• 文献检索
  • 文档翻译
  • 深度研究
  • 学术资讯
  • Suppr Zotero 插件Zotero 插件
  • 邀请有礼
  • 套餐&价格
  • 历史记录
应用&插件
Suppr Zotero 插件Zotero 插件浏览器插件Mac 客户端Windows 客户端微信小程序
定价
高级版会员购买积分包购买API积分包
服务
文献检索文档翻译深度研究API 文档MCP 服务
关于我们
关于 Suppr公司介绍联系我们用户协议隐私条款
关注我们

Suppr 超能文献

核心技术专利:CN118964589B侵权必究
粤ICP备2023148730 号-1Suppr @ 2026

文献检索

告别复杂PubMed语法,用中文像聊天一样搜索,搜遍4000万医学文献。AI智能推荐,让科研检索更轻松。

立即免费搜索

文件翻译

保留排版,准确专业,支持PDF/Word/PPT等文件格式,支持 12+语言互译。

免费翻译文档

深度研究

AI帮你快速写综述,25分钟生成高质量综述,智能提取关键信息,辅助科研写作。

立即免费体验

利用集成搜索引擎方法增强 NCI60 细胞系中缺失蛋白的检测。

Enhanced Missing Proteins Detection in NCI60 Cell Lines Using an Integrative Search Engine Approach.

机构信息

Bioinformatics Unit, Center for Applied Medical Research, University of Navarra , Pamplona 31008, Spain.

IdiSNA, Navarra Institute for Health Research , Pamplona 31008, Spain.

出版信息

J Proteome Res. 2017 Dec 1;16(12):4374-4390. doi: 10.1021/acs.jproteome.7b00388. Epub 2017 Oct 11.

DOI:10.1021/acs.jproteome.7b00388
PMID:28960077
原文链接:https://pmc.ncbi.nlm.nih.gov/articles/PMC5737412/
Abstract

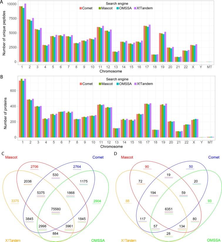
The Human Proteome Project (HPP) aims deciphering the complete map of the human proteome. In the past few years, significant efforts of the HPP teams have been dedicated to the experimental detection of the missing proteins, which lack reliable mass spectrometry evidence of their existence. In this endeavor, an in depth analysis of shotgun experiments might represent a valuable resource to select a biological matrix in design validation experiments. In this work, we used all the proteomic experiments from the NCI60 cell lines and applied an integrative approach based on the results obtained from Comet, Mascot, OMSSA, and X!Tandem. This workflow benefits from the complementarity of these search engines to increase the proteome coverage. Five missing proteins C-HPP guidelines compliant were identified, although further validation is needed. Moreover, 165 missing proteins were detected with only one unique peptide, and their functional analysis supported their participation in cellular pathways as was also proposed in other studies. Finally, we performed a combined analysis of the gene expression levels and the proteomic identifications from the common cell lines between the NCI60 and the CCLE project to suggest alternatives for further validation of missing protein observations.

摘要

人类蛋白质组计划(HPP)旨在破译人类蛋白质组的完整图谱。在过去的几年中,HPP 团队进行了大量努力,致力于实验检测缺失的蛋白质,这些蛋白质缺乏可靠的质谱证据证明其存在。在这一努力中,对鸟枪法实验的深入分析可能代表了选择设计验证实验中生物基质的有价值资源。在这项工作中,我们使用了 NCI60 细胞系的所有蛋白质组学实验,并应用了基于 Comet、Mascot、OMSSA 和 X!Tandem 结果的综合方法。这种工作流程受益于这些搜索引擎的互补性,以提高蛋白质组覆盖率。符合 C-HPP 指南的 5 种缺失蛋白被鉴定出来,尽管还需要进一步验证。此外,还检测到 165 种仅有一种独特肽的缺失蛋白,它们的功能分析支持它们参与细胞途径,这在其他研究中也有提出。最后,我们对 NCI60 和 CCLE 项目中常见细胞系的基因表达水平和蛋白质组鉴定进行了综合分析,为进一步验证缺失蛋白的观察结果提出了替代方案。

https://cdn.ncbi.nlm.nih.gov/pmc/blobs/e706/5737412/a8808ac21c95/pr-2017-00388x_0011.jpg
https://cdn.ncbi.nlm.nih.gov/pmc/blobs/e706/5737412/101a236f8859/pr-2017-00388x_0001.jpg
https://cdn.ncbi.nlm.nih.gov/pmc/blobs/e706/5737412/4c8a51fcb934/pr-2017-00388x_0002.jpg
https://cdn.ncbi.nlm.nih.gov/pmc/blobs/e706/5737412/650769ab6b7d/pr-2017-00388x_0003.jpg
https://cdn.ncbi.nlm.nih.gov/pmc/blobs/e706/5737412/f8697e302cad/pr-2017-00388x_0004.jpg
https://cdn.ncbi.nlm.nih.gov/pmc/blobs/e706/5737412/add56bee5731/pr-2017-00388x_0005.jpg
https://cdn.ncbi.nlm.nih.gov/pmc/blobs/e706/5737412/58b66de3470e/pr-2017-00388x_0006.jpg
https://cdn.ncbi.nlm.nih.gov/pmc/blobs/e706/5737412/a92033a0f2e9/pr-2017-00388x_0007.jpg
https://cdn.ncbi.nlm.nih.gov/pmc/blobs/e706/5737412/6a048c6f837f/pr-2017-00388x_0008.jpg
https://cdn.ncbi.nlm.nih.gov/pmc/blobs/e706/5737412/0334557e8e3a/pr-2017-00388x_0009.jpg
https://cdn.ncbi.nlm.nih.gov/pmc/blobs/e706/5737412/33ef63ed073a/pr-2017-00388x_0010.jpg
https://cdn.ncbi.nlm.nih.gov/pmc/blobs/e706/5737412/a8808ac21c95/pr-2017-00388x_0011.jpg
https://cdn.ncbi.nlm.nih.gov/pmc/blobs/e706/5737412/101a236f8859/pr-2017-00388x_0001.jpg
https://cdn.ncbi.nlm.nih.gov/pmc/blobs/e706/5737412/4c8a51fcb934/pr-2017-00388x_0002.jpg
https://cdn.ncbi.nlm.nih.gov/pmc/blobs/e706/5737412/650769ab6b7d/pr-2017-00388x_0003.jpg
https://cdn.ncbi.nlm.nih.gov/pmc/blobs/e706/5737412/f8697e302cad/pr-2017-00388x_0004.jpg
https://cdn.ncbi.nlm.nih.gov/pmc/blobs/e706/5737412/add56bee5731/pr-2017-00388x_0005.jpg
https://cdn.ncbi.nlm.nih.gov/pmc/blobs/e706/5737412/58b66de3470e/pr-2017-00388x_0006.jpg
https://cdn.ncbi.nlm.nih.gov/pmc/blobs/e706/5737412/a92033a0f2e9/pr-2017-00388x_0007.jpg
https://cdn.ncbi.nlm.nih.gov/pmc/blobs/e706/5737412/6a048c6f837f/pr-2017-00388x_0008.jpg
https://cdn.ncbi.nlm.nih.gov/pmc/blobs/e706/5737412/0334557e8e3a/pr-2017-00388x_0009.jpg
https://cdn.ncbi.nlm.nih.gov/pmc/blobs/e706/5737412/33ef63ed073a/pr-2017-00388x_0010.jpg
https://cdn.ncbi.nlm.nih.gov/pmc/blobs/e706/5737412/a8808ac21c95/pr-2017-00388x_0011.jpg

相似文献

1
Enhanced Missing Proteins Detection in NCI60 Cell Lines Using an Integrative Search Engine Approach.利用集成搜索引擎方法增强 NCI60 细胞系中缺失蛋白的检测。
J Proteome Res. 2017 Dec 1;16(12):4374-4390. doi: 10.1021/acs.jproteome.7b00388. Epub 2017 Oct 11.
2
In-depth analysis of protein inference algorithms using multiple search engines and well-defined metrics.使用多个搜索引擎和明确的指标对蛋白质推断算法进行深入分析。
J Proteomics. 2017 Jan 6;150:170-182. doi: 10.1016/j.jprot.2016.08.002. Epub 2016 Aug 4.
3
Protein-Level Integration Strategy of Multiengine MS Spectra Search Results for Higher Confidence and Sequence Coverage.多引擎 MS 谱图搜索结果的蛋白质水平整合策略,以提高可信度和序列覆盖率。
J Proteome Res. 2017 Dec 1;16(12):4446-4454. doi: 10.1021/acs.jproteome.7b00463. Epub 2017 Oct 11.
4
Optimization of Search Engines and Postprocessing Approaches to Maximize Peptide and Protein Identification for High-Resolution Mass Data.优化搜索引擎和后处理方法以最大化高分辨率质谱数据的肽段和蛋白质鉴定
J Proteome Res. 2015 Nov 6;14(11):4662-73. doi: 10.1021/acs.jproteome.5b00536. Epub 2015 Sep 30.
5
Challenges of the Human Proteome Project: 10-Year Experience of the Russian Consortium.人类蛋白质组计划的挑战:俄罗斯联盟 10 年的经验。
J Proteome Res. 2019 Dec 6;18(12):4206-4214. doi: 10.1021/acs.jproteome.9b00358. Epub 2019 Oct 28.
6
Large-Scale Reanalysis of Publicly Available HeLa Cell Proteomics Data in the Context of the Human Proteome Project.大规模重新分析人类蛋白质组计划背景下公开可用的 HeLa 细胞蛋白质组学数据。
J Proteome Res. 2018 Dec 7;17(12):4160-4170. doi: 10.1021/acs.jproteome.8b00392. Epub 2018 Sep 17.
7
Deep Dive on the Proteome of Human Cerebrospinal Fluid: A Valuable Data Resource for Biomarker Discovery and Missing Protein Identification.深入研究人类脑脊液蛋白质组:生物标志物发现和缺失蛋白鉴定的有价值数据资源。
J Proteome Res. 2018 Dec 7;17(12):4113-4126. doi: 10.1021/acs.jproteome.8b00300. Epub 2018 Aug 31.
8
Integrated Proteomic Pipeline Using Multiple Search Engines for a Proteogenomic Study with a Controlled Protein False Discovery Rate.使用多种搜索引擎的集成蛋白质组学流程用于蛋白质基因组学研究并控制蛋白质错误发现率
J Proteome Res. 2016 Nov 4;15(11):4082-4090. doi: 10.1021/acs.jproteome.6b00376. Epub 2016 Aug 30.
9
Identification and Validation of Human Missing Proteins and Peptides in Public Proteome Databases: Data Mining Strategy.公共蛋白质组数据库中人类缺失蛋白和肽的鉴定和验证:数据挖掘策略。
J Proteome Res. 2017 Dec 1;16(12):4403-4414. doi: 10.1021/acs.jproteome.7b00423. Epub 2017 Oct 31.
10
Tandem Mass Spectrum Sequencing: An Alternative to Database Search Engines in Shotgun Proteomics.串联质谱测序:鸟枪法蛋白质组学中数据库搜索引擎的替代方法
Adv Exp Med Biol. 2016;919:217-226. doi: 10.1007/978-3-319-41448-5_10.

引用本文的文献

1
UniScore, a Unified and Universal Measure for Peptide Identification by Multiple Search Engines.UniScore,一种用于通过多个搜索引擎进行肽段鉴定的统一通用度量标准。
Mol Cell Proteomics. 2025 Jun 2;24(7):101010. doi: 10.1016/j.mcpro.2025.101010.
2
To Fly, or Not to Fly, That Is the Question: A Deep Learning Model for Peptide Detectability Prediction in Mass Spectrometry.飞行,还是不飞行,这是个问题:一种用于质谱中肽段可检测性预测的深度学习模型。
J Proteome Res. 2025 Jun 6;24(6):2709-2726. doi: 10.1021/acs.jproteome.4c00973. Epub 2025 May 9.
3
DeepPD: A Deep Learning Method for Predicting Peptide Detectability Based on Multi-feature Representation and Information Bottleneck.

本文引用的文献

1
The neXtProt peptide uniqueness checker: a tool for the proteomics community.NextProt 肽独特性检查器:蛋白质组学社区的工具。
Bioinformatics. 2017 Nov 1;33(21):3471-3472. doi: 10.1093/bioinformatics/btx318.
2
The susceptibility gene screening in a Chinese high-altitude pulmonary edema family by whole-exome sequencing.通过全外显子组测序对一个中国高原肺水肿家系进行易感性基因筛查。
Yi Chuan. 2017 Feb 20;39(2):135-142. doi: 10.16288/j.yczz.16-288.
3
Accelerating the search for the missing proteins in the human proteome.加速寻找人类蛋白质组中的缺失蛋白质。
DeepPD:一种基于多特征表示和信息瓶颈预测肽段可检测性的深度学习方法。
Interdiscip Sci. 2025 Mar;17(1):200-214. doi: 10.1007/s12539-024-00665-4. Epub 2024 Dec 11.
4
PowerNovo: de novo peptide sequencing via tandem mass spectrometry using an ensemble of transformer and BERT models.PowerNovo:基于Transformer 和 BERT 模型集的串联质谱新肽测序。
Sci Rep. 2024 Jul 1;14(1):15000. doi: 10.1038/s41598-024-65861-0.
5
DbyDeep: Exploration of MS-Detectable Peptides via Deep Learning.DbyDeep:基于深度学习的 MS 可检测肽的探索。
Anal Chem. 2023 Aug 1;95(30):11193-11200. doi: 10.1021/acs.analchem.3c00460. Epub 2023 Jul 17.
6
PD-BertEDL: An Ensemble Deep Learning Method Using BERT and Multivariate Representation to Predict Peptide Detectability.PD-BertEDL:一种使用 BERT 和多元表示的集成深度学习方法,用于预测肽可检测性。
Int J Mol Sci. 2022 Oct 16;23(20):12385. doi: 10.3390/ijms232012385.
7
Prediction of Peptide Detectability Based on CapsNet and Convolutional Block Attention Module.基于 CapsNet 和卷积块注意力模块的肽可检测性预测。
Int J Mol Sci. 2021 Nov 8;22(21):12080. doi: 10.3390/ijms222112080.
Nat Commun. 2017 Jan 24;8:14271. doi: 10.1038/ncomms14271.
4
The neXtProt knowledgebase on human proteins: 2017 update.人类蛋白质的neXtProt知识库:2017年更新。
Nucleic Acids Res. 2017 Jan 4;45(D1):D177-D182. doi: 10.1093/nar/gkw1062. Epub 2016 Nov 29.
5
Progress and pitfalls in finding the 'missing proteins' from the human proteome map.
Expert Rev Proteomics. 2017 Jan;14(1):9-14. doi: 10.1080/14789450.2017.1265450. Epub 2016 Dec 2.
6
Detection of Missing Proteins Using the PRIDE Database as a Source of Mass Spectrometry Evidence.以PRIDE数据库作为质谱证据来源检测缺失蛋白质
J Proteome Res. 2016 Nov 4;15(11):4101-4115. doi: 10.1021/acs.jproteome.6b00437. Epub 2016 Sep 15.
7
Tiered Human Integrated Sequence Search Databases for Shotgun Proteomics.用于鸟枪法蛋白质组学的分层人类整合序列搜索数据库
J Proteome Res. 2016 Nov 4;15(11):4091-4100. doi: 10.1021/acs.jproteome.6b00445. Epub 2016 Sep 12.
8
Highlights of the Biology and Disease-driven Human Proteome Project, 2015-2016.2015 - 2016年生物与疾病驱动的人类蛋白质组计划亮点
J Proteome Res. 2016 Nov 4;15(11):3979-3987. doi: 10.1021/acs.jproteome.6b00444. Epub 2016 Sep 20.
9
Integrated Proteomic Pipeline Using Multiple Search Engines for a Proteogenomic Study with a Controlled Protein False Discovery Rate.使用多种搜索引擎的集成蛋白质组学流程用于蛋白质基因组学研究并控制蛋白质错误发现率
J Proteome Res. 2016 Nov 4;15(11):4082-4090. doi: 10.1021/acs.jproteome.6b00376. Epub 2016 Aug 30.
10
Deep Coverage Proteomics Identifies More Low-Abundance Missing Proteins in Human Testis Tissue with Q-Exactive HF Mass Spectrometer.深度覆盖蛋白质组学利用Q-Exactive HF质谱仪鉴定出人类睾丸组织中更多低丰度缺失蛋白。
J Proteome Res. 2016 Nov 4;15(11):3988-3997. doi: 10.1021/acs.jproteome.6b00390. Epub 2016 Aug 29.