Suppr超能文献

五种野生小扁豆品种以及在水分充足条件下种植的(Medik.)的根系特征、结瘤情况和根系在土壤中的分布

Root Traits, Nodulation and Root Distribution in Soil for Five Wild Lentil Species and (Medik.) Grown under Well-Watered Conditions.

作者信息

Gorim Linda Y, Vandenberg Albert

机构信息

Department of Plant Sciences, College of Agriculture and Bioresources, University of Saskatchewan, SaskatoonSK, Canada.

出版信息

Front Plant Sci. 2017 Sep 25;8:1632. doi: 10.3389/fpls.2017.01632. eCollection 2017.

Abstract

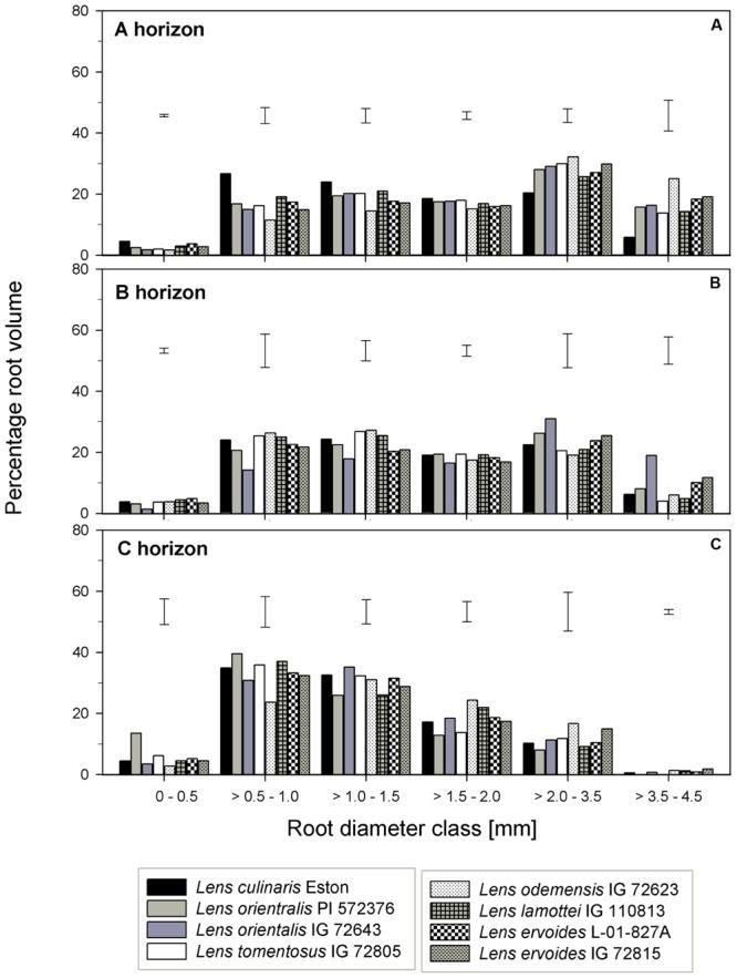
The efficient use of resources such as water and nutrients by plants is increasingly important as the world population food demand continues to grow. With the increased production of lentil in the temperate zones of North America, improvement in yield needs to be maintained. The use of wild lentil genotypes as sources of genetic diversity for introgression into cultivated lentil is an important breeding strategy, but little is known about their root systems. We evaluated the root systems of five wild lentil species and under fully watered conditions. Plants were grown in 60 cm tubes containing equal volumes of soil collected from the reconstructed A, B, and C horizons. Significant differences were observed for root traits and fine root distribution between and within species and the proportion of root biomass partitioned into each soil layer was unique for each genotype. We also observed variability in nodule number and nodule shape within and between genotypes. Some genotypes more efficiently used water for either biomass or seed production. The allocation of resources to seed production also varied between genotypes. These observations could have impact on the design of future lentil breeding in the context of strategies for managing changes in rainfall amount and distribution for lentil production ecosystems.

摘要

随着世界人口对粮食的需求持续增长,植物对水和养分等资源的高效利用变得越来越重要。随着北美温带地区小扁豆产量的增加,需要持续提高产量。利用野生小扁豆基因型作为遗传多样性来源导入栽培小扁豆是一项重要的育种策略,但对其根系了解甚少。我们在充分浇水的条件下评估了五种野生小扁豆物种的根系。植株种植在60厘米长的管子中,管内装有从重建的A、B和C层土壤中采集的等量土壤。在种间和种内,根系性状和细根分布存在显著差异,每种基因型分配到各土层的根生物量比例都是独特的。我们还观察到基因型内和基因型间根瘤数量和根瘤形状的变异性。一些基因型在生物量或种子生产方面能更有效地利用水分。基因型之间用于种子生产的资源分配也有所不同。这些观察结果可能会影响未来小扁豆育种的设计,尤其是在应对小扁豆生产生态系统降雨量变化及其分布的管理策略方面。

https://cdn.ncbi.nlm.nih.gov/pmc/blobs/5911/5622593/59674e33b577/fpls-08-01632-g001.jpg

文献AI研究员

20分钟写一篇综述,助力文献阅读效率提升50倍。

立即体验

用中文搜PubMed

大模型驱动的PubMed中文搜索引擎

马上搜索

文档翻译

学术文献翻译模型,支持多种主流文档格式。

立即体验