Suppr超能文献

灵活的半参数联合建模:用于估计囊性纤维化个体肺功能下降及肺部加重风险的一项应用

Flexible semiparametric joint modeling: an application to estimate individual lung function decline and risk of pulmonary exacerbations in cystic fibrosis.

作者信息

Li Dan, Keogh Ruth, Clancy John P, Szczesniak Rhonda D

机构信息

Alzheimer's Therapeutic Research Institute, Keck School of Medicine, University of Southern California, 9860 Mesa Rim Rd, San Diego, CA 92121 USA.

Department of Medical Statistics, London School of Hygiene and Tropical Medicine, Keppel Street, London, WC1E 7HT UK.

出版信息

Emerg Themes Epidemiol. 2017 Nov 14;14:13. doi: 10.1186/s12982-017-0067-1. eCollection 2017.

Abstract

BACKGROUND

Epidemiologic surveillance of lung function is key to clinical care of individuals with cystic fibrosis, but lung function decline is nonlinear and often impacted by acute respiratory events known as pulmonary exacerbations. Statistical models are needed to simultaneously estimate lung function decline while providing risk estimates for the onset of pulmonary exacerbations, in order to identify relevant predictors of declining lung function and understand how these associations could be used to predict the onset of pulmonary exacerbations.

METHODS

Using longitudinal lung function (FEV) measurements and time-to-event data on pulmonary exacerbations from individuals in the United States Cystic Fibrosis Registry, we implemented a flexible semiparametric joint model consisting of a mixed-effects submodel with regression splines to fit repeated FEV measurements and a time-to-event submodel for possibly censored data on pulmonary exacerbations. We contrasted this approach with methods currently used in epidemiological studies and highlight clinical implications.

RESULTS

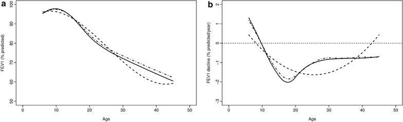
The semiparametric joint model had the best fit of all models examined based on deviance information criterion. Higher starting FEV implied more rapid lung function decline in both separate and joint models; however, individualized risk estimates for pulmonary exacerbation differed depending upon model type. Based on shared parameter estimates from the joint model, which accounts for the nonlinear FEV trajectory, patients with more positive rates of change were less likely to experience a pulmonary exacerbation (HR per one standard deviation increase in FEV rate of change = 0.566, 95% CI 0.516-0.619), and having higher absolute FEV also corresponded to lower risk of having a pulmonary exacerbation (HR per one standard deviation increase in FEV = 0.856, 95% CI 0.781-0.937). At the population level, both submodels indicated significant effects of birth cohort, socioeconomic status and respiratory infections on FEV decline, as well as significant effects of gender, socioeconomic status and birth cohort on pulmonary exacerbation risk.

CONCLUSIONS

Through a flexible joint-modeling approach, we provide a means to simultaneously estimate lung function trajectories and the risk of pulmonary exacerbations for individual patients; we demonstrate how this approach offers additional insights into the clinical course of cystic fibrosis that were not possible using conventional approaches.

摘要

背景

肺功能的流行病学监测是囊性纤维化患者临床护理的关键,但肺功能下降是非线性的,且常受称为肺部加重的急性呼吸事件影响。需要统计模型来同时估计肺功能下降情况,同时提供肺部加重发作的风险估计,以便识别肺功能下降的相关预测因素,并了解这些关联如何用于预测肺部加重的发作。

方法

利用美国囊性纤维化登记处个体的纵向肺功能(FEV)测量值和肺部加重的事件发生时间数据,我们实施了一个灵活的半参数联合模型,该模型由一个带有回归样条的混合效应子模型组成,用于拟合重复的FEV测量值,以及一个用于可能被截尾的肺部加重数据的事件发生时间子模型。我们将这种方法与目前流行病学研究中使用的方法进行了对比,并强调了临床意义。

结果

基于偏差信息准则,半参数联合模型在所有检验模型中拟合最佳。在单独模型和联合模型中,起始FEV越高意味着肺功能下降越快;然而,肺部加重的个体风险估计因模型类型而异。基于联合模型的共享参数估计(该模型考虑了非线性FEV轨迹),变化率越正的患者发生肺部加重的可能性越小(FEV变化率每增加一个标准差的风险比=0.566,95%置信区间0.516-0.619),FEV绝对值越高也对应着肺部加重风险越低(FEV每增加一个标准差的风险比=0.856,95%置信区间0.781-0.937)。在人群水平上,两个子模型均表明出生队列、社会经济地位和呼吸道感染对FEV下降有显著影响,以及性别、社会经济地位和出生队列对肺部加重风险有显著影响。

结论

通过灵活的联合建模方法,我们提供了一种同时估计个体患者肺功能轨迹和肺部加重风险的方法;我们展示了这种方法如何为囊性纤维化的临床病程提供了传统方法无法获得的额外见解。

https://cdn.ncbi.nlm.nih.gov/pmc/blobs/c9d4/5699130/0e7802acc874/12982_2017_67_Fig1_HTML.jpg

相似文献

4
Risk factor identification in cystic fibrosis by flexible hierarchical joint models.
Stat Methods Med Res. 2021 Jan;30(1):244-260. doi: 10.1177/0962280220950369. Epub 2020 Aug 25.
6
Intravenous antibiotics for pulmonary exacerbations in people with cystic fibrosis.
Cochrane Database Syst Rev. 2025 Jan 20;1(1):CD009730. doi: 10.1002/14651858.CD009730.pub3.
7
[Standard technical specifications for methacholine chloride (Methacholine) bronchial challenge test (2023)].
Zhonghua Jie He He Hu Xi Za Zhi. 2024 Feb 12;47(2):101-119. doi: 10.3760/cma.j.cn112147-20231019-00247.
8
A semiparametric approach to estimate rapid lung function decline in cystic fibrosis.
Ann Epidemiol. 2013 Dec;23(12):771-7. doi: 10.1016/j.annepidem.2013.08.009. Epub 2013 Oct 5.
9
[Chinese experts consensus statement: diagnosis and treatment of cystic fibrosis (2023)].
Zhonghua Jie He He Hu Xi Za Zhi. 2023 Apr 12;46(4):352-372. doi: 10.3760/cma.j.cn112147-20221214-00971.
10
Pulmonary artery enlargement and cystic fibrosis pulmonary exacerbations: a cohort study.
Lancet Respir Med. 2016 Aug;4(8):636-645. doi: 10.1016/S2213-2600(16)30105-9. Epub 2016 Jun 10.

引用本文的文献

3
Cessation of smoke exposure improves pediatric CF outcomes: Longitudinal analysis of CF Foundation Patient Registry data.
J Cyst Fibros. 2021 Jul;20(4):618-624. doi: 10.1016/j.jcf.2021.06.014. Epub 2021 Jul 17.
5
Risk factor identification in cystic fibrosis by flexible hierarchical joint models.
Stat Methods Med Res. 2021 Jan;30(1):244-260. doi: 10.1177/0962280220950369. Epub 2020 Aug 25.
6
Flexible link functions in a joint hierarchical Gaussian process model.
Biometrics. 2021 Jun;77(2):754-764. doi: 10.1111/biom.13291. Epub 2020 May 28.
7
Bayesian joint modelling of longitudinal and time to event data: a methodological review.
BMC Med Res Methodol. 2020 Apr 26;20(1):94. doi: 10.1186/s12874-020-00976-2.

本文引用的文献

2
The Cystic Fibrosis Foundation Patient Registry. Design and Methods of a National Observational Disease Registry.
Ann Am Thorac Soc. 2016 Jul;13(7):1173-9. doi: 10.1513/AnnalsATS.201511-781OC.
4
Joint modelling of repeated measurement and time-to-event data: an introductory tutorial.
Int J Epidemiol. 2015 Feb;44(1):334-44. doi: 10.1093/ije/dyu262. Epub 2015 Jan 19.
5
Improvements in lung function and height among cohorts of 6-year-olds with cystic fibrosis from 1994 to 2012.
J Pediatr. 2014 Dec;165(6):1091-1097.e2. doi: 10.1016/j.jpeds.2014.06.061. Epub 2014 Aug 16.
6
A semiparametric approach to estimate rapid lung function decline in cystic fibrosis.
Ann Epidemiol. 2013 Dec;23(12):771-7. doi: 10.1016/j.annepidem.2013.08.009. Epub 2013 Oct 5.
8
Understanding the natural progression in %FEV1 decline in patients with cystic fibrosis: a longitudinal study.
Thorax. 2012 Oct;67(10):860-6. doi: 10.1136/thoraxjnl-2011-200953. Epub 2012 May 3.
10
Failure to recover to baseline pulmonary function after cystic fibrosis pulmonary exacerbation.
Am J Respir Crit Care Med. 2010 Sep 1;182(5):627-32. doi: 10.1164/rccm.200909-1421OC. Epub 2010 May 12.

文献AI研究员

20分钟写一篇综述,助力文献阅读效率提升50倍。

立即体验

用中文搜PubMed

大模型驱动的PubMed中文搜索引擎

马上搜索

文档翻译

学术文献翻译模型,支持多种主流文档格式。

立即体验