next?利用人类宿主中与血吸虫相关的代谢物变化来鉴定感染和发病的生物标志物:我们现在在哪里,下一步应该做什么?
PLoS Negl Trop Dis. 2024 Mar 21;18(3):e0012009. doi: 10.1371/journal.pntd.0012009. eCollection 2024 Mar.
3
Alterations of Gut Microbiome and Metabolite Profiling in Mice Infected by .

本文引用的文献

1
Schistosomiasis: Clinical management of liver disease.血吸虫病:肝脏疾病的临床管理
Clin Liver Dis (Hoboken). 2015 Sep 29;6(3):59-62. doi: 10.1002/cld.495. eCollection 2015 Sep.
2
Metabonomics Research Progress on Liver Diseases.代谢组学在肝脏疾病研究中的进展。
Can J Gastroenterol Hepatol. 2017;2017:8467192. doi: 10.1155/2017/8467192. Epub 2017 Feb 21.
3
Metabolic Characterization of Advanced Liver Fibrosis in HCV Patients as Studied by Serum 1H-NMR Spectroscopy.血清1H-NMR光谱法研究丙型肝炎病毒患者晚期肝纤维化的代谢特征
感染. 后小鼠肠道微生物组和代谢物特征分析
Front Immunol. 2020 Oct 8;11:569727. doi: 10.3389/fimmu.2020.569727. eCollection 2020.
4
Osteopenia-osteoporosis discrimination in postmenopausal women by 1H NMR-based metabonomics.基于 1H NMR 代谢组学的绝经后妇女骨质疏松-骨量减少鉴别。
PLoS One. 2019 May 29;14(5):e0217348. doi: 10.1371/journal.pone.0217348. eCollection 2019.
5
Proton nuclear magnetic resonance-based metabonomic models for non-invasive diagnosis of liver fibrosis in chronic hepatitis C: Optimizing the classification of intermediate fibrosis.基于质子核磁共振的代谢组学模型用于慢性丙型肝炎肝纤维化的无创诊断:优化中度纤维化的分类
World J Hepatol. 2018 Jan 27;10(1):105-115. doi: 10.4254/wjh.v10.i1.105.
PLoS One. 2016 May 9;11(5):e0155094. doi: 10.1371/journal.pone.0155094. eCollection 2016.
4
The promise of metabolic phenotyping in gastroenterology and hepatology.代谢表型分析在胃肠病学和肝脏病学中的应用前景。
Nat Rev Gastroenterol Hepatol. 2015 Aug;12(8):458-71. doi: 10.1038/nrgastro.2015.114. Epub 2015 Jul 21.
5
NMR-Based Serum Metabolomics Discriminates Takayasu Arteritis from Healthy Individuals: A Proof-of-Principle Study.基于核磁共振的血清代谢组学区分高安动脉炎与健康个体:一项原理验证研究。
J Proteome Res. 2015 Aug 7;14(8):3372-81. doi: 10.1021/acs.jproteome.5b00422. Epub 2015 Jun 29.
6
Multivariate Analysis in Metabolomics.代谢组学中的多变量分析
Curr Metabolomics. 2013;1(1):92-107. doi: 10.2174/2213235X11301010092.
7
Prediction of Gestational Diabetes through NMR Metabolomics of Maternal Blood.通过母体血液的核磁共振代谢组学预测妊娠期糖尿病
J Proteome Res. 2015 Jun 5;14(6):2696-706. doi: 10.1021/acs.jproteome.5b00260. Epub 2015 May 8.
8
MetaboAnalyst 3.0--making metabolomics more meaningful.MetaboAnalyst 3.0——让代谢组学更具意义。
Nucleic Acids Res. 2015 Jul 1;43(W1):W251-7. doi: 10.1093/nar/gkv380. Epub 2015 Apr 20.
9
Schistosomiasis, hepatitis B and hepatitis C co-infection.血吸虫病、乙型肝炎和丙型肝炎合并感染。
Virol J. 2015 Feb 8;12:19. doi: 10.1186/s12985-015-0251-2.
10
Hepatic and intestinal schistosomiasis: review.肝肠血吸虫病:综述。
J Adv Res. 2013 Sep;4(5):445-52. doi: 10.1016/j.jare.2012.12.001. Epub 2013 Jan 11.