• 文献检索
  • 文档翻译
  • 深度研究
  • 学术资讯
  • Suppr Zotero 插件Zotero 插件
  • 邀请有礼
  • 套餐&价格
  • 历史记录
应用&插件
Suppr Zotero 插件Zotero 插件浏览器插件Mac 客户端Windows 客户端微信小程序
定价
高级版会员购买积分包购买API积分包
服务
文献检索文档翻译深度研究API 文档MCP 服务
关于我们
关于 Suppr公司介绍联系我们用户协议隐私条款
关注我们

Suppr 超能文献

核心技术专利:CN118964589B侵权必究
粤ICP备2023148730 号-1Suppr @ 2026

文献检索

告别复杂PubMed语法,用中文像聊天一样搜索,搜遍4000万医学文献。AI智能推荐,让科研检索更轻松。

立即免费搜索

文件翻译

保留排版,准确专业,支持PDF/Word/PPT等文件格式,支持 12+语言互译。

免费翻译文档

深度研究

AI帮你快速写综述,25分钟生成高质量综述,智能提取关键信息,辅助科研写作。

立即免费体验

全球食源性疾病归因于特定食物:世界卫生组织结构化专家征询结果

Attribution of global foodborne disease to specific foods: Findings from a World Health Organization structured expert elicitation.

作者信息

Hoffmann Sandra, Devleesschauwer Brecht, Aspinall Willy, Cooke Roger, Corrigan Tim, Havelaar Arie, Angulo Frederick, Gibb Herman, Kirk Martyn, Lake Robin, Speybroeck Niko, Torgerson Paul, Hald Tine

机构信息

U.S. Dept. of Agriculture, Economic Research Service, Washington D.C., United States of America.

Department of Public Health and Surveillance, Scientific Institute of Public Health (WIV-ISP), Brussels, Belgium.

出版信息

PLoS One. 2017 Sep 14;12(9):e0183641. doi: 10.1371/journal.pone.0183641. eCollection 2017.

DOI:10.1371/journal.pone.0183641
PMID:28910293
原文链接:https://pmc.ncbi.nlm.nih.gov/articles/PMC5598938/
Abstract

BACKGROUND

Recently the World Health Organization, Foodborne Disease Burden Epidemiology Reference Group (FERG) estimated that 31 foodborne diseases (FBDs) resulted in over 600 million illnesses and 420,000 deaths worldwide in 2010. Knowing the relative role importance of different foods as exposure routes for key hazards is critical to preventing illness. This study reports the findings of a structured expert elicitation providing globally comparable food source attribution estimates for 11 major FBDs in each of 14 world subregions.

METHODS AND FINDINGS

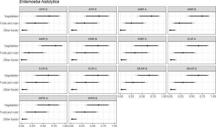
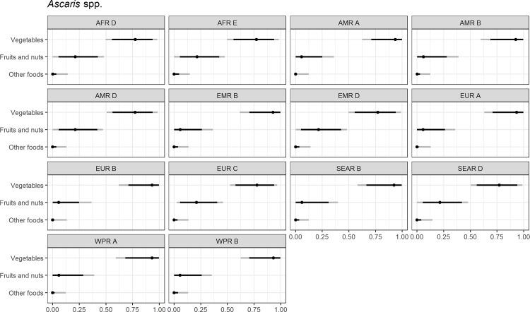
We used Cooke's Classical Model to elicit and aggregate judgments of 73 international experts. Judgments were elicited from each expert individually and aggregated using both equal and performance weights. Performance weighted results are reported as they increased the informativeness of estimates, while retaining accuracy. We report measures of central tendency and uncertainty bounds on food source attribution estimate. For some pathogens we see relatively consistent food source attribution estimates across subregions of the world; for others there is substantial regional variation. For example, for non-typhoidal salmonellosis, pork was of minor importance compared to eggs and poultry meat in the American and African subregions, whereas in the European and Western Pacific subregions the importance of these three food sources were quite similar. Our regional results broadly agree with estimates from earlier European and North American food source attribution research. As in prior food source attribution research, we find relatively wide uncertainty bounds around our median estimates.

CONCLUSIONS

We present the first worldwide estimates of the proportion of specific foodborne diseases attributable to specific food exposure routes. While we find substantial uncertainty around central tendency estimates, we believe these estimates provide the best currently available basis on which to link FBDs and specific foods in many parts of the world, providing guidance for policy actions to control FBDs.

摘要

背景

最近,世界卫生组织食源性疾病负担流行病学参考小组(FERG)估计,2010年全球31种食源性疾病导致超过6亿人患病,42万人死亡。了解不同食物作为关键危害暴露途径的相对重要作用对于预防疾病至关重要。本研究报告了一项结构化专家咨询的结果,该咨询为世界14个次区域中的每一个区域的11种主要食源性疾病提供了全球可比的食物源归因估计。

方法与结果

我们使用库克经典模型来引出并汇总73位国际专家的判断。从每位专家单独获取判断,并使用相等权重和绩效权重进行汇总。报告绩效加权结果是因为它们提高了估计的信息量,同时保持了准确性。我们报告食物源归因估计的集中趋势度量和不确定性界限。对于某些病原体,我们看到全球各次区域的食物源归因估计相对一致;对于其他病原体,则存在很大的区域差异。例如,对于非伤寒沙门氏菌病,在美国和非洲次区域,猪肉与鸡蛋和禽肉相比重要性较低,而在欧洲和西太平洋次区域,这三种食物来源的重要性相当相似。我们的区域结果与早期欧洲和北美食物源归因研究的估计大致一致。与先前的食物源归因研究一样,我们发现中位数估计周围存在相对较宽的不确定性界限。

结论

我们首次给出了全球范围内特定食源性疾病归因于特定食物暴露途径的比例估计。虽然我们发现集中趋势估计周围存在很大的不确定性,但我们认为这些估计为世界许多地区将食源性疾病与特定食物联系起来提供了目前最好的基础,为控制食源性疾病的政策行动提供了指导。

https://cdn.ncbi.nlm.nih.gov/pmc/blobs/1b73/5598938/1c6f6d07b73e/pone.0183641.g014.jpg
https://cdn.ncbi.nlm.nih.gov/pmc/blobs/1b73/5598938/b8aaaa8ad457/pone.0183641.g001.jpg
https://cdn.ncbi.nlm.nih.gov/pmc/blobs/1b73/5598938/98647c1f4c9a/pone.0183641.g002.jpg
https://cdn.ncbi.nlm.nih.gov/pmc/blobs/1b73/5598938/30a83f9f3966/pone.0183641.g003.jpg
https://cdn.ncbi.nlm.nih.gov/pmc/blobs/1b73/5598938/243b8eb4d059/pone.0183641.g004.jpg
https://cdn.ncbi.nlm.nih.gov/pmc/blobs/1b73/5598938/f6b4c87555a8/pone.0183641.g005.jpg
https://cdn.ncbi.nlm.nih.gov/pmc/blobs/1b73/5598938/80adf1330897/pone.0183641.g006.jpg
https://cdn.ncbi.nlm.nih.gov/pmc/blobs/1b73/5598938/898e49e8986e/pone.0183641.g007.jpg
https://cdn.ncbi.nlm.nih.gov/pmc/blobs/1b73/5598938/3c10ad543851/pone.0183641.g008.jpg
https://cdn.ncbi.nlm.nih.gov/pmc/blobs/1b73/5598938/b0395957b1a2/pone.0183641.g009.jpg
https://cdn.ncbi.nlm.nih.gov/pmc/blobs/1b73/5598938/687f34d8c037/pone.0183641.g010.jpg
https://cdn.ncbi.nlm.nih.gov/pmc/blobs/1b73/5598938/3cbf6e22c19b/pone.0183641.g011.jpg
https://cdn.ncbi.nlm.nih.gov/pmc/blobs/1b73/5598938/aa9daff61c0e/pone.0183641.g012.jpg
https://cdn.ncbi.nlm.nih.gov/pmc/blobs/1b73/5598938/255697497d03/pone.0183641.g013.jpg
https://cdn.ncbi.nlm.nih.gov/pmc/blobs/1b73/5598938/1c6f6d07b73e/pone.0183641.g014.jpg
https://cdn.ncbi.nlm.nih.gov/pmc/blobs/1b73/5598938/b8aaaa8ad457/pone.0183641.g001.jpg
https://cdn.ncbi.nlm.nih.gov/pmc/blobs/1b73/5598938/98647c1f4c9a/pone.0183641.g002.jpg
https://cdn.ncbi.nlm.nih.gov/pmc/blobs/1b73/5598938/30a83f9f3966/pone.0183641.g003.jpg
https://cdn.ncbi.nlm.nih.gov/pmc/blobs/1b73/5598938/243b8eb4d059/pone.0183641.g004.jpg
https://cdn.ncbi.nlm.nih.gov/pmc/blobs/1b73/5598938/f6b4c87555a8/pone.0183641.g005.jpg
https://cdn.ncbi.nlm.nih.gov/pmc/blobs/1b73/5598938/80adf1330897/pone.0183641.g006.jpg
https://cdn.ncbi.nlm.nih.gov/pmc/blobs/1b73/5598938/898e49e8986e/pone.0183641.g007.jpg
https://cdn.ncbi.nlm.nih.gov/pmc/blobs/1b73/5598938/3c10ad543851/pone.0183641.g008.jpg
https://cdn.ncbi.nlm.nih.gov/pmc/blobs/1b73/5598938/b0395957b1a2/pone.0183641.g009.jpg
https://cdn.ncbi.nlm.nih.gov/pmc/blobs/1b73/5598938/687f34d8c037/pone.0183641.g010.jpg
https://cdn.ncbi.nlm.nih.gov/pmc/blobs/1b73/5598938/3cbf6e22c19b/pone.0183641.g011.jpg
https://cdn.ncbi.nlm.nih.gov/pmc/blobs/1b73/5598938/aa9daff61c0e/pone.0183641.g012.jpg
https://cdn.ncbi.nlm.nih.gov/pmc/blobs/1b73/5598938/255697497d03/pone.0183641.g013.jpg
https://cdn.ncbi.nlm.nih.gov/pmc/blobs/1b73/5598938/1c6f6d07b73e/pone.0183641.g014.jpg

相似文献

1
Attribution of global foodborne disease to specific foods: Findings from a World Health Organization structured expert elicitation.全球食源性疾病归因于特定食物:世界卫生组织结构化专家征询结果
PLoS One. 2017 Sep 14;12(9):e0183641. doi: 10.1371/journal.pone.0183641. eCollection 2017.
2
World Health Organization Estimates of the Relative Contributions of Food to the Burden of Disease Due to Selected Foodborne Hazards: A Structured Expert Elicitation.世界卫生组织对食物因特定食源性危害导致疾病负担的相对贡献的估计:一项结构化专家征询。
PLoS One. 2016 Jan 19;11(1):e0145839. doi: 10.1371/journal.pone.0145839. eCollection 2016.
3
Attribution of country level foodborne disease to food group and food types in three African countries: Conclusions from a structured expert judgment study.归因于三个非洲国家的国家层面食源性疾病的食物组和食物类型:来自结构化专家判断研究的结论。
PLoS Negl Trop Dis. 2022 Sep 12;16(9):e0010663. doi: 10.1371/journal.pntd.0010663. eCollection 2022 Sep.
4
World Health Organization Estimates of the Global and Regional Disease Burden of 22 Foodborne Bacterial, Protozoal, and Viral Diseases, 2010: A Data Synthesis.世界卫生组织对2010年22种食源性细菌、原生动物和病毒疾病的全球及区域疾病负担的估计:数据综合分析
PLoS Med. 2015 Dec 3;12(12):e1001921. doi: 10.1371/journal.pmed.1001921. eCollection 2015 Dec.
5
Methodological Framework for World Health Organization Estimates of the Global Burden of Foodborne Disease.世界卫生组织食源性疾病全球负担估计的方法框架。
PLoS One. 2015 Dec 3;10(12):e0142498. doi: 10.1371/journal.pone.0142498. eCollection 2015.
6
World Health Organization Global Estimates and Regional Comparisons of the Burden of Foodborne Disease in 2010.世界卫生组织《2010年食源性疾病负担的全球估计和区域比较》
PLoS Med. 2015 Dec 3;12(12):e1001923. doi: 10.1371/journal.pmed.1001923. eCollection 2015 Dec.
7
Using expert elicitation to link foodborne illnesses in the United States to foods.运用专家意见征集法将美国食源性疾病与食物建立联系。
J Food Prot. 2007 May;70(5):1220-9. doi: 10.4315/0362-028x-70.5.1220.
8
Research Synthesis Methods in an Age of Globalized Risks: Lessons from the Global Burden of Foodborne Disease Expert Elicitation.全球化风险时代的研究综合方法:食源性疾病全球负担专家咨询的经验教训
Risk Anal. 2016 Feb;36(2):191-202. doi: 10.1111/risa.12385. Epub 2016 Feb 9.
9
Ranking the disease burden of 14 pathogens in food sources in the United States using attribution data from outbreak investigations and expert elicitation.利用暴发调查和专家评估中的归因数据对美国食源性病原体 14 种病原体的疾病负担进行排名。
J Food Prot. 2012 Jul;75(7):1278-91. doi: 10.4315/0362-028X.JFP-11-418.
10
Food Attribution and Economic Cost Estimates for Meat- and Poultry-Related Illnesses.肉类和禽类相关疾病的食物归因及经济成本估算
J Food Prot. 2020 Jun 1;83(6):959-967. doi: 10.4315/JFP-19-548.

引用本文的文献

1
The disease and economic burden of notified and underestimated Campylobacter enteritis cases and associated sequelae in Germany.德国已通报及未被充分估计的空肠弯曲菌肠炎病例及其相关后遗症的疾病负担和经济负担。
PLoS One. 2025 Sep 4;20(9):e0331298. doi: 10.1371/journal.pone.0331298. eCollection 2025.
2
Methicillin-resistant contamination in meat and meat products: a systematic review and meta-analysis.肉类及肉制品中的耐甲氧西林污染:一项系统评价与荟萃分析。
Front Microbiol. 2025 Jul 15;16:1636622. doi: 10.3389/fmicb.2025.1636622. eCollection 2025.
3
New Biodegradable Carboxymethyl Cellulose-Based Films with Liquid Products of Wood Pine Pyrolysis with Antibacterial and Antioxidant Properties.

本文引用的文献

1
A commentary on "how to interpret expert judgment assessments of twenty-first century sea-level rise" by Hylke de Vries and Roderik SW van de Wal.希尔克·德·弗里斯(Hylke de Vries)和罗德里克·斯韦·范德瓦尔(Roderik SW van de Wal)对《如何解读对21世纪海平面上升的专家判断评估》的评论
Clim Change. 2016;137(3):321-328. doi: 10.1007/s10584-016-1672-7. Epub 2016 Jun 7.
2
Comparing Characteristics of Sporadic and Outbreak-Associated Foodborne Illnesses, United States, 2004-2011.2004 - 2011年美国散发性和与暴发相关的食源性疾病特征比较
Emerg Infect Dis. 2016 Jul;22(7):1193-200. doi: 10.3201/eid2207.150833.
3
Evaluation of a Performance-Based Expert Elicitation: WHO Global Attribution of Foodborne Diseases.
具有抗菌和抗氧化性能的新型生物可降解羧甲基纤维素基薄膜与木松热解液体产物
Materials (Basel). 2025 May 12;18(10):2228. doi: 10.3390/ma18102228.
4
Quantifying national burdens of foodborne disease-Four imperatives for global impact.量化食源性疾病的国家负担——对全球产生影响的四项当务之急。
PLOS Glob Public Health. 2025 Apr 9;5(4):e0004309. doi: 10.1371/journal.pgph.0004309. eCollection 2025.
5
Food safety certification in urban food markets: the willingness to pay for safer meat in Peru.城市食品市场中的食品安全认证:秘鲁消费者为更安全肉类的支付意愿。
Food Secur. 2025;17(2):461-476. doi: 10.1007/s12571-024-01512-6. Epub 2025 Jan 18.
6
Systematic Review and Meta-Analysis on Prevalence and Antimicrobial Resistance Patterns of Important Foodborne Pathogens Isolated from Retail Chicken Meat and Associated Environments in India.关于从印度零售鸡肉及其相关环境中分离出的重要食源性病原体的流行率和抗菌药物耐药模式的系统评价与荟萃分析。
Foods. 2025 Feb 7;14(4):555. doi: 10.3390/foods14040555.
7
Prevalence and genetic characteristics of Campylobacter jejuni from laying-hens in Hubei Province, China.中国湖北省蛋鸡空肠弯曲菌的流行情况及遗传特征
BMC Vet Res. 2025 Feb 22;21(1):84. doi: 10.1186/s12917-025-04600-7.
8
Occurrence and antimicrobial susceptibility of Salmonella enterica in milk along the supply chain, humans, and the environment in Woliata Sodo, Ethiopia.埃塞俄比亚沃利亚塔索多牛奶供应链、人类及环境中肠炎沙门氏菌的发生情况及抗菌药敏性
BMC Microbiol. 2024 Dec 23;24(1):538. doi: 10.1186/s12866-024-03689-4.
9
Challenges, Health Risks and Recommendations on Meat Handling Practices in Africa: A Comprehensive Review.非洲肉类处理实践中的挑战、健康风险及建议:全面综述
Environ Health Insights. 2024 Nov 20;18:11786302241301991. doi: 10.1177/11786302241301991. eCollection 2024.
10
Occurrence, molecular characterization, and antimicrobial susceptibility of sorbitol non-fermenting Escherichia coli in lake water, fish and humans in central Oromia, Ethiopia.埃塞俄比亚奥罗米亚中部湖泊水、鱼类和人类中山梨醇非发酵性大肠杆菌的发生、分子特征和抗菌药敏性。
Sci Rep. 2024 May 30;14(1):12461. doi: 10.1038/s41598-024-61810-z.
基于绩效的专家意见征集评估:世界卫生组织食源性疾病全球归因
PLoS One. 2016 Mar 1;11(3):e0149817. doi: 10.1371/journal.pone.0149817. eCollection 2016.
4
Research Synthesis Methods in an Age of Globalized Risks: Lessons from the Global Burden of Foodborne Disease Expert Elicitation.全球化风险时代的研究综合方法:食源性疾病全球负担专家咨询的经验教训
Risk Anal. 2016 Feb;36(2):191-202. doi: 10.1111/risa.12385. Epub 2016 Feb 9.
5
World Health Organization Estimates of the Relative Contributions of Food to the Burden of Disease Due to Selected Foodborne Hazards: A Structured Expert Elicitation.世界卫生组织对食物因特定食源性危害导致疾病负担的相对贡献的估计:一项结构化专家征询。
PLoS One. 2016 Jan 19;11(1):e0145839. doi: 10.1371/journal.pone.0145839. eCollection 2016.
6
World Health Organization Global Estimates and Regional Comparisons of the Burden of Foodborne Disease in 2010.世界卫生组织《2010年食源性疾病负担的全球估计和区域比较》
PLoS Med. 2015 Dec 3;12(12):e1001923. doi: 10.1371/journal.pmed.1001923. eCollection 2015 Dec.
7
Methodological Framework for World Health Organization Estimates of the Global Burden of Foodborne Disease.世界卫生组织食源性疾病全球负担估计的方法框架。
PLoS One. 2015 Dec 3;10(12):e0142498. doi: 10.1371/journal.pone.0142498. eCollection 2015.
8
Evaluation of a structured expert elicitation estimating the proportion of illness acquired by foodborne transmission for nine enteric pathogens in Australia.对澳大利亚九种肠道病原体通过食源性传播导致疾病的比例进行结构化专家评估。
Epidemiol Infect. 2016 Apr;144(5):897-906. doi: 10.1017/S0950268815002435. Epub 2015 Oct 12.
9
Expert elicitation as a means to attribute 28 enteric pathogens to foodborne, waterborne, animal contact, and person-to-person transmission routes in Canada.在加拿大,通过专家意见征集的方式将28种肠道病原体归因于食源性、水源性、动物接触性和人传人传播途径。
Foodborne Pathog Dis. 2015 Apr;12(4):335-44. doi: 10.1089/fpd.2014.1856.
10
Attributing foodborne salmonellosis in humans to animal reservoirs in the European Union using a multi-country stochastic model.使用多国随机模型将欧盟人类食源性沙门氏菌病归因于动物宿主。
Epidemiol Infect. 2015 Apr;143(6):1175-86. doi: 10.1017/S0950268814001903. Epub 2014 Aug 1.