Suppr超能文献

完全可回收混凝土的生命周期评估

Life Cycle Assessment of Completely Recyclable Concrete.

作者信息

De Schepper Mieke, Van den Heede Philip, Van Driessche Isabel, De Belie Nele

机构信息

Magnel Laboratory for Concrete Research, Department of Structural Engineering, Ghent University Technologiepark-Zwijnaarde 904, B-9052 Gent, Belgium.

SCRiPTS, Department of Inorganic and Physical Chemistry, Ghent University, Krijgslaan 281-S3, B-9000 Gent, Belgium.

出版信息

Materials (Basel). 2014 Aug 21;7(8):6010-6027. doi: 10.3390/ma7086010.

Abstract

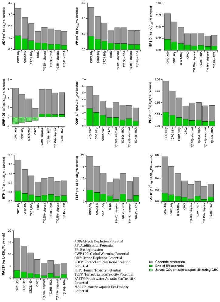
Since the construction sector uses 50% of the Earth's raw materials and produces 50% of its waste, the development of more durable and sustainable building materials is crucial. Today, Construction and Demolition Waste (CDW) is mainly used in low level applications, namely as unbound material for foundations, e.g., in road construction. Mineral demolition waste can be recycled as crushed aggregates for concrete, but these reduce the compressive strength and affect the workability due to higher values of water absorption. To advance the use of concrete rubble, Completely Recyclable Concrete (CRC) is designed for reincarnation within the cement production, following the Cradle-to-Cradle (C2C) principle. By the design, CRC becomes a resource for cement production because the chemical composition of CRC will be similar to that of cement raw materials. If CRC is used on a regular basis, a closed concrete-cement-concrete material cycle will arise, which is completely different from the current life cycle of traditional concrete. Within the research towards this CRC it is important to quantify the benefit for the environment and Life Cycle Assessment (LCA) needs to be performed, of which the results are presented in a this paper. It was observed that CRC could significantly reduce the global warming potential of concrete.

摘要

由于建筑行业消耗了地球上50%的原材料并产生了50%的废弃物,因此开发更耐用、更可持续的建筑材料至关重要。如今,建筑与拆除废弃物(CDW)主要用于低水平应用,即作为基础的松散材料,例如用于道路建设。矿物拆除废弃物可作为混凝土的碎骨料进行回收利用,但这些会降低抗压强度,并因吸水率较高而影响工作性能。为了推进混凝土碎块的利用,完全可回收混凝土(CRC)按照从摇篮到摇篮(C2C)原则设计,以便在水泥生产过程中实现再生。通过这种设计,CRC成为水泥生产的一种资源,因为CRC的化学成分将与水泥原材料的化学成分相似。如果经常使用CRC,将会形成一个封闭的混凝土-水泥-混凝土材料循环,这与传统混凝土目前的生命周期完全不同。在对这种CRC的研究中,量化其对环境的益处很重要,需要进行生命周期评估(LCA),本文给出了评估结果。研究发现,CRC可显著降低混凝土的全球变暖潜能值。

https://cdn.ncbi.nlm.nih.gov/pmc/blobs/d0ee/5456176/dd9641c498b4/materials-07-06010-g001.jpg

文献AI研究员

20分钟写一篇综述,助力文献阅读效率提升50倍。

立即体验

用中文搜PubMed

大模型驱动的PubMed中文搜索引擎

马上搜索

文档翻译

学术文献翻译模型,支持多种主流文档格式。

立即体验