Suppr超能文献

腹部肥胖与结直肠癌风险:前瞻性研究的系统评价和荟萃分析。

Abdominal obesity and colorectal cancer risk: systematic review and meta-analysis of prospective studies.

机构信息

Department of General Surgery, The People's Hospital of Yuxi City, The 6th Affiliated Hospital of Kunming Medical University, Yuxi 653100, China.

Department of Gastroenterology, The First Affiliated Hospital of Kunming Medical University, Kunming 650032, China.

出版信息

Biosci Rep. 2017 Dec 12;37(6). doi: 10.1042/BSR20170945. Print 2017 Dec 22.

Abstract

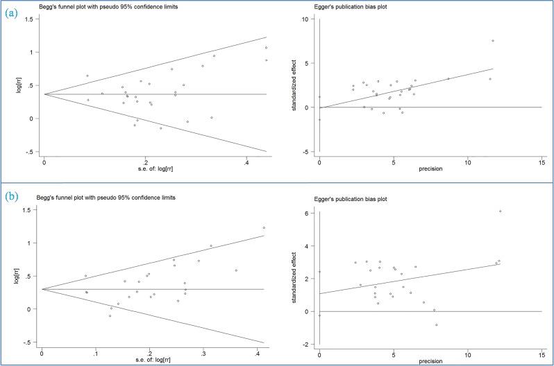
The association between abdominal obesity (as measured by waist circumference (WC) and waist-to-hip ratio (WHR)) and colorectal cancer (CRC) has not been fully quantified, and the magnitude of CRC risk associated with abdominal obesity is still unclear. A meta-analysis of prospective studies was performed to elucidate the CRC risk associated with abdominal obesity. Pubmed and Embase were searched for studies assessing the association between abdominal obesity and CRC risk. Relative risks (RRs) with 95% confidence intervals (95% CIs) were pooled using random-effects model of meta-analysis. Nineteen prospective cohort studies from eighteen publications were included in this meta-analysis. A total of 12,837 CRC cases were identified among 1,343,560 participants. Greater WC and WHR were significantly associated with increased risk of total colorectal cancer (WC: RR 1.42, 95% CI 1.30, 1.55; WHR: RR 1.39, 95% CI 1.25, 1.53), colon cancer (WC: RR 1.53, 95% CI 1.36, 1.72; WHR: 1.39, 95% CI 1.18, 1.63), and rectal cancer (WC: RR 1.20, 95% CI 1.03, 1.39; WHR: RR 1.22, 95% CI 1.05, 1.42). Subgroup analyses further identified the robustness of the association above. No obvious risk of publication bias was observed. In summary, abdominal obesity may play an important role in the development of CRC.

摘要

腹部肥胖(通过腰围 (WC) 和腰臀比 (WHR) 测量)与结直肠癌 (CRC) 之间的关联尚未得到充分量化,腹部肥胖与 CRC 风险的关联程度仍不清楚。进行了荟萃分析,以阐明与腹部肥胖相关的 CRC 风险。使用荟萃分析的随机效应模型搜索评估腹部肥胖与 CRC 风险之间关联的 Pubmed 和 Embase 研究。使用荟萃分析的随机效应模型汇总具有 95%置信区间 (95%CI) 的相对风险 (RR)。共有 18 篇出版物的 19 项前瞻性队列研究纳入了本荟萃分析。在 1343560 名参与者中,共发现 12837 例 CRC 病例。较大的 WC 和 WHR 与结直肠癌(WC:RR 1.42,95%CI 1.30,1.55;WHR:RR 1.39,95%CI 1.25,1.53)、结肠癌(WC:RR 1.53,95%CI 1.36,1.72;WHR:RR 1.39,95%CI 1.18,1.63)和直肠癌(WC:RR 1.20,95%CI 1.03,1.39;WHR:RR 1.22,95%CI 1.05,1.42)的风险显著增加有关。亚组分析进一步证实了上述关联的稳健性。未观察到明显的发表偏倚风险。总之,腹部肥胖可能在 CRC 的发展中起重要作用。

https://cdn.ncbi.nlm.nih.gov/pmc/blobs/5d62/5725611/22d5f4204f97/bsr-37-bsr20170945-g1.jpg

文献检索

告别复杂PubMed语法,用中文像聊天一样搜索,搜遍4000万医学文献。AI智能推荐,让科研检索更轻松。

立即免费搜索

文件翻译

保留排版,准确专业,支持PDF/Word/PPT等文件格式,支持 12+语言互译。

免费翻译文档

深度研究

AI帮你快速写综述,25分钟生成高质量综述,智能提取关键信息,辅助科研写作。

立即免费体验