Chu Zhuangzhuang, Zhao Tianrui, Li Lin, Fan Jian, Qin Yuyue
Institute of Yunnan Food Safety, Kunming University of Science and Technology, Kunming 650550, China.
College of Light Industry and Food Science, South China University of Technology, Guangzhou 510640, China.
Materials (Basel). 2017 Jun 16;10(6):659. doi: 10.3390/ma10060659.
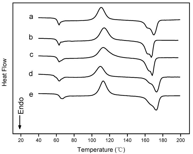
Antimicrobial active films based on poly (lactic acid) (PLA) were prepared with nano-silver (nano-Ag) and nano-zinc oxide (nano-ZnO) using a solvent volatilizing method. The films were characterized for mechanical, structural, thermal, physical and antimicrobial properties. Scanning electron microscopy (SEM) images characterized the fracture morphology of the films with different contents of nano-Ag and nano-ZnO. The addition of nanoparticles into the pure PLA film decreased the tensile strength and elasticity modulus and increased the elongation of breaks-in other words, the flexibility and extensibility of these composites improved. According to the results of differential scanning calorimetry (DSC), the glass transition temperature of the PLA nano-composite films decreased, and the crystallinity of these films increased; a similar result was apparent from X-ray diffraction (XRD) analysis. The water vapor permeability (WVP) and opacity of the PLA nano-composite films augmented compared with pure PLA film. Incorporation of nanoparticles to the PLA films significantly improved the antimicrobial activity to inhibit the growth of . The results indicated that PLA films with nanoparticles could be considered a potential environmental-friendly packaging material.
采用溶剂挥发法,用纳米银(nano-Ag)和纳米氧化锌(nano-ZnO)制备了基于聚乳酸(PLA)的抗菌活性薄膜。对薄膜的机械、结构、热、物理和抗菌性能进行了表征。扫描电子显微镜(SEM)图像表征了不同纳米银和纳米氧化锌含量薄膜的断裂形态。向纯聚乳酸薄膜中添加纳米颗粒降低了拉伸强度和弹性模量,增加了断裂伸长率——换句话说,这些复合材料的柔韧性和延展性得到了改善。根据差示扫描量热法(DSC)的结果,聚乳酸纳米复合薄膜的玻璃化转变温度降低,且这些薄膜的结晶度增加;X射线衍射(XRD)分析也得到了类似结果。与纯聚乳酸薄膜相比,聚乳酸纳米复合薄膜的水蒸气透过率(WVP)和不透明度增加。向聚乳酸薄膜中加入纳米颗粒显著提高了抗菌活性,抑制了……的生长。结果表明,含有纳米颗粒的聚乳酸薄膜可被视为一种潜在的环保包装材料。