Suppr超能文献

通过与内生真菌共培养提高毛脉酸模中生物活性次生代谢产物的积累量。

The improvement of bioactive secondary metabolites accumulation in Rumex gmelini Turcz through co-culture with endophytic fungi.

作者信息

Ding Chang-Hong, Wang Qian-Bo, Guo Shenglei, Wang Zhen-Yue

机构信息

Heilongjiang University of Chinese Medicine, Pharmacy College, Harbin, China.

The First Affiliated Hospital of Guangdong Pharmaceutical University, Department of Pharmacy, Guangzhou, China.

出版信息

Braz J Microbiol. 2018 Apr-Jun;49(2):362-369. doi: 10.1016/j.bjm.2017.04.013. Epub 2017 Nov 5.

Abstract

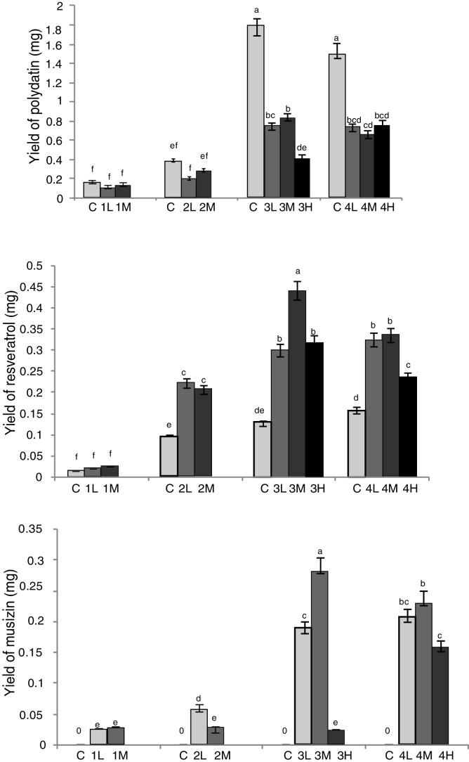
Aspergillus sp., Fusarium sp., and Ramularia sp. were endophytic fungi isolated from Rumex gmelini Turcz (RGT), all of these three strains could produce some similar bioactive secondary metabolites of their host. However the ability to produce active components degraded significantly after cultured these fungi alone for a long time, and were difficult to recover. In order to obtain more bioactive secondary metabolites, the co-culture of tissue culture seedlings of RGT and its endophytic fungi were established respectively, and RGT seedling was selected as producer. Among these fungi, Aspergillus sp. showed the most significant enhancement on bioactive components accumulation in RGT seedlings. When inoculated Aspergillus sp. spores into media of RGT seedlings that had taken root for 20d, and made spore concentration in co-culture medium was 1×10mL, after co-cultured for 12d, the yield of chrysophaein, resveratrol, chrysophanol, emodin and physcion were 3.52-, 3.70-, 3.60-, 4.25-, 3.85-fold of the control group. The extreme value of musizin yield was 0.289mg, which was not detected in the control groups. The results indicated that co-culture with endophytic fungi could significantly enhance bioactive secondary metabolites production of RGT seedlings.

摘要

曲霉属、镰刀菌属和柱隔孢属是从酸模叶蓼(RGT)中分离出的内生真菌,这三种菌株都能产生一些与其宿主相似的具有生物活性的次生代谢产物。然而,单独长时间培养这些真菌后,其产生活性成分的能力显著下降,且难以恢复。为了获得更多具有生物活性的次生代谢产物,分别建立了酸模叶蓼组织培养幼苗与其内生真菌的共培养体系,并选择酸模叶蓼幼苗作为生产者。在这些真菌中,曲霉属对酸模叶蓼幼苗中生物活性成分的积累表现出最显著的促进作用。将曲霉属孢子接种到已生根20天的酸模叶蓼幼苗培养基中,使共培养基中的孢子浓度为1×10mL,共培养12天后,金雀异黄素、白藜芦醇、大黄酚、大黄素和大黄素甲醚的产量分别是对照组的3.52倍、3.70倍、3.60倍、4.25倍、3.85倍。缪斯金产量的极值为0.289mg,对照组未检测到。结果表明,与内生真菌共培养可显著提高酸模叶蓼幼苗生物活性次生代谢产物的产量。

https://cdn.ncbi.nlm.nih.gov/pmc/blobs/92a8/5913822/0c65b10ee1e0/gr1.jpg

文献AI研究员

20分钟写一篇综述,助力文献阅读效率提升50倍。

立即体验

用中文搜PubMed

大模型驱动的PubMed中文搜索引擎

马上搜索

文档翻译

学术文献翻译模型,支持多种主流文档格式。

立即体验