• 文献检索
  • 文档翻译
  • 深度研究
  • 学术资讯
  • Suppr Zotero 插件Zotero 插件
  • 邀请有礼
  • 套餐&价格
  • 历史记录
应用&插件
Suppr Zotero 插件Zotero 插件浏览器插件Mac 客户端Windows 客户端微信小程序
定价
高级版会员购买积分包购买API积分包
服务
文献检索文档翻译深度研究API 文档MCP 服务
关于我们
关于 Suppr公司介绍联系我们用户协议隐私条款
关注我们

Suppr 超能文献

核心技术专利:CN118964589B侵权必究
粤ICP备2023148730 号-1Suppr @ 2026

文献检索

告别复杂PubMed语法,用中文像聊天一样搜索,搜遍4000万医学文献。AI智能推荐,让科研检索更轻松。

立即免费搜索

文件翻译

保留排版,准确专业,支持PDF/Word/PPT等文件格式,支持 12+语言互译。

免费翻译文档

深度研究

AI帮你快速写综述,25分钟生成高质量综述,智能提取关键信息,辅助科研写作。

立即免费体验

用于微小RNA的线性发夹可变引物逆转录定量聚合酶链反应

Linear-hairpin variable primer RT-qPCR for MicroRNA.

作者信息

Lan Lin, Guo Qiuping, Nie Hemin, Zhou Chang, Cai Qingyun, Huang Jin, Meng Xiangxian

机构信息

College of Biology , Hunan University , Changsha , P. R. China . Email:

State Key Laboratory of Chemo/Biosensing and Chemometrics , P. R. China.

出版信息

Chem Sci. 2018 Dec 4;10(7):2034-2043. doi: 10.1039/c8sc04621b. eCollection 2019 Feb 21.

DOI:10.1039/c8sc04621b
PMID:30842860
原文链接:https://pmc.ncbi.nlm.nih.gov/articles/PMC6375362/
Abstract

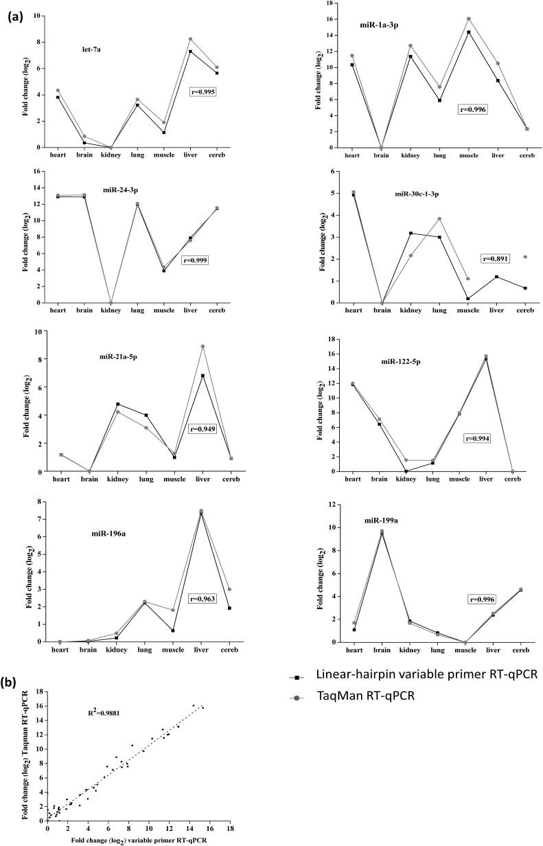
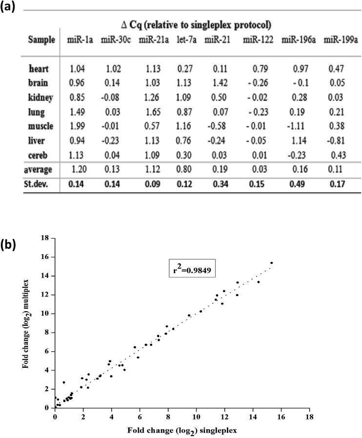
Here, we present a highly specific, sensitive and cost-effective system to quantify microRNA (miRNA) expression based on two-step RT-qPCR with EvaGreen detection chemistry, called linear-hairpin variable primer RT-qPCR. It takes advantage of the novel designed variable primer, which is initially designed to be linear, extending to form a hairpin structure and replacing the target miRNA for cyclic RT. Then the RT product is quantified by conventional EvaGreen based qPCR. The results show that this method has a dynamic range of 8 logs and the sensitivity is sufficient to directly detect down to 4 target miRNA molecules with a total analysis time of less than 2 hours. It is capable of discriminating between similar miRNAs, leading to an accurate representation of the mature miRNA content in a sample. The RT step can be multiplexed and the 8 miRNA profiles measured in 7 mouse tissues by this method show an excellent correlation with the commercial standard TaqMan RT-qPCR assays ( = 0.9881).

摘要

在此,我们展示了一种基于两步逆转录定量聚合酶链反应(RT-qPCR)与EvaGreen检测化学方法的高度特异性、灵敏且经济高效的系统,用于定量微小RNA(miRNA)表达,称为线性发夹可变引物RT-qPCR。它利用了新设计的可变引物,该引物最初设计为线性,延伸形成发夹结构并替代目标miRNA进行循环逆转录。然后通过基于传统EvaGreen的定量聚合酶链反应对逆转录产物进行定量。结果表明,该方法的动态范围为8个数量级,灵敏度足以直接检测低至4个目标miRNA分子,总分析时间不到2小时。它能够区分相似的miRNA,从而准确呈现样本中成熟miRNA的含量。逆转录步骤可以进行多重分析,通过该方法在7种小鼠组织中测量的8种miRNA谱与商业标准TaqMan RT-qPCR检测结果显示出极好的相关性(r = 0.9881)。

https://cdn.ncbi.nlm.nih.gov/pmc/blobs/9593/6375362/7b1f708d952e/c8sc04621b-f7.jpg
https://cdn.ncbi.nlm.nih.gov/pmc/blobs/9593/6375362/e4265040d3aa/c8sc04621b-f1.jpg
https://cdn.ncbi.nlm.nih.gov/pmc/blobs/9593/6375362/60a91091f178/c8sc04621b-f2.jpg
https://cdn.ncbi.nlm.nih.gov/pmc/blobs/9593/6375362/1639464c5e77/c8sc04621b-f3.jpg
https://cdn.ncbi.nlm.nih.gov/pmc/blobs/9593/6375362/639b8fc4fc2c/c8sc04621b-f4.jpg
https://cdn.ncbi.nlm.nih.gov/pmc/blobs/9593/6375362/0d42a5bb3828/c8sc04621b-f5.jpg
https://cdn.ncbi.nlm.nih.gov/pmc/blobs/9593/6375362/2af1676c3133/c8sc04621b-f6.jpg
https://cdn.ncbi.nlm.nih.gov/pmc/blobs/9593/6375362/7b1f708d952e/c8sc04621b-f7.jpg
https://cdn.ncbi.nlm.nih.gov/pmc/blobs/9593/6375362/e4265040d3aa/c8sc04621b-f1.jpg
https://cdn.ncbi.nlm.nih.gov/pmc/blobs/9593/6375362/60a91091f178/c8sc04621b-f2.jpg
https://cdn.ncbi.nlm.nih.gov/pmc/blobs/9593/6375362/1639464c5e77/c8sc04621b-f3.jpg
https://cdn.ncbi.nlm.nih.gov/pmc/blobs/9593/6375362/639b8fc4fc2c/c8sc04621b-f4.jpg
https://cdn.ncbi.nlm.nih.gov/pmc/blobs/9593/6375362/0d42a5bb3828/c8sc04621b-f5.jpg
https://cdn.ncbi.nlm.nih.gov/pmc/blobs/9593/6375362/2af1676c3133/c8sc04621b-f6.jpg
https://cdn.ncbi.nlm.nih.gov/pmc/blobs/9593/6375362/7b1f708d952e/c8sc04621b-f7.jpg

相似文献

1
Linear-hairpin variable primer RT-qPCR for MicroRNA.用于微小RNA的线性发夹可变引物逆转录定量聚合酶链反应
Chem Sci. 2018 Dec 4;10(7):2034-2043. doi: 10.1039/c8sc04621b. eCollection 2019 Feb 21.
2
Two-tailed RT-qPCR: a novel method for highly accurate miRNA quantification.双尾逆转录定量聚合酶链反应:一种用于高精度微小RNA定量的新方法。
Nucleic Acids Res. 2017 Sep 6;45(15):e144. doi: 10.1093/nar/gkx588.
3
OUHP: an optimized universal hairpin primer system for cost-effective and high-throughput RT-qPCR-based quantification of microRNA (miRNA) expression.OUHP:一种优化的通用发夹引物系统,用于基于 RT-qPCR 的 miRNA 表达进行经济高效和高通量定量。
Nucleic Acids Res. 2022 Feb 28;50(4):e22. doi: 10.1093/nar/gkab1153.
4
An ultrasensitive and multiplexed miRNA one-step real time RT-qPCR detection system and its application in esophageal cancer serum.一种超灵敏且多重的 miRNA 一步实时 RT-qPCR 检测系统及其在食管癌血清中的应用。
Biosens Bioelectron. 2024 Mar 1;247:115927. doi: 10.1016/j.bios.2023.115927. Epub 2023 Dec 15.
5
miRNA Detection by Stem-Loop RT-qPCR in Studying microRNA Biogenesis and microRNA Responsiveness to Abiotic Stresses.通过茎环RT-qPCR检测微小RNA以研究微小RNA的生物合成及微小RNA对非生物胁迫的响应
Methods Mol Biol. 2019;1932:131-150. doi: 10.1007/978-1-4939-9042-9_10.
6
Quantitation of microRNAs by real-time RT-qPCR.通过实时逆转录定量聚合酶链反应对微小RNA进行定量分析。
Methods Mol Biol. 2011;687:113-34. doi: 10.1007/978-1-60761-944-4_8.
7
miPrimer: an empirical-based qPCR primer design method for small noncoding microRNA.miPrimer:一种基于经验的小非编码 microRNA 的 qPCR 引物设计方法。
RNA. 2018 Mar;24(3):304-312. doi: 10.1261/rna.061150.117. Epub 2017 Dec 5.
8
Quantification of circulating miRNAs by droplet digital PCR: comparison of EvaGreen- and TaqMan-based chemistries.通过液滴数字PCR对循环miRNA进行定量:基于EvaGreen和TaqMan化学方法的比较。
Cancer Epidemiol Biomarkers Prev. 2014 Dec;23(12):2638-42. doi: 10.1158/1055-9965.EPI-14-0503.
9
Quantitative stem-loop RT-PCR for detection of microRNAs.用于检测微小RNA的定量茎环逆转录聚合酶链反应
Methods Mol Biol. 2011;744:145-57. doi: 10.1007/978-1-61779-123-9_10.
10
A novel mean-centering method for normalizing microRNA expression from high-throughput RT-qPCR data.一种用于对高通量逆转录定量PCR数据中的微小RNA表达进行标准化的新型均值中心化方法。
BMC Res Notes. 2011 Dec 21;4:555. doi: 10.1186/1756-0500-4-555.

引用本文的文献

1
CRISPR detection of cardiac tumor-associated microRNAs.心脏肿瘤相关微小RNA的CRISPR检测
Mol Biol Rep. 2025 Jan 11;52(1):114. doi: 10.1007/s11033-024-10205-4.
2
Downregulation of Exosomal hsa-miR-551b-3p in Obesity and Its Link to Type 2 Diabetes Mellitus.肥胖中外泌体hsa-miR-551b-3p的下调及其与2型糖尿病的关联
Noncoding RNA. 2023 Nov 2;9(6):67. doi: 10.3390/ncrna9060067.
3
Host induced gene silencing of the Sclerotinia sclerotiorum ABHYDROLASE-3 gene reduces disease severity in Brassica napus.寄主诱导的 Sclerotinia sclerotiorum ABHYDROLASE-3 基因沉默降低油菜中的病害严重度。

本文引用的文献

1
RNA splicing process analysis for identifying antisense oligonucleotide inhibitors with padlock probe-based isothermal amplification.用于通过基于锁式探针的等温扩增鉴定反义寡核苷酸抑制剂的RNA剪接过程分析
Chem Sci. 2017 Aug 1;8(8):5692-5698. doi: 10.1039/c7sc01336a. Epub 2017 Jun 13.
2
Two-tailed RT-qPCR: a novel method for highly accurate miRNA quantification.双尾逆转录定量聚合酶链反应:一种用于高精度微小RNA定量的新方法。
Nucleic Acids Res. 2017 Sep 6;45(15):e144. doi: 10.1093/nar/gkx588.
3
Target-fueled DNA walker for highly selective miRNA detection.
PLoS One. 2022 Aug 26;17(8):e0261102. doi: 10.1371/journal.pone.0261102. eCollection 2022.
4
Multiplex detection of miRNAs based on aggregation-induced emission luminogen encoded microspheres.基于聚集诱导发光发光体编码微球的miRNA多重检测
RSC Adv. 2019 Dec 4;9(68):39976-39985. doi: 10.1039/c9ra07680h. eCollection 2019 Dec 2.
5
A controlled T7 transcription-driven symmetric amplification cascade machinery for single-molecule detection of multiple repair glycosylases.一种用于多种修复糖基化酶单分子检测的可控T7转录驱动对称扩增级联机制。
Chem Sci. 2021 Mar 12;12(15):5544-5554. doi: 10.1039/d1sc00189b.
6
Polymerization and isomerization cyclic amplification for nucleic acid detection with attomolar sensitivity.用于核酸检测的具有阿托摩尔灵敏度的聚合与异构化循环扩增。
Chem Sci. 2021 Feb 17;12(12):4509-4518. doi: 10.1039/d0sc05457g.
用于高选择性miRNA检测的靶标驱动DNA步行器
Chem Sci. 2015 Dec 1;6(12):6777-6782. doi: 10.1039/c5sc02784e. Epub 2015 Sep 10.
4
Gold Nanoparticle Loaded Split-DNAzyme Probe for Amplified miRNA Detection in Living Cells.载金纳米粒子的分裂 DNA 酶探针用于活细胞中 miRNA 的扩增检测。
Anal Chem. 2017 Aug 15;89(16):8377-8383. doi: 10.1021/acs.analchem.7b01632. Epub 2017 Jul 28.
5
Methods to determine limit of detection and limit of quantification in quantitative real-time PCR (qPCR).定量实时聚合酶链反应(qPCR)中检测限和定量限的测定方法。
Biomol Detect Quantif. 2017 Apr 29;12:1-6. doi: 10.1016/j.bdq.2017.04.001. eCollection 2017 Jun.
6
Highly specific imaging of mRNA in single cells by target RNA-initiated rolling circle amplification.通过靶RNA引发的滚环扩增对单细胞中的mRNA进行高特异性成像。
Chem Sci. 2017 May 1;8(5):3668-3675. doi: 10.1039/c7sc00292k. Epub 2017 Mar 7.
7
Gold Nanoparticle Based Hairpin-Locked-DNAzyme Probe for Amplified miRNA Imaging in Living Cells.基于金纳米粒子的发夹锁 DNAzyme 探针用于活细胞中 miRNA 的扩增成像。
Anal Chem. 2017 Jun 6;89(11):5850-5856. doi: 10.1021/acs.analchem.7b00174. Epub 2017 May 23.
8
Isothermal Amplification for MicroRNA Detection: From the Test Tube to the Cell.等温扩增检测 microRNA:从试管到细胞。
Acc Chem Res. 2017 Apr 18;50(4):1059-1068. doi: 10.1021/acs.accounts.7b00040. Epub 2017 Mar 29.
9
Single-cell sequencing of the small-RNA transcriptome.单细胞小 RNA 转录组测序。
Nat Biotechnol. 2016 Dec;34(12):1264-1266. doi: 10.1038/nbt.3701. Epub 2016 Oct 31.
10
Profiling Pre-MicroRNA and Mature MicroRNA Expressions Using a Single Microarray and Avoiding Separate Sample Preparation.使用单一微阵列分析前体微小RNA和成熟微小RNA表达并避免单独的样品制备。
Microarrays (Basel). 2013 Mar 14;2(1):24-33. doi: 10.3390/microarrays2010024.