Suppr超能文献

双尾逆转录定量聚合酶链反应:一种用于高精度微小RNA定量的新方法。

Two-tailed RT-qPCR: a novel method for highly accurate miRNA quantification.

作者信息

Androvic Peter, Valihrach Lukas, Elling Julie, Sjoback Robert, Kubista Mikael

机构信息

Laboratory of Gene Expression, Institute of Biotechnology CAS, Biocev, Vestec 252 50, Czech Republic.

Laboratory of Growth Regulators, Faculty of Science, Palacky University, Olomouc 783 71, Czech Republic.

出版信息

Nucleic Acids Res. 2017 Sep 6;45(15):e144. doi: 10.1093/nar/gkx588.

Abstract

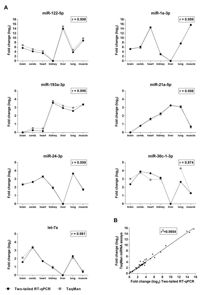
MicroRNAs are a class of small non-coding RNAs that serve as important regulators of gene expression at the posttranscriptional level. They are stable in body fluids and pose great potential to serve as biomarkers. Here, we present a highly specific, sensitive and cost-effective system to quantify miRNA expression based on two-step RT-qPCR with SYBR-green detection chemistry called Two-tailed RT-qPCR. It takes advantage of novel, target-specific primers for reverse transcription composed of two hemiprobes complementary to two different parts of the targeted miRNA, connected by a hairpin structure. The introduction of a second probe ensures high sensitivity and enables discrimination of highly homologous miRNAs irrespectively of the position of the mismatched nucleotide. Two-tailed RT-qPCR has a dynamic range of seven logs and a sensitivity sufficient to detect down to ten target miRNA molecules. It is capable to capture the full isomiR repertoire, leading to accurate representation of the complete miRNA content in a sample. The reverse transcription step can be multiplexed and the miRNA profiles measured with Two-tailed RT-qPCR show excellent correlation with the industry standard TaqMan miRNA assays (r2 = 0.985). Moreover, Two-tailed RT-qPCR allows for rapid testing with a total analysis time of less than 2.5 hours.

摘要

微小RNA是一类小的非编码RNA,在转录后水平作为基因表达的重要调节因子。它们在体液中稳定,具有作为生物标志物的巨大潜力。在此,我们提出一种基于两步RT-qPCR和SYBR Green检测化学的高特异性、高灵敏度且经济高效的系统来定量miRNA表达,称为双尾RT-qPCR。它利用了新型的、针对靶标的逆转录引物,该引物由与靶标miRNA的两个不同部分互补的两个半探针组成,并通过发夹结构连接。引入第二个探针可确保高灵敏度,并能够区分高度同源的miRNA,而与错配核苷酸的位置无关。双尾RT-qPCR的动态范围为7个对数,灵敏度足以检测低至10个靶标miRNA分子。它能够捕获完整的异源miRNA库,从而准确反映样品中完整的miRNA含量。逆转录步骤可以进行多重反应,用双尾RT-qPCR测量的miRNA谱与行业标准的TaqMan miRNA检测方法具有极好的相关性(r2 = 0.985)。此外,双尾RT-qPCR允许快速检测,总分析时间不到2.5小时。

https://cdn.ncbi.nlm.nih.gov/pmc/blobs/2465/5587787/a4015462316e/gkx588fig1.jpg

文献AI研究员

20分钟写一篇综述,助力文献阅读效率提升50倍。

立即体验

用中文搜PubMed

大模型驱动的PubMed中文搜索引擎

马上搜索

文档翻译

学术文献翻译模型,支持多种主流文档格式。

立即体验