• 文献检索
  • 文档翻译
  • 深度研究
  • 学术资讯
  • Suppr Zotero 插件Zotero 插件
  • 邀请有礼
  • 套餐&价格
  • 历史记录
应用&插件
Suppr Zotero 插件Zotero 插件浏览器插件Mac 客户端Windows 客户端微信小程序
定价
高级版会员购买积分包购买API积分包
服务
文献检索文档翻译深度研究API 文档MCP 服务
关于我们
关于 Suppr公司介绍联系我们用户协议隐私条款
关注我们

Suppr 超能文献

核心技术专利:CN118964589B侵权必究
粤ICP备2023148730 号-1Suppr @ 2026

文献检索

告别复杂PubMed语法,用中文像聊天一样搜索,搜遍4000万医学文献。AI智能推荐,让科研检索更轻松。

立即免费搜索

文件翻译

保留排版,准确专业,支持PDF/Word/PPT等文件格式,支持 12+语言互译。

免费翻译文档

深度研究

AI帮你快速写综述,25分钟生成高质量综述,智能提取关键信息,辅助科研写作。

立即免费体验

乌龙茶中茶生长素和类茶生长素化合物生物合成中间体的鉴定及其与胃饥饿素受体的分子对接

Identification of biosynthetic intermediates of teaghrelins and teaghrelin-like compounds in oolong teas, and their molecular docking to the ghrelin receptor.

作者信息

Hsieh Sheng-Kuo, Lo Yuan-Hao, Wu Chia-Chang, Chung Tse-Yu, Tzen Jason T C

机构信息

Graduate Institute of Biotechnology, National Chung-Hsing University, Taichung, Taiwan.

Wunshan Branch, Tea Research and Extension Station, New Taipei City, Taiwan.

出版信息

J Food Drug Anal. 2015 Dec;23(4):660-670. doi: 10.1016/j.jfda.2015.04.005. Epub 2015 May 28.

DOI:10.1016/j.jfda.2015.04.005
PMID:28911482
原文链接:https://pmc.ncbi.nlm.nih.gov/articles/PMC9345446/
Abstract

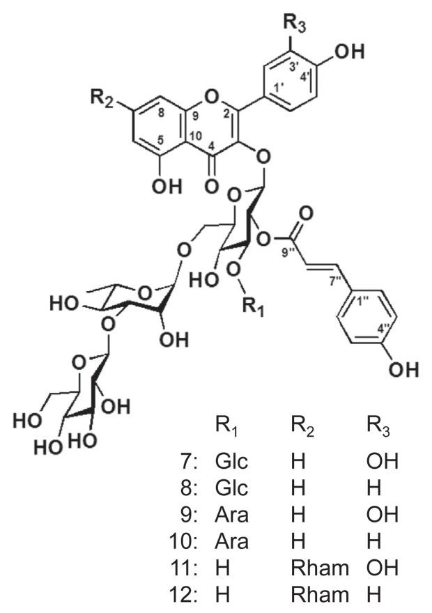
Teaghrelins are unique acylated flavonoid tetraglycosides found in Chin-shin oolong tea, and have been demonstrated to be promising oral ghrelin analogues. The biosynthetic pathway of teaghrelins from quercetin-3-O-rutinoside (rutin) or kaempferol-3-O-rutinoside (nicotiflorin) was proposed to comprise three enzymatic steps according to the identification of putative intermediates in Chin-shin oolong tea. In addition to the two known teaghrelins in Chin-shin oolong tea, four teaghrelin-like compounds with different attachments of glycosides were identified in various oolong teas. Molecular modeling and docking were used to evaluate theoretically whether the putative biosynthetic intermediates of teaghrelins and the four teaghrelin-like compounds could be potential candidates of ghrelin analogues. The results showed that the attachment of a coumaroyl group was crucial for these tea compounds to bind to the ghrelin receptor. However, the additional attachment of a rhamnosyl glycoside to the flavonoid backbone of teaghrelin-like compounds at C-7 significantly reduced their binding affinity with the ghrelin receptor.

摘要

茶瑞林是在金萱乌龙茶中发现的独特的酰化黄酮四糖苷,并且已被证明是有前景的口服胃饥饿素类似物。根据在金萱乌龙茶中对假定中间体的鉴定,推测茶瑞林从槲皮素-3-O-芸香糖苷(芦丁)或山奈酚-3-O-芸香糖苷(异鼠李素)的生物合成途径包括三个酶促步骤。除了金萱乌龙茶中已知的两种茶瑞林外,在各种乌龙茶中还鉴定出了四种糖苷连接方式不同的茶瑞林样化合物。利用分子建模和对接从理论上评估茶瑞林的假定生物合成中间体和四种茶瑞林样化合物是否可能是胃饥饿素类似物的潜在候选物。结果表明,香豆酰基的连接对于这些茶化合物与胃饥饿素受体结合至关重要。然而,在茶瑞林样化合物的类黄酮主链C-7位额外连接一个鼠李糖基糖苷会显著降低它们与胃饥饿素受体的结合亲和力。

https://cdn.ncbi.nlm.nih.gov/pmc/blobs/7c54/9345446/319469c22453/jfda-23-04-660f7.jpg
https://cdn.ncbi.nlm.nih.gov/pmc/blobs/7c54/9345446/e56321a71115/jfda-23-04-660f1.jpg
https://cdn.ncbi.nlm.nih.gov/pmc/blobs/7c54/9345446/9924583fd0e9/jfda-23-04-660f2.jpg
https://cdn.ncbi.nlm.nih.gov/pmc/blobs/7c54/9345446/850674a7c1bd/jfda-23-04-660f3.jpg
https://cdn.ncbi.nlm.nih.gov/pmc/blobs/7c54/9345446/8a8d2950e366/jfda-23-04-660f4.jpg
https://cdn.ncbi.nlm.nih.gov/pmc/blobs/7c54/9345446/0d546254b1ca/jfda-23-04-660f5.jpg
https://cdn.ncbi.nlm.nih.gov/pmc/blobs/7c54/9345446/3568a517b5d9/jfda-23-04-660f6.jpg
https://cdn.ncbi.nlm.nih.gov/pmc/blobs/7c54/9345446/319469c22453/jfda-23-04-660f7.jpg
https://cdn.ncbi.nlm.nih.gov/pmc/blobs/7c54/9345446/e56321a71115/jfda-23-04-660f1.jpg
https://cdn.ncbi.nlm.nih.gov/pmc/blobs/7c54/9345446/9924583fd0e9/jfda-23-04-660f2.jpg
https://cdn.ncbi.nlm.nih.gov/pmc/blobs/7c54/9345446/850674a7c1bd/jfda-23-04-660f3.jpg
https://cdn.ncbi.nlm.nih.gov/pmc/blobs/7c54/9345446/8a8d2950e366/jfda-23-04-660f4.jpg
https://cdn.ncbi.nlm.nih.gov/pmc/blobs/7c54/9345446/0d546254b1ca/jfda-23-04-660f5.jpg
https://cdn.ncbi.nlm.nih.gov/pmc/blobs/7c54/9345446/3568a517b5d9/jfda-23-04-660f6.jpg
https://cdn.ncbi.nlm.nih.gov/pmc/blobs/7c54/9345446/319469c22453/jfda-23-04-660f7.jpg

相似文献

1
Identification of biosynthetic intermediates of teaghrelins and teaghrelin-like compounds in oolong teas, and their molecular docking to the ghrelin receptor.乌龙茶中茶生长素和类茶生长素化合物生物合成中间体的鉴定及其与胃饥饿素受体的分子对接
J Food Drug Anal. 2015 Dec;23(4):660-670. doi: 10.1016/j.jfda.2015.04.005. Epub 2015 May 28.
2
Identification of two teaghrelins in Shy-jih-chuen oolong tea.鉴定铁观音乌龙茶中的两种茶氨酸。
J Food Biochem. 2019 Apr;43(4):e12810. doi: 10.1111/jfbc.12810. Epub 2019 Feb 18.
3
Teaghrelins, unique acylated flavonoid tetraglycosides in Chin-shin oolong tea, are putative oral agonists of the ghrelin receptor.铁观音茶中独特的酰化类黄酮四糖苷是生长激素释放肽受体的口服激动剂。
J Agric Food Chem. 2014 Jun 4;62(22):5085-91. doi: 10.1021/jf501425m. Epub 2014 May 22.
4
Characterization of teaghrelin-like compounds from tea cultivars.茶叶品种中茶促素样化合物的特征。
Nat Prod Res. 2021 Jan;35(1):57-62. doi: 10.1080/14786419.2019.1613398. Epub 2019 May 28.
5
Characterisation of teaghrelin-like principles from Assam tea cultivated in Thailand.从泰国种植的阿萨姆茶中提取茶氨酸样肽的特性研究。
Nat Prod Res. 2022 Jan;36(1):305-311. doi: 10.1080/14786419.2020.1779715. Epub 2020 Jun 19.
6
Promotion of myotube differentiation and attenuation of muscle atrophy in murine C2C12 myoblast cells treated with teaghrelin.茶格尔林处理的 C2C12 成肌细胞中肌管分化的促进和肌肉萎缩的衰减。
Chem Biol Interact. 2020 Jan 5;315:108893. doi: 10.1016/j.cbi.2019.108893. Epub 2019 Nov 7.
7
Rapid identification of acylated flavonol tetraglycosides in oolong teas using HPLC-MSn.使用高效液相色谱-质谱联用技术快速鉴定乌龙茶中的酰化黄酮醇四糖苷
Phytochem Anal. 2008 May-Jun;19(3):251-7. doi: 10.1002/pca.1044.
8
Teaghrelin Protects SH-SY5Y Cells against MPP-Induced Neurotoxicity through Activation of AMPK/SIRT1/PGC-1α and ERK1/2 Pathways.茶氨酸通过激活 AMPK/SIRT1/PGC-1α 和 ERK1/2 通路保护 SH-SY5Y 细胞免受 MPP+诱导的神经毒性。
Nutrients. 2020 Nov 28;12(12):3665. doi: 10.3390/nu12123665.
9
Determination of flavonol glycosides in green tea, oolong tea and black tea by UHPLC compared to HPLC.采用 UHPLC 与 HPLC 比较测定绿茶、乌龙茶和红茶中的黄酮醇糖苷。
Food Chem. 2015 Sep 15;183:30-5. doi: 10.1016/j.foodchem.2015.03.024. Epub 2015 Mar 13.
10
Changes in the Bio-Compounds and Biological Activities of Eight Whole Grains Fermentation Starter with Different Oxidized Chin-Shin Oolong Teas.八种全谷物发酵起始物与不同氧化程度的清香型乌龙茶生物化合物及生物活性的变化
Foods. 2023 Apr 14;12(8):1643. doi: 10.3390/foods12081643.

引用本文的文献

1
Attenuation of Skeletal Muscle Atrophy Induced by Dexamethasone in Rats by Teaghrelin Supplementation.替格雷林补充剂可减轻地塞米松诱导的大鼠骨骼肌萎缩。
Molecules. 2023 Jan 10;28(2):688. doi: 10.3390/molecules28020688.
2
Anti-Inflammatory Principles from the Needles of Hayata and In Silico Studies of Their Potential Anti-Aging Effects.来自玉山针茅针的抗炎原理及其潜在抗衰老作用的计算机模拟研究
Antioxidants (Basel). 2021 Apr 13;10(4):598. doi: 10.3390/antiox10040598.
3
Teaghrelin Protects SH-SY5Y Cells against MPP-Induced Neurotoxicity through Activation of AMPK/SIRT1/PGC-1α and ERK1/2 Pathways.

本文引用的文献

1
Analysis of lipophilic compounds of tea coated on the surface of clay teapots.涂覆在紫砂壶表面的茶叶中亲脂性化合物的分析。
J Food Drug Anal. 2015 Mar;23(1):71-81. doi: 10.1016/j.jfda.2014.05.005. Epub 2014 Nov 13.
2
Significant elevation of antiviral activity of strictinin from Pu'er tea after thermal degradation to ellagic acid and gallic acid.普洱茶中的柯里拉京经热降解生成鞣花酸和没食子酸后,其抗病毒活性显著提高。
J Food Drug Anal. 2015 Mar;23(1):116-123. doi: 10.1016/j.jfda.2014.07.007. Epub 2014 Dec 5.
3
Catechin content and the degree of its galloylation in oolong tea are inversely correlated with cultivation altitude.
茶氨酸通过激活 AMPK/SIRT1/PGC-1α 和 ERK1/2 通路保护 SH-SY5Y 细胞免受 MPP+诱导的神经毒性。
Nutrients. 2020 Nov 28;12(12):3665. doi: 10.3390/nu12123665.
4
Echinacoside Isolated from Putatively Stimulates Growth Hormone Secretion via Activation of the Ghrelin Receptor.玉竹甾体糖苷通过激活胃饥饿素受体刺激生长激素分泌。
Molecules. 2019 Feb 17;24(4):720. doi: 10.3390/molecules24040720.
5
Quinolones Modulate Ghrelin Receptor Signaling: Potential for a Novel Small Molecule Scaffold in the Treatment of Cachexia.喹诺酮类药物调节生长激素释放肽受体信号:新型小分子支架治疗恶病质的潜力。
Int J Mol Sci. 2018 May 30;19(6):1605. doi: 10.3390/ijms19061605.
6
Relative content of gallic acid over 5-galloylquinic acid as an index for the baking intensity of oolong teas.以没食子酸与 5-没食子酰奎宁酸的相对含量为指标评价乌龙茶的烘焙强度。
J Food Drug Anal. 2018 Apr;26(2):609-619. doi: 10.1016/j.jfda.2017.07.015. Epub 2017 Aug 18.
7
Detection of lithospermate B in rat plasma at the nanogram level by LC/MS in multi reaction monitoring mode.采用 LC/MS 多反应监测模式在纳克级检测大鼠血浆中的岩白菜素 B。
J Food Drug Anal. 2018 Jan;26(1):353-361. doi: 10.1016/j.jfda.2017.06.003. Epub 2017 Jul 8.
8
In vitro assay to estimate tea astringency via observing flotation of artificial oil bodies sheltered by caleosin fused with histatin 3.通过观察融合组氨酸 3 的钙连蛋白保护的人工油体的上浮来评估茶涩味的体外测定法。
J Food Drug Anal. 2017 Oct;25(4):828-836. doi: 10.1016/j.jfda.2016.08.008. Epub 2016 Nov 5.
9
Antibacterial and laxative activities of strictinin isolated from Pu'er tea (Camellia sinensis).从普洱茶(Camellia sinensis)中分离得到的Strictinin 的抗菌和通便活性。
J Food Drug Anal. 2016 Oct;24(4):722-729. doi: 10.1016/j.jfda.2016.03.014. Epub 2016 Jun 21.
乌龙茶中儿茶素的含量及其没食子酰化程度与种植海拔呈负相关。
J Food Drug Anal. 2014 Sep;22(3):303-309. doi: 10.1016/j.jfda.2013.12.001. Epub 2014 Feb 28.
4
Emoghrelin, a unique emodin derivative in Heshouwu, stimulates growth hormone secretion via activation of the ghrelin receptor.何首乌中的独特大黄素衍生物——毛诃子素,通过激活生长激素释放肽受体刺激生长激素的分泌。
J Ethnopharmacol. 2015 Jan 15;159:1-8. doi: 10.1016/j.jep.2014.10.063. Epub 2014 Nov 8.
5
Teaghrelins, unique acylated flavonoid tetraglycosides in Chin-shin oolong tea, are putative oral agonists of the ghrelin receptor.铁观音茶中独特的酰化类黄酮四糖苷是生长激素释放肽受体的口服激动剂。
J Agric Food Chem. 2014 Jun 4;62(22):5085-91. doi: 10.1021/jf501425m. Epub 2014 May 22.
6
SWISS-MODEL: modelling protein tertiary and quaternary structure using evolutionary information.SWISS-MODEL:利用进化信息进行蛋白质三级和四级结构建模。
Nucleic Acids Res. 2014 Jul;42(Web Server issue):W252-8. doi: 10.1093/nar/gku340. Epub 2014 Apr 29.
7
Ghrelin signaling in the gut, its physiological properties, and therapeutic potential.胃肠道中的 ghrelin 信号转导、生理特性及其治疗潜力。
Neurogastroenterol Motil. 2013 Sep;25(9):720-32. doi: 10.1111/nmo.12193.
8
Ghrelin: central and peripheral implications in anorexia nervosa.Ghrelin:神经性厌食症的中枢和外周影响。
Front Endocrinol (Lausanne). 2013 Feb 26;4:15. doi: 10.3389/fendo.2013.00015. eCollection 2013.
9
Two distinct conformations of helix 6 observed in antagonist-bound structures of a beta1-adrenergic receptor.β1 肾上腺素受体拮抗剂结合结构中观察到的螺旋 6 区两种不同构象。
Proc Natl Acad Sci U S A. 2011 May 17;108(20):8228-32. doi: 10.1073/pnas.1100185108. Epub 2011 May 3.
10
Structure and function of an irreversible agonist-β(2) adrenoceptor complex.不可逆激动剂-β(2)肾上腺素能受体复合物的结构与功能。
Nature. 2011 Jan 13;469(7329):236-40. doi: 10.1038/nature09665.