Suppr超能文献

气象因素对中国北京细菌性痢疾发病率的影响:时间序列分析(1970 - 2012年)

Impact of meteorological factors on the incidence of bacillary dysentery in Beijing, China: A time series analysis (1970-2012).

作者信息

Yan Long, Wang Hong, Zhang Xuan, Li Ming-Yue, He Juan

机构信息

School of Preclinical Medicine, Beijing University of Chinese Medicine, Beijing, China.

Hong Kong Chinese Medicine Clinical Study Centre, School of Chinese Medicine, Hong Kong Baptist University, Hong Kong, China.

出版信息

PLoS One. 2017 Aug 10;12(8):e0182937. doi: 10.1371/journal.pone.0182937. eCollection 2017.

Abstract

OBJECTIVES

Influence of meteorological variables on the transmission of bacillary dysentery (BD) is under investigated topic and effective forecasting models as public health tool are lacking. This paper aimed to quantify the relationship between meteorological variables and BD cases in Beijing and to establish an effective forecasting model.

METHODS

A time series analysis was conducted in the Beijing area based upon monthly data on weather variables (i.e. temperature, rainfall, relative humidity, vapor pressure, and wind speed) and on the number of BD cases during the period 1970-2012. Autoregressive integrated moving average models with explanatory variables (ARIMAX) were built based on the data from 1970 to 2004. Prediction of monthly BD cases from 2005 to 2012 was made using the established models. The prediction accuracy was evaluated by the mean square error (MSE).

RESULTS

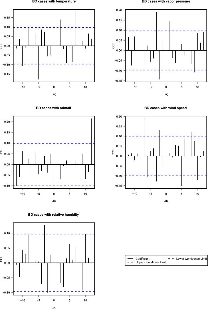
Firstly, temperature with 2-month and 7-month lags and rainfall with 12-month lag were found positively correlated with the number of BD cases in Beijing. Secondly, ARIMAX model with covariates of temperature with 7-month lag (β = 0.021, 95% confidence interval(CI): 0.004-0.038) and rainfall with 12-month lag (β = 0.023, 95% CI: 0.009-0.037) displayed the highest prediction accuracy.

CONCLUSIONS

The ARIMAX model developed in this study showed an accurate goodness of fit and precise prediction accuracy in the short term, which would be beneficial for government departments to take early public health measures to prevent and control possible BD popularity.

摘要

目的

气象变量对细菌性痢疾(BD)传播的影响是一个正在研究的课题,目前缺乏有效的预测模型作为公共卫生工具。本文旨在量化北京地区气象变量与BD病例之间的关系,并建立有效的预测模型。

方法

基于1970 - 2012年期间北京地区的气象变量(即温度、降雨量、相对湿度、水汽压和风速)月度数据以及BD病例数进行时间序列分析。基于1970年至2004年的数据建立了带解释变量的自回归积分移动平均模型(ARIMAX)。使用建立的模型对2005年至2012年的月度BD病例进行预测。通过均方误差(MSE)评估预测准确性。

结果

首先,发现滞后2个月和7个月的温度以及滞后12个月的降雨量与北京的BD病例数呈正相关。其次,具有滞后7个月温度(β = 0.021,95%置信区间(CI):0.004 - 0.038)和滞后12个月降雨量(β = 0.023,95% CI:0.009 - 0.037)作为协变量的ARIMAX模型显示出最高的预测准确性。

结论

本研究开发的ARIMAX模型在短期内显示出良好的拟合优度和精确的预测准确性,这将有利于政府部门采取早期公共卫生措施来预防和控制可能的BD流行。

https://cdn.ncbi.nlm.nih.gov/pmc/blobs/ce91/5552134/ff190415e5b6/pone.0182937.g001.jpg

文献检索

告别复杂PubMed语法,用中文像聊天一样搜索,搜遍4000万医学文献。AI智能推荐,让科研检索更轻松。

立即免费搜索

文件翻译

保留排版,准确专业,支持PDF/Word/PPT等文件格式,支持 12+语言互译。

免费翻译文档

深度研究

AI帮你快速写综述,25分钟生成高质量综述,智能提取关键信息,辅助科研写作。

立即免费体验