Centre of Microbial and Plant Genetics, KU Leuven, 3001 Heverlee, Belgium.
BIOSYST-MEBIOS, KU Leuven, 3001 Heverlee, Belgium.
Oxid Med Cell Longev. 2017;2017:4064628. doi: 10.1155/2017/4064628. Epub 2017 Oct 10.
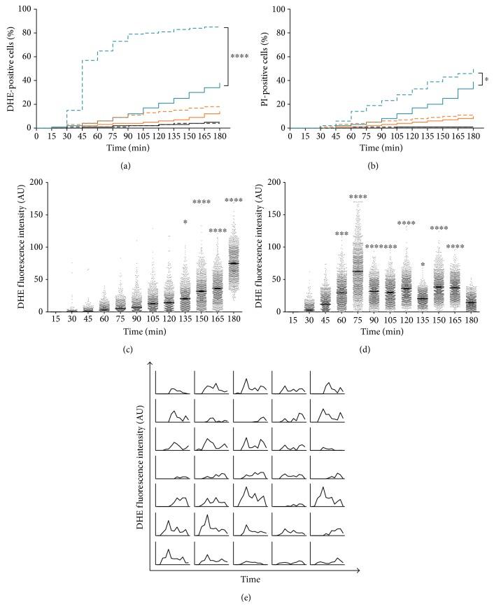
Amphotericin B (AmB) induces oxidative and nitrosative stresses, characterized by production of reactive oxygen and nitrogen species, in fungi. Yet, how these toxic species contribute to AmB-induced fungal cell death is unclear. We investigated the role of superoxide and nitric oxide radicals in AmB's fungicidal activity in using a digital microfluidic platform, which enabled monitoring individual cells at a spatiotemporal resolution, and plating assays. The nitric oxide synthase inhibitor L-NAME was used to interfere with nitric oxide radical production. L-NAME increased and accelerated AmB-induced accumulation of superoxide radicals, membrane permeabilization, and loss of proliferative capacity in . In contrast, the nitric oxide donor S-nitrosoglutathione inhibited AmB's action. Hence, superoxide radicals were important for AmB's fungicidal action, whereas nitric oxide radicals mediated tolerance towards AmB. Finally, also the human pathogens and were more susceptible to AmB in the presence of L-NAME, pointing to the potential of AmB-L-NAME combination therapy to treat fungal infections.
两性霉素 B(AmB)在真菌中诱导氧化和硝化应激,其特征是产生活性氧和氮物种。然而,这些毒性物质如何导致 AmB 诱导的真菌细胞死亡尚不清楚。我们使用数字微流控平台研究了超氧自由基和一氧化氮自由基在 AmB 杀真菌活性中的作用,该平台能够以时空分辨率监测单个细胞,并进行平板测定。使用一氧化氮合酶抑制剂 L-NAME 干扰一氧化氮自由基的产生。L-NAME 增加并加速了两性霉素 B 诱导的 中积累的超氧自由基、膜通透性丧失和增殖能力的丧失。相比之下,一氧化氮供体 S-亚硝基谷胱甘肽抑制了 AmB 的作用。因此,超氧自由基对于 AmB 的杀真菌作用很重要,而一氧化氮自由基介导了对 AmB 的耐受性。最后,在存在 L-NAME 的情况下,人类病原体 和 对 AmB 也更敏感,这表明 AmB-L-NAME 联合治疗可能有潜力治疗真菌感染。