• 文献检索
  • 文档翻译
  • 深度研究
  • 学术资讯
  • Suppr Zotero 插件Zotero 插件
  • 邀请有礼
  • 套餐&价格
  • 历史记录
应用&插件
Suppr Zotero 插件Zotero 插件浏览器插件Mac 客户端Windows 客户端微信小程序
定价
高级版会员购买积分包购买API积分包
服务
文献检索文档翻译深度研究API 文档MCP 服务
关于我们
关于 Suppr公司介绍联系我们用户协议隐私条款
关注我们

Suppr 超能文献

核心技术专利:CN118964589B侵权必究
粤ICP备2023148730 号-1Suppr @ 2026

文献检索

告别复杂PubMed语法,用中文像聊天一样搜索,搜遍4000万医学文献。AI智能推荐,让科研检索更轻松。

立即免费搜索

文件翻译

保留排版,准确专业,支持PDF/Word/PPT等文件格式,支持 12+语言互译。

免费翻译文档

深度研究

AI帮你快速写综述,25分钟生成高质量综述,智能提取关键信息,辅助科研写作。

立即免费体验

语音复杂性影响儿童双音节词中普通话声调的发音准确性:一项感知研究。

Phonetic complexity affects children's Mandarin tone production accuracy in disyllabic words: A perceptual study.

作者信息

Wong Puisan, Strange Winifred

机构信息

Division of Speech and Hearing Sciences, Faculty of Education, The University of Hong Kong, Pokfulam, Hong Kong.

Ph.D. Program in Speech-Language-Hearing Sciences, The Graduate School and University Center of the City University of New York, New York, New York, United States of America.

出版信息

PLoS One. 2017 Aug 14;12(8):e0182337. doi: 10.1371/journal.pone.0182337. eCollection 2017.

DOI:10.1371/journal.pone.0182337
PMID:28806417
原文链接:https://pmc.ncbi.nlm.nih.gov/articles/PMC5555563/
Abstract

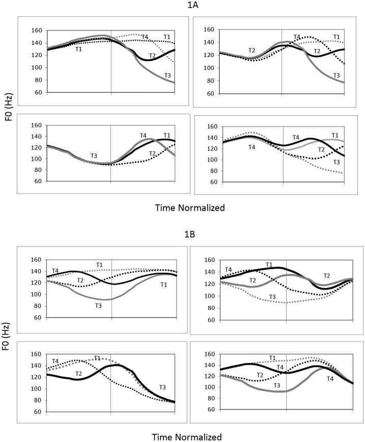
This is the first study to examine the effect of phonetic contexts on children's lexical tone production. Mandarin tones in disyllabic words produced by forty-four 2- to 6-year-old children and twelve mothers were low-pass filtered to eliminate lexical information. Native Mandarin-speaking adults categorized the tones based on the pitch information in the filtered stimuli. All mothers' tones were categorized with ceiling accuracy. Counter to the findings in most previous studies on children's tone acquisition and the prevailing assumption in models of speech development that children acquire suprasegmental features much earlier than segmental features, this study found that children as old as six years of age have not mastered the production of Mandarin tones. Children's tones were judged with significantly lower accuracy than mothers' productions. Tone accuracy improved, while cross subject variability in tone accuracy decreased, with age. Children's tone accuracy was affected by the articulatory complexity of phonetic contexts. Children made more errors in tone combinations with more complex fundamental frequency (F0) contours than tone sequences with simpler F0 changes. When producing disyllabic tone sequences with complex F0 contours, children tended to shift the F0 contour of the first tone to reduce the F0 change, resulting in more tone errors in the first syllable than in the second syllable and showing substantially more anticipatory coarticulation than adults. The results provide further evidence that acquisition of lexical tones is a protracted process in children. Tones produced accurately by children in one phonetic context may not be produced correctly in another phonetic context. Children demonstrate more anticipatory coarticulation in their disyllabic productions than adults, which may be attributed to children's immature speech motor control in tone production, and is presumably a by-product of their inability to accomplish complex F0 changes within the syllable time-frame.

摘要

这是第一项研究语音语境对儿童词汇声调产出影响的研究。对44名2至6岁儿童和12名母亲说出的双音节词中的普通话声调进行低通滤波,以消除词汇信息。以普通话为母语的成年人根据滤波后刺激中的音高信息对声调进行分类。所有母亲的声调分类准确率均达到上限。与以往大多数关于儿童声调习得的研究结果以及语音发展模型中普遍认为儿童比音段特征更早习得超音段特征的假设相反,本研究发现,6岁的儿童尚未掌握普通话声调的产出。儿童声调的分类准确率显著低于母亲的产出。声调准确率随着年龄的增长而提高,同时声调准确率的个体间差异减小。儿童的声调准确率受语音语境发音复杂性的影响。与具有较简单基频(F0)变化的声调序列相比,儿童在具有更复杂F0轮廓的声调组合中犯的错误更多。在产出具有复杂F0轮廓的双音节声调序列时,儿童倾向于改变第一个声调的F0轮廓以减少F0变化,导致第一个音节的声调错误比第二个音节更多,并且比成年人表现出更多的预期协同发音。这些结果进一步证明,儿童习得词汇声调是一个漫长的过程。儿童在一种语音语境中准确产出的声调,在另一种语音语境中可能无法正确产出。儿童在双音节产出中比成年人表现出更多的预期协同发音,这可能归因于儿童在声调产出中不成熟的言语运动控制,大概是他们无法在音节时间框架内完成复杂F0变化的副产品。

https://cdn.ncbi.nlm.nih.gov/pmc/blobs/936e/5555563/8c3e42937da7/pone.0182337.g004.jpg
https://cdn.ncbi.nlm.nih.gov/pmc/blobs/936e/5555563/3b094c13bebf/pone.0182337.g001.jpg
https://cdn.ncbi.nlm.nih.gov/pmc/blobs/936e/5555563/7f1e6960a700/pone.0182337.g002.jpg
https://cdn.ncbi.nlm.nih.gov/pmc/blobs/936e/5555563/1ea0f21ba0e6/pone.0182337.g003.jpg
https://cdn.ncbi.nlm.nih.gov/pmc/blobs/936e/5555563/8c3e42937da7/pone.0182337.g004.jpg
https://cdn.ncbi.nlm.nih.gov/pmc/blobs/936e/5555563/3b094c13bebf/pone.0182337.g001.jpg
https://cdn.ncbi.nlm.nih.gov/pmc/blobs/936e/5555563/7f1e6960a700/pone.0182337.g002.jpg
https://cdn.ncbi.nlm.nih.gov/pmc/blobs/936e/5555563/1ea0f21ba0e6/pone.0182337.g003.jpg
https://cdn.ncbi.nlm.nih.gov/pmc/blobs/936e/5555563/8c3e42937da7/pone.0182337.g004.jpg

相似文献

1
Phonetic complexity affects children's Mandarin tone production accuracy in disyllabic words: A perceptual study.语音复杂性影响儿童双音节词中普通话声调的发音准确性:一项感知研究。
PLoS One. 2017 Aug 14;12(8):e0182337. doi: 10.1371/journal.pone.0182337. eCollection 2017.
2
Suprasegmental Features Are Not Acquired Early: Perception and Production of Monosyllabic Cantonese Lexical Tones in 4- to 6-Year-Old Preschool Children.超音段特征并非早期习得:4至6岁学龄前儿童对单音节粤语词汇声调的感知与产出
J Speech Lang Hear Res. 2018 May 17;61(5):1070-1085. doi: 10.1044/2018_JSLHR-S-17-0288.
3
Perceptual evidence for protracted development in monosyllabic Mandarin lexical tone production in preschool children in Taiwan.台湾学龄前儿童单音节普通话词汇声调产生中感知到的发展延长证据。
J Acoust Soc Am. 2013 Jan;133(1):434-43. doi: 10.1121/1.4768883.
4
Perception and production of lexical tones by 3-year-old, Mandarin-speaking children.三岁说普通话儿童对声调的感知与产出
J Speech Lang Hear Res. 2005 Oct;48(5):1065-79. doi: 10.1044/1092-4388(2005/074).
5
Mothers do not enhance tonal contrasts in child-directed speech: Perceptual and acoustic evidence from child-directed Mandarin lexical tones.母亲不会增强儿童导向言语中的音调对比:来自儿童导向普通话词汇音调的感知和声学证据。
J Acoust Soc Am. 2018 May;143(5):3169. doi: 10.1121/1.5037092.
6
Monosyllabic Mandarin tone productions by 3-year-olds growing up in Taiwan and in the United States: interjudge reliability and perceptual results.台湾和美国 3 岁儿童单音节普通话发音:评判间可靠性和感知研究结果。
J Speech Lang Hear Res. 2012 Oct;55(5):1423-37. doi: 10.1044/1092-4388(2012/11-0273). Epub 2012 Feb 21.
7
Successful lexical tone production of Mandarin Chinese autistic children with intellectual impairment.智力障碍自闭症儿童成功地发出汉语普通话的声调。
Int J Lang Commun Disord. 2023 Nov-Dec;58(6):1912-1926. doi: 10.1111/1460-6984.12881. Epub 2023 May 4.
8
Cues for lexical tone perception in children: acoustic correlates and phonetic context effects.儿童词汇声调感知的线索:声学关联与语音语境效应。
J Speech Lang Hear Res. 2014 Oct;57(5):1589-605. doi: 10.1044/2014_JSLHR-S-13-0145.
9
Lexical Tones in Mandarin Chinese Infant-Directed Speech: Age-Related Changes in the Second Year of Life.汉语普通话中对婴儿说话的语调:生命第二年中与年龄相关的变化
Front Psychol. 2018 Apr 4;9:434. doi: 10.3389/fpsyg.2018.00434. eCollection 2018.
10
Revisiting the nature and the context of T4 alternations: insights from disyllabic, trisyllabic and quadrisyllabic word/digit productions in Taiwan Mandarin.重新审视 T4 交替的本质和语境:来自台湾普通话双音节、三音节和四音节词/数字产生的启示。
Phonetica. 2024 May 13;81(4):381-419. doi: 10.1515/phon-2023-0019. Print 2024 Aug 27.

引用本文的文献

1
Focus-marking in a tonal language: Prosodic differences between Cantonese-speaking children with and without autism spectrum disorder.重音标记在声调语言中:有和没有自闭症谱系障碍的粤语儿童之间的韵律差异。
PLoS One. 2024 Jul 19;19(7):e0306272. doi: 10.1371/journal.pone.0306272. eCollection 2024.
2
Motor constellation theory: A model of infants' phonological development.运动星座理论:婴儿语音发展模型。
Front Psychol. 2022 Nov 3;13:996894. doi: 10.3389/fpsyg.2022.996894. eCollection 2022.
3
Musicality and Age Interaction in Tone Development.

本文引用的文献

1
Cantonese-Speaking Children Do Not Acquire Tone Perception before Tone Production-A Perceptual and Acoustic Study of Three-Year-Olds' Monosyllabic Tones.说粤语的儿童在能够发出声调之前并未获得声调感知——一项针对三岁儿童单音节声调的感知与声学研究。
Front Psychol. 2017 Aug 29;8:1450. doi: 10.3389/fpsyg.2017.01450. eCollection 2017.
2
A New View of Language Development: The Acquisition of Lexical Tone.语言发展的新视角:词汇声调的习得。
Child Dev. 2016 May;87(3):834-54. doi: 10.1111/cdev.12512. Epub 2016 Mar 23.
3
Context effects on second-language learning of tonal contrasts.
语调发展中的音乐性与年龄交互作用
Front Neurosci. 2022 Feb 21;16:804042. doi: 10.3389/fnins.2022.804042. eCollection 2022.
4
The Relative Weight of Temporal Envelope Cues in Different Frequency Regions for Mandarin Disyllabic Word Recognition.汉语双音节词识别中不同频率区域时间包络线索的相对权重
Front Neurosci. 2021 Jul 15;15:670192. doi: 10.3389/fnins.2021.670192. eCollection 2021.
5
Five-Year-olds' Acoustic Realization of Mandarin Tone Sandhi and Lexical Tones in Context Are Not Yet Fully Adult-Like.五岁儿童在语境中对汉语声调变调及词汇声调的声学实现尚未完全达到成人水平。
Front Psychol. 2018 May 28;9:817. doi: 10.3389/fpsyg.2018.00817. eCollection 2018.
6
Nonword repetition stimuli for Vietnamese-speaking children.越南语儿童的无词复述刺激物。
Behav Res Methods. 2018 Aug;50(4):1311-1326. doi: 10.3758/s13428-018-1049-0.
7
Cantonese-Speaking Children Do Not Acquire Tone Perception before Tone Production-A Perceptual and Acoustic Study of Three-Year-Olds' Monosyllabic Tones.说粤语的儿童在能够发出声调之前并未获得声调感知——一项针对三岁儿童单音节声调的感知与声学研究。
Front Psychol. 2017 Aug 29;8:1450. doi: 10.3389/fpsyg.2017.01450. eCollection 2017.
J Acoust Soc Am. 2015 Dec;138(6):3703-16. doi: 10.1121/1.4937612.
4
Organizing syllables into groups - Evidence from F and duration patterns in Mandarin.将音节分组——来自汉语中F和时长模式的证据。
J Phon. 2009 Oct;37(4):502-520. doi: 10.1016/j.wocn.2009.08.003.
5
Perceptual evidence for protracted development in monosyllabic Mandarin lexical tone production in preschool children in Taiwan.台湾学龄前儿童单音节普通话词汇声调产生中感知到的发展延长证据。
J Acoust Soc Am. 2013 Jan;133(1):434-43. doi: 10.1121/1.4768883.
6
Earlier speech exposure does not accelerate speech acquisition.早期的言语接触并不会加速言语习得。
J Neurosci. 2012 Aug 15;32(33):11159-63. doi: 10.1523/JNEUROSCI.6516-11.2012.
7
Monosyllabic Mandarin tone productions by 3-year-olds growing up in Taiwan and in the United States: interjudge reliability and perceptual results.台湾和美国 3 岁儿童单音节普通话发音:评判间可靠性和感知研究结果。
J Speech Lang Hear Res. 2012 Oct;55(5):1423-37. doi: 10.1044/1092-4388(2012/11-0273). Epub 2012 Feb 21.
8
Coarticulation as an indicator of speech motor control development in children: an ultrasound study.协同发音作为儿童言语运动控制发展的指标:一项超声研究。
Motor Control. 2011 Jan;15(1):118-40. doi: 10.1123/mcj.15.1.118.
9
Coarticulation in fricative-vowel syllables produced by children and adults: a preliminary report.
Clin Linguist Phon. 2001;15(1-2):139-43. doi: 10.3109/02699200109167646.
10
The breadth of coarticulatory units in children and adults.儿童和成人协同发音单元的广度。
J Speech Lang Hear Res. 2008 Dec;51(6):1424-37. doi: 10.1044/1092-4388(2008/07-0020). Epub 2008 Jul 29.