Suppr超能文献

五氧化二钒纳米带-还原氧化石墨烯纳米片复合材料作为高性能赝电容电极:交流阻抗谱数据建模与理论计算

Vanadium Pentoxide Nanobelt-Reduced Graphene Oxide Nanosheet Composites as High-Performance Pseudocapacitive Electrodes: ac Impedance Spectroscopy Data Modeling and Theoretical Calculations.

作者信息

Gupta Sanju, Aberg Bryce, Carrizosa Sara B, Dimakis Nicholas

机构信息

Department of Physics and Astronomy and Advanced Materials Institute, Western Kentucky University, Bowling Green, KY 42101, USA.

Department of Electrical Engineering, Western Kentucky University, Bowling Green, KY 42101, USA.

出版信息

Materials (Basel). 2016 Jul 25;9(8):615. doi: 10.3390/ma9080615.

Abstract

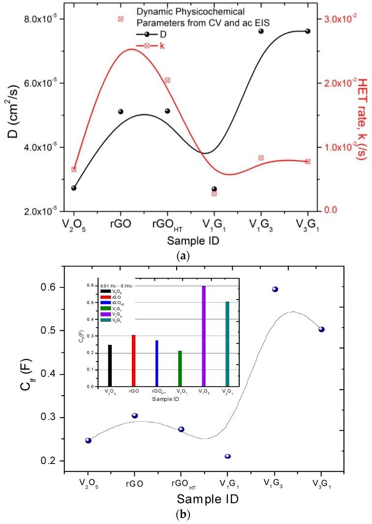
Graphene nanosheets and graphene nanoribbons, G combined with vanadium pentoxide (VO) nanobelts (VNBs) and VNBs forming GVNB composites with varying compositions were synthesized via a one-step low temperature facile hydrothermal decomposition method as high-performance electrochemical pseudocapacitive electrodes. VNBs from vanadium pentoxides (VO) are formed in the presence of graphene oxide (GO), a mild oxidant, which transforms into reduced GO (rGO), assisting in enhancing the electronic conductivity coupled with the mechanical robustness of VNBs. From electron microscopy, surface sensitive spectroscopy and other complementary structural characterization, hydrothermally-produced rGO nanosheets/nanoribbons are decorated with and inserted within the VNBs' layered crystal structure, which further confirmed the enhanced electronic conductivity of VNBs. Following the electrochemical properties of GVNBs being investigated, the specific capacitance is determined from cyclic voltammetry (CV) with a varying scan rate and galvanostatic charging-discharging () profiles with varying current density. The rGO-rich composite V₁G₃ (i.e., VO/GO = 1:3) showed superior specific capacitance followed by VO-rich composite V₃G₁ (VO/GO = 3:1), as compared to V₁G₁ (VO/GO = 1:1) composite, besides the constituents, i.e., rGO, rGO and VNBs. Composites V₁G₃ and V₃G₁ also showed excellent cyclic stability and a capacitance retention of >80% after 500 cycles at the highest specific current density. Furthermore, by performing extensive simulations and modeling of electrochemical impedance spectroscopy data, we determined various circuit parameters, including charge transfer and solution resistance, double layer and low frequency capacitance, Warburg impedance and the constant phase element. The detailed analyses provided greater insights into physical-chemical processes occurring at the electrode-electrolyte interface and highlighted the comparative performance of thin heterogeneous composite electrodes. We attribute the superior performance to the open graphene topological network being beneficial to available ion diffusion sites and the faster transport kinetics having a larger accessible geometric surface area and synergistic integration with optimal nanostructured VO loading. Computational simulations via periodic density functional theory (DFT) with and without V₂O₅ adatoms on graphene sheets are also performed. These calculations determine the total and partial electronic density of state (DOS) in the vicinity of the Fermi level (i.e., higher electroactive sites), in turn complementing the experimental results toward surface/interfacial charge transfer on heterogeneous electrodes.

摘要

通过一步低温简便水热分解法合成了石墨烯纳米片和石墨烯纳米带(G)与五氧化二钒(VO)纳米带(VNBs)结合形成的具有不同组成的GVNB复合材料,作为高性能电化学赝电容电极。在氧化石墨烯(GO,一种温和的氧化剂)存在下,由五氧化二钒形成VNBs,GO转变为还原氧化石墨烯(rGO),有助于提高电子导电性并增强VNBs的机械强度。通过电子显微镜、表面敏感光谱和其他互补结构表征发现,水热法制备的rGO纳米片/纳米带装饰并插入到VNBs的层状晶体结构中,这进一步证实了VNBs电子导电性的增强。在研究了GVNBs的电化学性质后,通过不同扫描速率的循环伏安法(CV)和不同电流密度的恒电流充放电()曲线确定了比电容。富含rGO的复合材料V₁G₃(即VO/GO = 1:3)表现出优异的比电容,其次是富含VO的复合材料V₃G₁(VO/GO = 3:1),与V₁G₁(VO/GO = 1:1)复合材料相比,除了其成分,即rGO、rGO和VNBs之外。复合材料V₁G₃和V₃G₁还表现出优异的循环稳定性,在最高比电流密度下经过500次循环后电容保持率>80%。此外,通过对电化学阻抗谱数据进行广泛的模拟和建模,我们确定了各种电路参数,包括电荷转移电阻和溶液电阻、双层电容和低频电容、Warburg阻抗以及恒相位元件。详细分析为电极 - 电解质界面发生的物理化学过程提供了更深入的见解,并突出了薄异质复合电极的比较性能。我们将优异的性能归因于开放的石墨烯拓扑网络有利于可用离子扩散位点,以及具有更大可及几何表面积和与最佳纳米结构VO负载协同整合的更快传输动力学。还通过周期性密度泛函理论(DFT)对有无V₂O₅吸附原子的石墨烯片进行了计算模拟。这些计算确定了费米能级附近(即更高的电活性位点)的总态密度和部分态密度(DOS),进而补充了关于异质电极表面/界面电荷转移的实验结果。

https://cdn.ncbi.nlm.nih.gov/pmc/blobs/ce80/5509009/1ad1e64fa471/materials-09-00615-g001.jpg

文献AI研究员

20分钟写一篇综述,助力文献阅读效率提升50倍。

立即体验

用中文搜PubMed

大模型驱动的PubMed中文搜索引擎

马上搜索

文档翻译

学术文献翻译模型,支持多种主流文档格式。

立即体验