Suppr超能文献

一项在成人中研究新型无细胞百日咳(aP)和减少破伤风-白喉-无细胞百日咳(TdaP)加强疫苗的 I 期、随机、对照、剂量范围研究。

A phase I, randomized, controlled, dose-ranging study of investigational acellular pertussis (aP) and reduced tetanus-diphtheria-acellular pertussis (TdaP) booster vaccines in adults.

机构信息

a Centre for Vaccinology, Ghent University and University Hospital , Ghent , Belgium.

b GSK, Vaccines , Siena , Italy.

出版信息

Hum Vaccin Immunother. 2018 Jan 2;14(1):45-58. doi: 10.1080/21645515.2017.1385686. Epub 2017 Nov 27.

Abstract

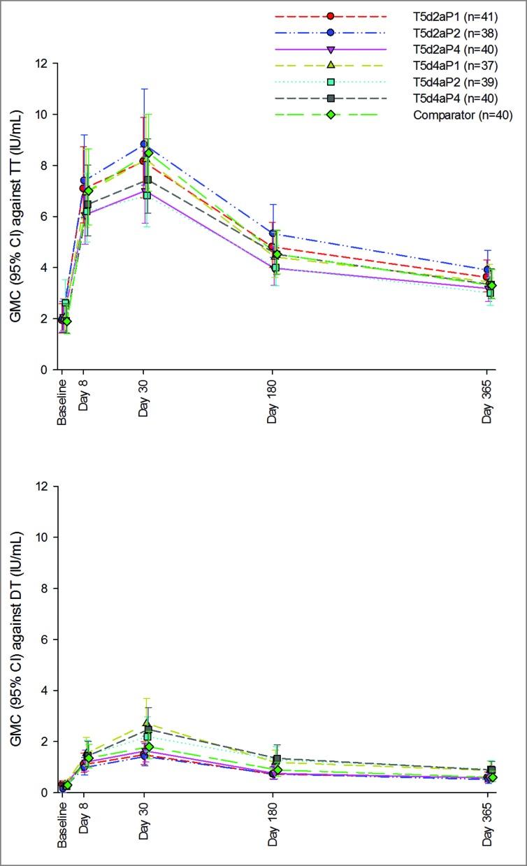
Despite high vaccination coverage worldwide, pertussis has re-emerged in many countries. This randomized, controlled, observer-blind phase I study and extension study in Belgium (March 2012-June 2015) assessed safety and immunogenicity of investigational acellular pertussis vaccines containing genetically detoxified pertussis toxin (PT) (NCT01529645; NCT02382913). 420 healthy adults (average age: 26.8 ± 5.5 years, 60% female) were randomized to 1 of 10 vaccine groups: 3 investigational aP vaccines (containing pertussis antigens PT, filamentous hemagglutinin [FHA] and pertactin [PRN] at different dosages), 6 investigational TdaP (additionally containing tetanus toxoid [TT] and diphtheria toxoid [DT]), and 1 TdaP comparator containing chemically inactivated PT. Antibody responses were evaluated on days 1, 8, 30, 180, 365, and approximately 3 years post-booster vaccination. Cell-mediated immune responses and PT neutralization were evaluated in a subset of participants in pre-selected groups. Local and systemic adverse events (AEs), and unsolicited AEs were collected through day 7 and 30, respectively; serious AEs and AEs leading to study withdrawal were collected through day 365 post-vaccination. Antibody responses against pertussis antigens peaked at day 30 post-vaccination and then declined but remained above baseline level at approximately 3 years post-vaccination. Responses to FHA and PRN were correlated to antigen dose. Antibody responses specific to PT, toxin neutralization activity and persistence induced by investigational formulations were similar or significantly higher than the licensed vaccine, despite lower PT doses. Of 15 serious AEs, none were considered vaccination-related; 1 led to study withdrawal (premature labor, day 364; aP4 group). This study confirmed the potential benefits of genetically detoxified PT antigen. All investigational study formulations were well tolerated.

摘要

尽管全球疫苗接种率很高,但百日咳在许多国家再次出现。这项在比利时进行的随机、对照、观察者盲法的 I 期研究和扩展研究(2012 年 3 月至 2015 年 6 月)评估了含有基因解毒百日咳毒素(PT)的新型无细胞百日咳疫苗的安全性和免疫原性(NCT01529645;NCT02382913)。420 名健康成年人(平均年龄:26.8±5.5 岁,60%为女性)被随机分配到 10 个疫苗组中的 1 个:3 种新型 aP 疫苗(含有不同剂量的 PT、丝状血凝素[FHA]和 pertactin[PRN])、6 种新型 TdaP(另外含有破伤风类毒素[TT]和白喉类毒素[DT])和 1 种 TdaP 对照疫苗,含有化学失活的 PT。在接种后第 1、8、30、180、365 天以及大约 3 年进行抗体应答评估。在预先选择的组中,评估细胞介导的免疫反应和 PT 中和。在接种后第 7 天和第 30 天分别收集局部和全身不良事件(AE)和未报告的 AE;在接种后第 365 天收集严重 AE 和导致研究退出的 AE。接种疫苗后第 30 天,针对百日咳抗原的抗体应答达到峰值,然后下降,但在接种后约 3 年仍保持在基线以上。FHA 和 PRN 的抗体应答与抗原剂量相关。新型制剂诱导的针对 PT、毒素中和活性和持久性的抗体应答与许可疫苗相似或显著更高,尽管 PT 剂量较低。15 例严重 AE 中,无 1 例被认为与疫苗接种相关;1 例导致研究退出(早产,第 364 天;aP4 组)。本研究证实了基因解毒 PT 抗原的潜在益处。所有新型研究制剂均具有良好的耐受性。

https://cdn.ncbi.nlm.nih.gov/pmc/blobs/32bf/5791588/7f57ee160e30/khvi-14-01-1385686-g001.jpg

文献AI研究员

20分钟写一篇综述,助力文献阅读效率提升50倍。

立即体验

用中文搜PubMed

大模型驱动的PubMed中文搜索引擎

马上搜索

文档翻译

学术文献翻译模型,支持多种主流文档格式。

立即体验