Suppr超能文献

一种基于配准的新型方法,用于从临床定量CT预测小梁骨结构:全面分析

A novel registration-based methodology for prediction of trabecular bone fabric from clinical QCT: A comprehensive analysis.

作者信息

Chandran Vimal, Reyes Mauricio, Zysset Philippe

机构信息

Institute of Surgical Technology and Biomechanics, University of Bern, Bern, Switzerland.

出版信息

PLoS One. 2017 Nov 27;12(11):e0187874. doi: 10.1371/journal.pone.0187874. eCollection 2017.

Abstract

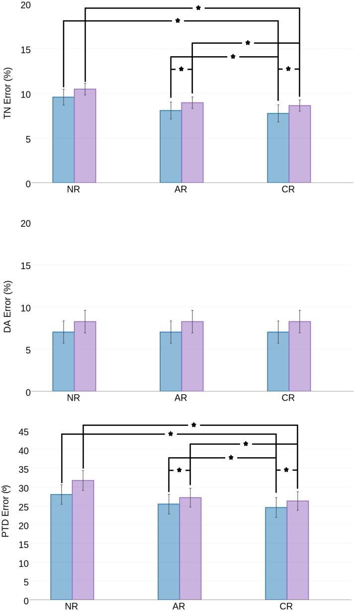
Osteoporosis leads to hip fractures in aging populations and is diagnosed by modern medical imaging techniques such as quantitative computed tomography (QCT). Hip fracture sites involve trabecular bone, whose strength is determined by volume fraction and orientation, known as fabric. However, bone fabric cannot be reliably assessed in clinical QCT images of proximal femur. Accordingly, we propose a novel registration-based estimation of bone fabric designed to preserve tensor properties of bone fabric and to map bone fabric by a global and local decomposition of the gradient of a non-rigid image registration transformation. Furthermore, no comprehensive analysis on the critical components of this methodology has been previously conducted. Hence, the aim of this work was to identify the best registration-based strategy to assign bone fabric to the QCT image of a patient's proximal femur. The normalized correlation coefficient and curvature-based regularization were used for image-based registration and the Frobenius norm of the stretch tensor of the local gradient was selected to quantify the distance among the proximal femora in the population. Based on this distance, closest, farthest and mean femora with a distinction of sex were chosen as alternative atlases to evaluate their influence on bone fabric prediction. Second, we analyzed different tensor mapping schemes for bone fabric prediction: identity, rotation-only, rotation and stretch tensor. Third, we investigated the use of a population average fabric atlas. A leave one out (LOO) evaluation study was performed with a dual QCT and HR-pQCT database of 36 pairs of human femora. The quality of the fabric prediction was assessed with three metrics, the tensor norm (TN) error, the degree of anisotropy (DA) error and the angular deviation of the principal tensor direction (PTD). The closest femur atlas (CTP) with a full rotation (CR) for fabric mapping delivered the best results with a TN error of 7.3 ± 0.9%, a DA error of 6.6 ± 1.3% and a PTD error of 25 ± 2°. The closest to the population mean femur atlas (MTP) using the same mapping scheme yielded only slightly higher errors than CTP for substantially less computing efforts. The population average fabric atlas yielded substantially higher errors than the MTP with the CR mapping scheme. Accounting for sex did not bring any significant improvements. The identified fabric mapping methodology will be exploited in patient-specific QCT-based finite element analysis of the proximal femur to improve the prediction of hip fracture risk.

摘要

骨质疏松症会导致老年人群发生髋部骨折,可通过定量计算机断层扫描(QCT)等现代医学成像技术进行诊断。髋部骨折部位涉及松质骨,其强度由体积分数和方向决定,即结构。然而,在近端股骨的临床QCT图像中无法可靠地评估骨结构。因此,我们提出了一种基于配准的骨结构估计新方法,旨在保留骨结构的张量特性,并通过非刚性图像配准变换梯度的全局和局部分解来映射骨结构。此外,此前尚未对该方法的关键组成部分进行全面分析。因此,本研究的目的是确定将骨结构分配到患者近端股骨QCT图像的最佳基于配准的策略。使用归一化相关系数和基于曲率的正则化进行基于图像的配准,并选择局部梯度拉伸张量的Frobenius范数来量化人群中近端股骨之间的距离。基于此距离,选择性别区分的最接近、最远和平均股骨作为替代图谱,以评估它们对骨结构预测的影响。其次,我们分析了用于骨结构预测的不同张量映射方案:恒等、仅旋转、旋转和拉伸张量。第三,我们研究了使用人群平均结构图谱。使用36对人股骨的双能QCT和高分辨率外周定量CT(HR-pQCT)数据库进行了留一法(LOO)评估研究。使用张量范数(TN)误差、各向异性程度(DA)误差和主张量方向(PTD)的角度偏差这三个指标评估结构预测的质量。用于结构映射的全旋转(CR)的最接近股骨图谱(CTP)给出了最佳结果,TN误差为7.3±0.9%,DA误差为6.6±1.3%,PTD误差为25±2°。使用相同映射方案的最接近人群平均股骨图谱(MTP)产生的误差仅略高于CTP,但计算量要少得多。使用CR映射方案时,人群平均结构图谱产生的误差比MTP高得多。考虑性别并没有带来任何显著改善。所确定的结构映射方法将用于基于患者特异性QCT的近端股骨有限元分析,以改善髋部骨折风险的预测。

https://cdn.ncbi.nlm.nih.gov/pmc/blobs/f475/5703488/90422a66118a/pone.0187874.g001.jpg

文献AI研究员

20分钟写一篇综述,助力文献阅读效率提升50倍。

立即体验

用中文搜PubMed

大模型驱动的PubMed中文搜索引擎

马上搜索

文档翻译

学术文献翻译模型,支持多种主流文档格式。

立即体验