• 文献检索
  • 文档翻译
  • 深度研究
  • 学术资讯
  • Suppr Zotero 插件Zotero 插件
  • 邀请有礼
  • 套餐&价格
  • 历史记录
应用&插件
Suppr Zotero 插件Zotero 插件浏览器插件Mac 客户端Windows 客户端微信小程序
定价
高级版会员购买积分包购买API积分包
服务
文献检索文档翻译深度研究API 文档MCP 服务
关于我们
关于 Suppr公司介绍联系我们用户协议隐私条款
关注我们

Suppr 超能文献

核心技术专利:CN118964589B侵权必究
粤ICP备2023148730 号-1Suppr @ 2026

文献检索

告别复杂PubMed语法,用中文像聊天一样搜索,搜遍4000万医学文献。AI智能推荐,让科研检索更轻松。

立即免费搜索

文件翻译

保留排版,准确专业,支持PDF/Word/PPT等文件格式,支持 12+语言互译。

免费翻译文档

深度研究

AI帮你快速写综述,25分钟生成高质量综述,智能提取关键信息,辅助科研写作。

立即免费体验

长期住院的重症精神疾病患者的身体活动与生活质量:一项横断面研究。

Physical activity and quality of life in long-term hospitalized patients with severe mental illness: a cross-sectional study.

作者信息

Deenik Jeroen, Kruisdijk Frank, Tenback Diederik, Braakman-Jansen Annemarie, Taal Erik, Hopman-Rock Marijke, Beekman Aartjan, Tak Erwin, Hendriksen Ingrid, van Harten Peter

机构信息

GGz Centraal, Utrechtseweg 266, 3818 EW, Amersfoort, The Netherlands.

Faculty of Behavioural, Management and Social sciences, University of Twente, Drienerlolaan 5, 7522 NB, Enschede, The Netherlands.

出版信息

BMC Psychiatry. 2017 Aug 18;17(1):298. doi: 10.1186/s12888-017-1466-0.

DOI:10.1186/s12888-017-1466-0
PMID:28821287
原文链接:https://pmc.ncbi.nlm.nih.gov/articles/PMC5562976/
Abstract

BACKGROUND

Increasing physical activity in patients with severe mental illness is believed to have positive effects on physical health, psychiatric symptoms and as well quality of life. Till now, little is known about the relationship between physical activity and quality of life in long-term hospitalized patients with severe mental illness and knowledge of the determinants of behavioural change is lacking. The purpose of this study was to elucidate the relationship between objectively measured physical activity and quality of life, and explore modifiable psychological determinants of change in physical activity in long-term hospitalized patients with severe mental illness.

METHODS

In 184 inpatients, physical activity was measured using an accelerometer (ActiGraph GTX+). Quality of life was assessed by EuroQol-5D and WHOQol-Bref. Attitude and perceived self-efficacy towards physical activity were collected using the Physical Activity Enjoyment Scale and the Multidimensional Self Efficacy Questionnaire, respectively. Patient and disease characteristics were derived retrospectively from electronic patient records. Associations and potential predictors were analysed using hierarchical regression.

RESULTS

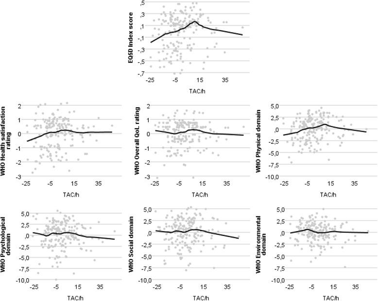
Physical activity was positively related with and a predictor of all quality of life outcomes except on the environmental domain, independent of patient and disease characteristics. However, non-linear relationships showed that most improvement in quality of life lies in the change from sedentary to light activity. Attitude and self-efficacy were not related to physical activity.

CONCLUSIONS

Physical activity is positively associated with quality of life, especially for patients in the lower spectrum of physical activity. An association between attitude and self-efficacy and physical activity was absent. Therefore, results suggest the need of alternative, more integrated and (peer-)supported interventions to structurally improve physical activity in this inpatient population. Slight changes from sedentary behaviour to physical activity may be enough to improve quality of life.

摘要

背景

人们认为,增加重症精神疾病患者的身体活动对其身体健康、精神症状以及生活质量都有积极影响。到目前为止,对于长期住院的重症精神疾病患者的身体活动与生活质量之间的关系了解甚少,且缺乏对行为改变决定因素的认识。本研究的目的是阐明客观测量的身体活动与生活质量之间的关系,并探索长期住院的重症精神疾病患者身体活动变化的可改变心理决定因素。

方法

对184名住院患者,使用加速度计(ActiGraph GTX+)测量身体活动。采用欧洲五维健康量表(EuroQol-5D)和世界卫生组织生活质量简表(WHOQol-Bref)评估生活质量。分别使用身体活动愉悦感量表和多维自我效能量表收集对身体活动的态度和感知自我效能。患者和疾病特征通过回顾电子病历获得。使用分层回归分析关联和潜在预测因素。

结果

身体活动与除环境领域外的所有生活质量结果呈正相关且是其预测因素,独立于患者和疾病特征。然而,非线性关系表明,生活质量的最大改善在于从久坐不动到轻度活动的转变。态度和自我效能与身体活动无关。

结论

身体活动与生活质量呈正相关,尤其是对于身体活动水平较低的患者。态度和自我效能与身体活动之间不存在关联。因此,结果表明需要替代性的、更综合且(同伴)支持的干预措施,以结构性地改善该住院人群的身体活动。从久坐行为到身体活动的轻微改变可能足以改善生活质量。

https://cdn.ncbi.nlm.nih.gov/pmc/blobs/650f/5562976/cc5ef7da32c6/12888_2017_1466_Fig2_HTML.jpg
https://cdn.ncbi.nlm.nih.gov/pmc/blobs/650f/5562976/3db6414fd46e/12888_2017_1466_Fig1_HTML.jpg
https://cdn.ncbi.nlm.nih.gov/pmc/blobs/650f/5562976/cc5ef7da32c6/12888_2017_1466_Fig2_HTML.jpg
https://cdn.ncbi.nlm.nih.gov/pmc/blobs/650f/5562976/3db6414fd46e/12888_2017_1466_Fig1_HTML.jpg
https://cdn.ncbi.nlm.nih.gov/pmc/blobs/650f/5562976/cc5ef7da32c6/12888_2017_1466_Fig2_HTML.jpg

相似文献

1
Physical activity and quality of life in long-term hospitalized patients with severe mental illness: a cross-sectional study.长期住院的重症精神疾病患者的身体活动与生活质量:一项横断面研究。
BMC Psychiatry. 2017 Aug 18;17(1):298. doi: 10.1186/s12888-017-1466-0.
2
Accelerometer-measured sedentary behaviour and physical activity of inpatients with severe mental illness.使用加速度计测量严重精神疾病住院患者的久坐行为和身体活动。
Psychiatry Res. 2017 Aug;254:67-74. doi: 10.1016/j.psychres.2017.04.035. Epub 2017 Apr 22.
3
[The impact of mental disorders on quality of life perceived by patients discharged from a security psychiatric hospital].[精神障碍对从安全精神病医院出院患者所感知生活质量的影响]
Encephale. 2007 Dec;33(6):892-901. doi: 10.1016/j.encep.2006.12.003. Epub 2007 Sep 5.
4
Physical activity attitudes and preferences among inpatient adults with mental illness.成年住院精神疾病患者的身体活动态度与偏好
Int J Ment Health Nurs. 2015 Oct;24(5):413-20. doi: 10.1111/inm.12158.
5
Mental Health Nurses' Attitudes and Perceived Self-Efficacy Toward Inpatient Aggression: A Cross-Sectional Study of Associations With Nurse-Related Characteristics.精神科护士对住院患者攻击行为的态度及自我效能感认知:一项与护士相关特征关联的横断面研究
Perspect Psychiatr Care. 2016 Jan;52(1):12-24. doi: 10.1111/ppc.12097. Epub 2014 Dec 15.
6
Physical Functioning, Physical Activity, Exercise Self-Efficacy, and Quality of Life Among Individuals With Chronic Heart Failure in Korea: A Cross-Sectional Descriptive Study.韩国慢性心力衰竭患者的身体功能、身体活动、运动自我效能和生活质量:一项横断面描述性研究
J Nurs Res. 2017 Apr;25(2):131-139. doi: 10.1097/JNR.0000000000000150.
7
Motivational factors associated with physical activity and quality of life in people with severe mental illness.重度精神疾病患者身体活动与生活质量的相关动机因素。
Scand J Caring Sci. 2017 Dec;31(4):914-921. doi: 10.1111/scs.12413. Epub 2016 Dec 2.
8
Exploring the relationship between physical activity, life goals and health-related quality of life among high school students: a cross-sectional study.探索高中生身体活动、生活目标与健康相关生活质量之间的关系:一项横断面研究。
BMC Public Health. 2016 Aug 3;15:709. doi: 10.1186/s12889-016-3407-0.
9
Health benefits of a physical exercise program for inpatients with mental health; a pilot study.心理健康住院患者身体锻炼计划的健康益处:一项试点研究。
J Psychiatr Res. 2019 Jun;113:10-16. doi: 10.1016/j.jpsychires.2019.03.002. Epub 2019 Mar 8.
10
Association of lifestyle-related factors and psychological factors on quality of life in people with schizophrenia.生活方式相关因素和心理因素与精神分裂症患者生活质量的关系。
Psychiatry Res. 2018 Sep;267:382-393. doi: 10.1016/j.psychres.2018.06.022. Epub 2018 Jun 18.

引用本文的文献

1
Virtual cycling as an exercise intervention in forensic psychiatry: A qualitative study.虚拟骑行作为法医精神病学中的一种运动干预:一项定性研究。
Digit Health. 2025 Jun 19;11:20552076251349629. doi: 10.1177/20552076251349629. eCollection 2025 Jan-Dec.
2
Same but Different? Exploring the Role of Patient-Reported Outcome Measures and Clinician-Reported Outcome Measures in Postoperative Knee and Hip Arthroplasty Rehabilitation.相同却又不同?探索患者报告结局指标和临床医生报告结局指标在膝关节和髋关节置换术后康复中的作用
J Clin Med. 2025 Mar 28;14(7):2322. doi: 10.3390/jcm14072322.
3
Psychometric properties of the Chinese version of the SF-36v2 in patients with severe mental illnesses in China: factor structure, reliability, and validity.

本文引用的文献

1
Accelerometer-measured sedentary behaviour and physical activity of inpatients with severe mental illness.使用加速度计测量严重精神疾病住院患者的久坐行为和身体活动。
Psychiatry Res. 2017 Aug;254:67-74. doi: 10.1016/j.psychres.2017.04.035. Epub 2017 Apr 22.
2
Relationship Between Objectively Measured Sedentary Behavior and Cognitive Performance in Patients With Schizophrenia Vs Controls.精神分裂症患者与对照组中客观测量的久坐行为与认知表现之间的关系
Schizophr Bull. 2017 May 1;43(3):566-574. doi: 10.1093/schbul/sbw126.
3
Association between actigraphy-derived physical activity and cognitive performance in patients with schizophrenia.
中文版SF-36v2在中国重性精神疾病患者中的心理测量学特性:因子结构、信度和效度
Health Qual Life Outcomes. 2025 Mar 6;23(1):20. doi: 10.1186/s12955-025-02350-6.
4
A systematic review of passive data for remote monitoring in psychosis and schizophrenia.对用于精神病和精神分裂症远程监测的被动数据的系统评价。
NPJ Digit Med. 2025 Jan 27;8(1):62. doi: 10.1038/s41746-025-01451-2.
5
Physical activity in adult users of inpatient mental health services: A scoping review.住院精神健康服务成年使用者的身体活动:范围综述。
PLoS One. 2024 Aug 19;19(8):e0301857. doi: 10.1371/journal.pone.0301857. eCollection 2024.
6
A Network Model of Health-Related Changes after a Lifestyle-Enhancing Treatment in Patients with Severe Mental Illness: the MULTI Study VI.重度精神疾病患者强化生活方式治疗后健康相关变化的网络模型:MULTI研究VI。
Int J Clin Health Psychol. 2024 Jan-Mar;24(1):100436. doi: 10.1016/j.ijchp.2024.100436. Epub 2024 Jan 9.
7
A Mobile Self-control Training App to Improve Self-control and Physical Activity in People With Severe Mental Illness: Protocol for 2 Single-Case Experimental Designs.一款用于改善重度精神疾病患者自我控制能力和身体活动水平的移动自我控制训练应用程序:两项单病例实验设计方案
JMIR Res Protoc. 2023 May 5;12:e37727. doi: 10.2196/37727.
8
Evaluating the implementation of a multidisciplinary lifestyle intervention for people with severe mental illness in sheltered housing: effectiveness-implementation hybrid randomised controlled trial.评估为庇护性住房中的严重精神疾病患者实施多学科生活方式干预措施:有效性-实施混合随机对照试验
BJPsych Open. 2022 Nov 22;8(6):e201. doi: 10.1192/bjo.2022.600.
9
Association between Locomotive Syndrome and Physical Activity in Long-Term Inpatients of Psychiatric Care Wards in Japan: A Preliminary Study.日本精神科护理病房长期住院患者中机车综合征与身体活动的关联:一项初步研究
Healthcare (Basel). 2022 Sep 11;10(9):1741. doi: 10.3390/healthcare10091741.
10
Measuring functional outcomes in schizophrenia in an increasingly digital world.在日益数字化的世界中测量精神分裂症的功能结局。
Schizophr Res Cogn. 2022 Apr 7;29:100248. doi: 10.1016/j.scog.2022.100248. eCollection 2022 Sep.
精神分裂症患者活动记录仪监测的身体活动与认知表现之间的关联
Psychol Med. 2016 Aug;46(11):2375-84. doi: 10.1017/S0033291716000921. Epub 2016 Jun 10.
4
Motivation for physical activity and exercise in severe mental illness: A systematic review of intervention studies.动机的体力活动和运动在严重的精神疾病:系统回顾的干预研究。
Int J Ment Health Nurs. 2016 Jun;25(3):194-205. doi: 10.1111/inm.12214. Epub 2016 Feb 25.
5
How sedentary are people with psychosis? A systematic review and meta-analysis.患有精神病的人有多久坐不动?一项系统综述和荟萃分析。
Schizophr Res. 2016 Mar;171(1-3):103-9. doi: 10.1016/j.schres.2016.01.034. Epub 2016 Jan 21.
6
Exercise Improves Clinical Symptoms, Quality of Life, Global Functioning, and Depression in Schizophrenia: A Systematic Review and Meta-analysis.运动改善精神分裂症的临床症状、生活质量、整体功能及抑郁:一项系统评价与荟萃分析
Schizophr Bull. 2016 May;42(3):588-99. doi: 10.1093/schbul/sbv164. Epub 2015 Nov 7.
7
GT3X+ accelerometer placement affects the reliability of step-counts measured during running and pedal-revolution counts measured during bicycling.GT3X+加速度计的放置会影响跑步时步数测量以及骑行时踏板转数测量的可靠性。
J Sports Sci. 2016;34(12):1168-75. doi: 10.1080/02640414.2015.1096018. Epub 2015 Oct 21.
8
Risk of metabolic syndrome and its components in people with schizophrenia and related psychotic disorders, bipolar disorder and major depressive disorder: a systematic review and meta-analysis.精神分裂症及相关精神病性障碍、双相情感障碍和重性抑郁障碍患者发生代谢综合征及其组分的风险:系统评价和荟萃分析。
World Psychiatry. 2015 Oct;14(3):339-47. doi: 10.1002/wps.20252.
9
A systematic review of the benefits of physical therapy within a multidisciplinary care approach for people with schizophrenia: An update.一项系统评价,探讨了在精神分裂症患者的多学科护理方法中加入物理治疗的益处:更新。
Psychiatry Res. 2015 Oct 30;229(3):828-39. doi: 10.1016/j.psychres.2015.07.083. Epub 2015 Jul 31.
10
Health-related quality of life and aerobic fitness in people with schizophrenia.精神分裂症患者的健康相关生活质量与有氧适能
Int J Ment Health Nurs. 2015 Oct;24(5):394-402. doi: 10.1111/inm.12145. Epub 2015 Jul 28.