Suppr超能文献

嵌入碳基质中的双功能水合 RuO 纳米团簇电催化剂,可实现可充电锌空气电池的高效和长寿命运行。

Bifunctional hydrous RuO nanocluster electrocatalyst embedded in carbon matrix for efficient and durable operation of rechargeable zinc-air batteries.

机构信息

School of Energy and Chemical Engineering, UNIST, Ulsan, 44919, Korea.

Department of Chemistry, UNIST, Ulsan, 44919, Korea.

出版信息

Sci Rep. 2017 Aug 2;7(1):7150. doi: 10.1038/s41598-017-07259-9.

Abstract

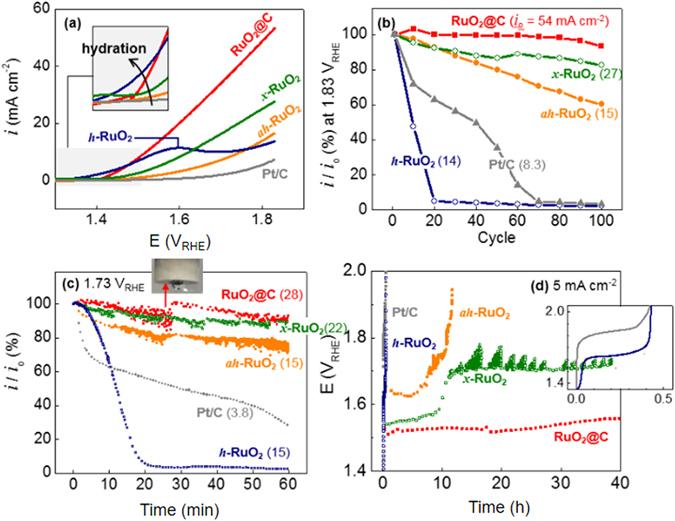
Ruthenium oxide (RuO) is the best oxygen evolution reaction (OER) electrocatalyst. Herein, we demonstrated that RuO can be also efficiently used as an oxygen reduction reaction (ORR) electrocatalyst, thereby serving as a bifunctional material for rechargeable Zn-air batteries. We found two forms of RuO (i.e. hydrous and anhydrous, respectively h-RuO and ah-RuO) to show different ORR and OER electrocatalytic characteristics. Thus, h-RuO required large ORR overpotentials, although it completed the ORR via a 4e process. In contrast, h-RuO triggered the OER at lower overpotentials at the expense of showing very unstable electrocatalytic activity. To capitalize on the advantages of h-RuO while improving its drawbacks, we designed a unique structure (RuO@C) where h-RuO nanoparticles were embedded in a carbon matrix. A double hydrophilic block copolymer-templated ruthenium precursor was transformed into RuO nanoparticles upon formation of the carbon matrix via annealing. The carbon matrix allowed overcoming the limitations of h-RuO by improving its poor conductivity and protecting the catalyst from dissolution during OER. The bifunctional RuO@C catalyst demonstrated a very low potential gap (ΔE  = ca. 1.0 V) at 20 mA cm. The Zn||RuO@C cell showed an excellent stability (i.e. no overpotential was observed after more than 40 h).

摘要

氧化钌(RuO)是最好的氧析出反应(OER)电催化剂。在此,我们证明 RuO 也可以有效地用作氧还原反应(ORR)电催化剂,从而作为可充电锌空气电池的双功能材料。我们发现两种形式的 RuO(即含水和无水,分别为 h-RuO 和 ah-RuO)表现出不同的 ORR 和 OER 电催化特性。因此,h-RuO 需要较大的 ORR 过电位,尽管它通过 4e 过程完成 ORR。相比之下,h-RuO 在较低的过电位下引发 OER,但电催化活性极不稳定。为了利用 h-RuO 的优势,同时改善其缺点,我们设计了一种独特的结构(RuO@C),其中 h-RuO 纳米颗粒嵌入在碳基质中。双亲嵌段共聚物模板化的钌前驱体在形成碳基质时通过退火转化为 RuO 纳米颗粒。碳基质通过提高 h-RuO 的导电性并防止其在 OER 过程中溶解来克服其局限性。双功能 RuO@C 催化剂在 20 mA cm 时表现出非常低的电位差(ΔE≈1.0 V)。Zn||RuO@C 电池表现出优异的稳定性(即经过 40 小时以上后没有观察到过电位)。

https://cdn.ncbi.nlm.nih.gov/pmc/blobs/b085/5540911/880143ee7757/41598_2017_7259_Fig1_HTML.jpg

文献AI研究员

20分钟写一篇综述,助力文献阅读效率提升50倍。

立即体验

用中文搜PubMed

大模型驱动的PubMed中文搜索引擎

马上搜索

文档翻译

学术文献翻译模型,支持多种主流文档格式。

立即体验