Suppr超能文献

学业压力引起的Th1和Th2细胞因子反应变化。

Academic stress-induced changes in Th1- and Th2-cytokine response.

作者信息

Assaf Areej M, Al-Abbassi Reem, Al-Binni Maysaa

机构信息

Department of Biopharmaceutics and Clinical Pharmacy, Faculty of Pharmacy, The University of Jordan, Amman, Jordan.

出版信息

Saudi Pharm J. 2017 Dec;25(8):1237-1247. doi: 10.1016/j.jsps.2017.09.009. Epub 2017 Sep 25.

Abstract

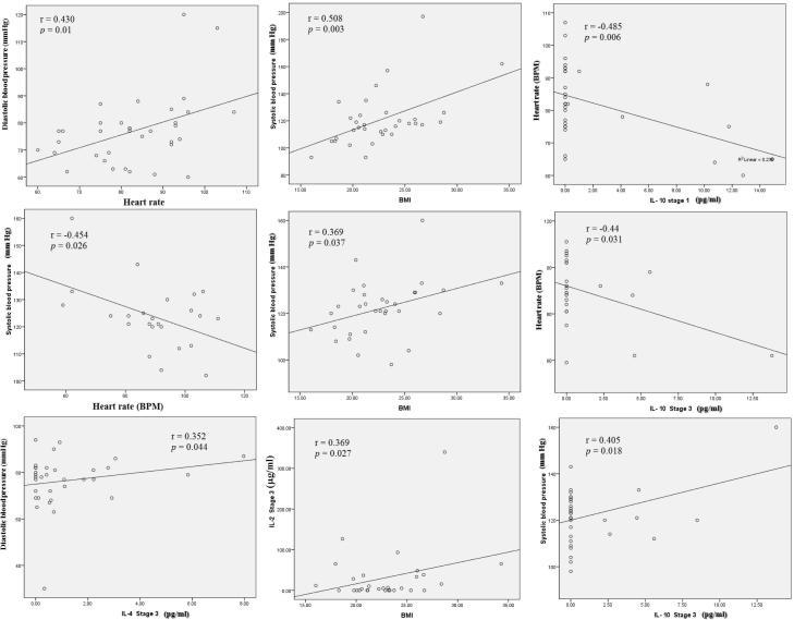
Psychological stress stimulates physiological responses releasing catecholamines and corticoids, which act via corresponding receptors on immune cells, producing a shift in the cytokine balance. These responses are variable depending on the nature of stressors. The effect of the academic stress on the production of the Th1-cytokines (TNF-α, IFN-γ, IL-1β, IL-2, IL-6 and IL-8) and Th2-cytokines (IL-1ra, IL-4, IL-5 and IL-10) on 35 medical/health sciences students after completing their questionnaires was investigated. Blood samples were taken at three stages; baseline stage at the beginning, midterm and final academic examination stages. Plasma cortisol and cytokines were measured during the three stages. The last two stages were compared with the baseline non-stress period. Results of the stress induced during the final examination stage were the highest with a significant increase in cortisol release, IL-4, IL-5 and IL-1ra release with a shift in Th1:Th2 cytokines balance towards Th2. Whereby, the midterm stage did not show significant reduction in Th1-cytokines except for TNF-α, with an increase in IFN-γ level that was reduced in the third stage. Th2 cytokine, IL-1ra, had positive correlations with Th1 cytokines; IL-2 and IFN-γ in the second stage and IL-6 cytokine in the third stage. Cortisol was positively correlated with IL-8 in the last stage and heart rates had negative correlation with IL-10 in the first and last stages. Findings of this study indicate that exam stress down-regulates Th1 with a selective up-regulation of Th2-cytokines. In conclusion, Cortisol might have a role in suppressing the release of Th1- mediated cellular immune response which could increase the vulnerability among the students to infectious diseases.

摘要

心理压力会刺激生理反应,释放儿茶酚胺和皮质激素,它们通过免疫细胞上的相应受体发挥作用,导致细胞因子平衡发生变化。这些反应因应激源的性质而异。研究了学业压力对35名医科/健康科学专业学生在完成问卷后Th1细胞因子(TNF-α、IFN-γ、IL-1β、IL-2、IL-6和IL-8)和Th2细胞因子(IL-1ra、IL-4、IL-5和IL-10)产生的影响。在三个阶段采集血样:开始时的基线阶段、期中考试阶段和期末考试阶段。在这三个阶段测量血浆皮质醇和细胞因子。将最后两个阶段与基线非应激期进行比较。期末考试阶段诱导的应激结果最为显著,皮质醇释放、IL-4、IL-5和IL-1ra释放显著增加,Th1:Th2细胞因子平衡向Th2偏移。其中,期中考试阶段除TNF-α外,Th1细胞因子没有显著降低,IFN-γ水平升高,在第三阶段降低。Th2细胞因子IL-1ra与Th1细胞因子在第二阶段的IL-2和IFN-γ以及第三阶段的IL-6细胞因子呈正相关。皮质醇在最后阶段与IL-8呈正相关,心率在第一阶段和最后阶段与IL-10呈负相关。本研究结果表明,考试压力会下调Th1,同时选择性上调Th2细胞因子。总之,皮质醇可能在抑制Th1介导的细胞免疫反应释放中起作用,这可能会增加学生对传染病的易感性。

https://cdn.ncbi.nlm.nih.gov/pmc/blobs/4f43/5688230/d6e78e7747a5/gr1.jpg

文献检索

告别复杂PubMed语法,用中文像聊天一样搜索,搜遍4000万医学文献。AI智能推荐,让科研检索更轻松。

立即免费搜索

文件翻译

保留排版,准确专业,支持PDF/Word/PPT等文件格式,支持 12+语言互译。

免费翻译文档

深度研究

AI帮你快速写综述,25分钟生成高质量综述,智能提取关键信息,辅助科研写作。

立即免费体验