Kim Kayoung, Han Ji Won, So Yoonseop, Seo Jiyeong, Kim You Joung, Park Joon Hyuk, Lee Seok Bum, Lee Jung Jae, Jeong Hyun-Ghang, Kim Tae Hui, Kim Ki Woong
Department of Geriatric Psychiatry, National Center for Mental Health, Seoul, Republic of KoreaDepartment of Geriatric Psychiatry, National Center for Mental Health, Seoul, Republic of Korea.
Department of Neuropsychiatry, Seoul National University Bundang Hospital, Seongnam, Republic of Korea.
Psychiatry Investig. 2017 Sep;14(5):626-639. doi: 10.4306/pi.2017.14.5.626. Epub 2017 Sep 11.
Although cognitive stimulation (CS) is one of the most popular non-pharmacological interventions for people with dementia, its efficacy is still debatable. We performed a meta-analysis of randomized controlled trials (RCTs) on the efficacy of CS in people with dementia.
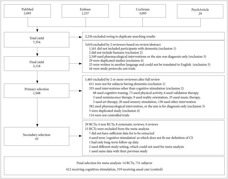
Data sources were identified by searching PubMed, MEDLINE, Embase, psychINFO, and Cochrane Reviews Library. A total of 7,354 articles were identified, and of these, 30 RCTs were selected based on the selection criteria. Of these 30 RCTs, 14 were finally included in our meta-analysis [731 participants with dementia; 412 received CS (CS group) and 319 received usual care (control group)].
We found that the people with dementia had a moderate benefit from CS. The mean difference between the CS and control groups was 2.21 [95% CI (0.93, 3.49), Z=3.38, p=0.00007] in the Alzheimer's Disease Assessment Scale-Cognition and 1.41 [95% CI (0.98, 1.84), Z=6.39, p<0.00001] in the Mini-Mental State Examination. CS also improved quality of life in people with dementia [95% CI (0.72, 3.38), Z=3.02, p=0.003].
CS is effective for improving cognition and quality of life in people with dementia; however, its effects were small to moderate.
尽管认知刺激(CS)是针对痴呆症患者最常用的非药物干预措施之一,但其疗效仍存在争议。我们对关于CS对痴呆症患者疗效的随机对照试验(RCT)进行了荟萃分析。
通过检索PubMed、MEDLINE、Embase、psychINFO和Cochrane综述库来确定数据来源。共识别出7354篇文章,其中30项RCT根据选择标准被选中。在这30项RCT中,最终14项被纳入我们的荟萃分析[731名痴呆症患者;412人接受CS(CS组),319人接受常规护理(对照组)]。
我们发现痴呆症患者从CS中获得了中度益处。在阿尔茨海默病评估量表 - 认知方面,CS组与对照组的平均差异为2.21[95%可信区间(0.93,3.49),Z = 3.38,p = 0.00007],在简易精神状态检查表中为1.41[95%可信区间(0.98,1.84),Z = 6.39,p < 0.00001]。CS还改善了痴呆症患者的生活质量[95%可信区间(0.72,3.38),Z = 3.02,p = 0.003]。
CS对改善痴呆症患者的认知和生活质量有效;然而,其效果为小到中度。