Suppr超能文献

基于半监督学习框架的极值区域细胞检测

Cell Detection Using Extremal Regions in a Semisupervised Learning Framework.

机构信息

Scientific Computing and Imaging Institute, University of Utah, Salt Lake City, UT 84112, USA.

Electrical and Computer Engineering Department, University of Utah, Salt Lake City, UT 84112, USA.

出版信息

J Healthc Eng. 2017;2017:4080874. doi: 10.1155/2017/4080874. Epub 2017 Jun 14.

Abstract

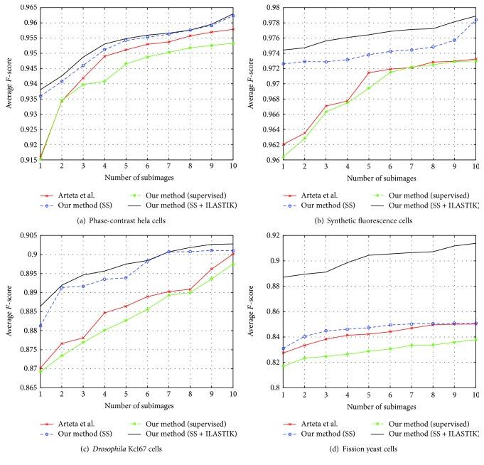
This paper discusses an algorithm to build a semisupervised learning framework for detecting cells. The cell candidates are represented as extremal regions drawn from a hierarchical image representation. Training a classifier for cell detection using supervised approaches relies on a large amount of training data, which requires a lot of effort and time. We propose a semisupervised approach to reduce this burden. The set of extremal regions is generated using a maximally stable extremal region (MSER) detector. A subset of nonoverlapping regions with high similarity to the cells of interest is selected. Using the tree built from the MSER detector, we develop a novel differentiable unsupervised loss term that enforces the nonoverlapping constraint with the learned function. Our algorithm requires very few examples of cells with simple dot annotations for training. The supervised and unsupervised losses are embedded in a Bayesian framework for probabilistic learning.

摘要

本文讨论了一种用于构建细胞检测半监督学习框架的算法。候选细胞表示为从分层图像表示中提取的极值区域。使用监督方法训练细胞检测分类器依赖于大量的训练数据,这需要大量的努力和时间。我们提出了一种半监督方法来减轻这种负担。极值区域集是使用最大稳定极值区域(MSER)检测器生成的。选择与感兴趣的细胞具有高相似度的非重叠区域的子集。使用从 MSER 检测器构建的树,我们开发了一种新颖的可区分的无监督损失项,该损失项使用学习到的函数强制非重叠约束。我们的算法仅需要少量带有简单点注释的细胞示例进行训练。监督和无监督损失嵌入到贝叶斯概率学习框架中。

https://cdn.ncbi.nlm.nih.gov/pmc/blobs/9492/5488495/f0532a932b66/JHE2017-4080874.001.jpg

文献检索

告别复杂PubMed语法,用中文像聊天一样搜索,搜遍4000万医学文献。AI智能推荐,让科研检索更轻松。

立即免费搜索

文件翻译

保留排版,准确专业,支持PDF/Word/PPT等文件格式,支持 12+语言互译。

免费翻译文档

深度研究

AI帮你快速写综述,25分钟生成高质量综述,智能提取关键信息,辅助科研写作。

立即免费体验