Suppr超能文献

基于定量连续模型的 DNA 混合物解释开源软件的开发与验证。

Development and validation of open-source software for DNA mixture interpretation based on a quantitative continuous model.

机构信息

Department of Forensic Medicine, Kyoto University Graduate School of Medicine, Kyoto, Japan.

Forensic Science Laboratory, Kyoto Prefectural Police Headquarters, Kyoto, Japan.

出版信息

PLoS One. 2017 Nov 17;12(11):e0188183. doi: 10.1371/journal.pone.0188183. eCollection 2017.

Abstract

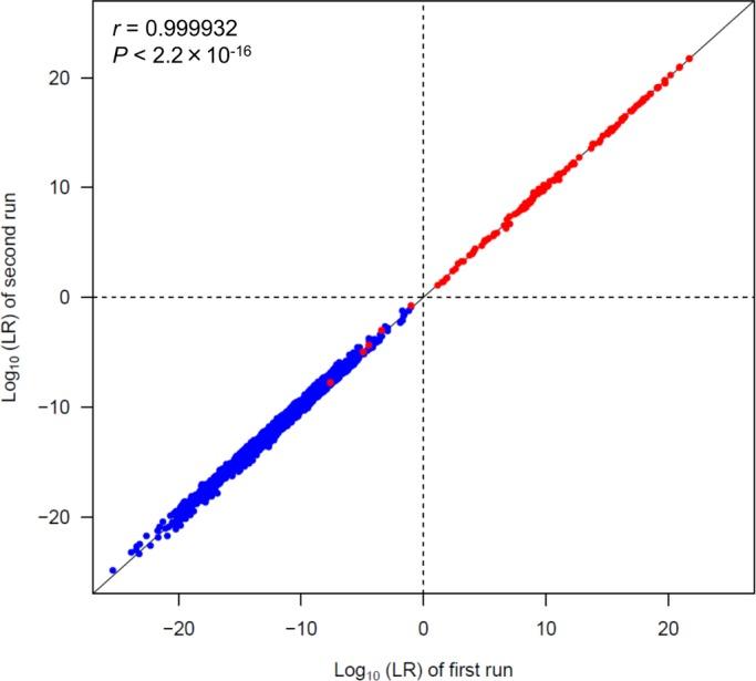
In criminal investigations, forensic scientists need to evaluate DNA mixtures. The estimation of the number of contributors and evaluation of the contribution of a person of interest (POI) from these samples are challenging. In this study, we developed a new open-source software "Kongoh" for interpreting DNA mixture based on a quantitative continuous model. The model uses quantitative information of peak heights in the DNA profile and considers the effect of artifacts and allelic drop-out. By using this software, the likelihoods of 1-4 persons' contributions are calculated, and the most optimal number of contributors is automatically determined; this differs from other open-source software. Therefore, we can eliminate the need to manually determine the number of contributors before the analysis. Kongoh also considers allele- or locus-specific effects of biological parameters based on the experimental data. We then validated Kongoh by calculating the likelihood ratio (LR) of a POI's contribution in true contributors and non-contributors by using 2-4 person mixtures analyzed through a 15 short tandem repeat typing system. Most LR values obtained from Kongoh during true-contributor testing strongly supported the POI's contribution even for small amounts or degraded DNA samples. Kongoh correctly rejected a false hypothesis in the non-contributor testing, generated reproducible LR values, and demonstrated higher accuracy of the estimated number of contributors than another software based on the quantitative continuous model. Therefore, Kongoh is useful in accurately interpreting DNA evidence like mixtures and small amounts or degraded DNA samples.

摘要

在刑事侦查中,法庭科学家需要评估 DNA 混合物。从这些样本中估计贡献者的数量并评估感兴趣的个体(POI)的贡献是具有挑战性的。在这项研究中,我们开发了一种新的开源软件“Kongoh”,用于基于定量连续模型解释 DNA 混合物。该模型使用 DNA 图谱中峰高的定量信息,并考虑了伪影和等位基因缺失的影响。通过使用该软件,可以计算 1-4 个人的贡献可能性,并自动确定最佳贡献者数量;这与其他开源软件不同。因此,我们可以在分析之前消除手动确定贡献者数量的需要。Kongoh 还根据实验数据考虑了生物参数的等位基因或基因座特异性效应。然后,我们通过使用 15 个短串联重复分型系统分析 2-4 人混合物,计算 POI 贡献的似然比(LR),在真实贡献者和非贡献者中验证了 Kongoh。在真实贡献者测试中,Kongoh 获得的大多数 LR 值强烈支持 POI 的贡献,即使是对于少量或降解的 DNA 样本也是如此。在非贡献者测试中,Kongoh 正确拒绝了错误的假设,生成了可重复的 LR 值,并表现出比基于定量连续模型的另一种软件更高的估计贡献者数量的准确性。因此,Kongoh 可用于准确解释 DNA 证据,如混合物和少量或降解的 DNA 样本。

https://cdn.ncbi.nlm.nih.gov/pmc/blobs/9fde/5693437/0f898ae8bf58/pone.0188183.g001.jpg

文献AI研究员

20分钟写一篇综述,助力文献阅读效率提升50倍。

立即体验

用中文搜PubMed

大模型驱动的PubMed中文搜索引擎

马上搜索

文档翻译

学术文献翻译模型,支持多种主流文档格式。

立即体验