Suppr超能文献

补充辅酶Q10和n-3多不饱和脂肪酸可逆转间歇性低氧诱导的新生大鼠生长受限并改善抗氧化状态。

Co-Enzyme Q10 and n-3 Polyunsaturated Fatty Acid Supplementation Reverse Intermittent Hypoxia-Induced Growth Restriction and Improved Antioxidant Profiles in Neonatal Rats.

作者信息

Beharry Kay D, Cai Charles L, Henry Michael M, Chowdhury Sara, Valencia Gloria B, Aranda Jacob V

机构信息

Department of Pediatrics, Division of Neonatal-Perinatal Medicine, State University of New York, Downstate Medical Center, Brooklyn, NY 11203, USA.

Department of Ophthalmology; State University of New York, Downstate Medical Center, Brooklyn, NY 11203, USA.

出版信息

Antioxidants (Basel). 2017 Dec 16;6(4):103. doi: 10.3390/antiox6040103.

Abstract

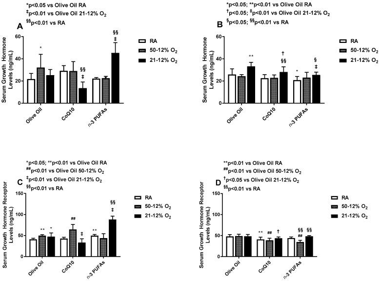
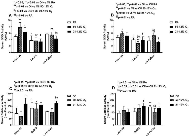
Neonatal intermittent hypoxia (IH) increases the risk for many morbidities in extremely low birth weight/gestational age (ELBW/ELGA) neonates with compromised antioxidant systems and poor growth. We hypothesized that supplementation with coenzyme Q10 (CoQ10, ubiquinol) or -3 polyunsaturated fatty acids (PUFAs) during neonatal IH improves antioxidant profiles and somatic growth in neonatal rats. Newborn rats were exposed to two IH paradigms at birth (P0): (1) 50% O₂ with brief hypoxic episodes (12% O₂); or (2) room air (RA) with brief hypoxia, until P14 during which they received daily oral CoQ10 in olive oil, -3 PUFAs in fish oil, or olive oil only from P0 to P14. Pups were studied at P14 or placed in RA until P21 for recovery from IH (IHR). Body weight and length; organ weights; and serum antioxidants and growth factors were determined at P14 and P21. Neonatal IH resulted in sustained reductions in somatic growth, an effect that was reversed with -3 PUFAs. Improved growth was associated with higher serum growth factors. CoQ10 decreased superoxide dismutase (SOD) and glutathione, but increased catalase, suggesting reduced oxidative stress. Further studies are needed to determine the synergistic effects of CoQ10 and -3 PUFA co-administration for the prevention of IH-induced oxidative stress and postnatal growth deficits.

摘要

新生儿间歇性缺氧(IH)会增加极低出生体重/胎龄(ELBW/ELGA)新生儿出现多种疾病的风险,这些新生儿的抗氧化系统受损且生长发育不良。我们假设在新生儿间歇性缺氧期间补充辅酶Q10(CoQ10,泛醇)或ω-3多不饱和脂肪酸(PUFAs)可改善新生大鼠的抗氧化状况和躯体生长。新生大鼠在出生时(P0)接受两种间歇性缺氧模式:(1)50%氧气并伴有短暂缺氧发作(12%氧气);或(2)常氧(RA)并伴有短暂缺氧,直至P14,在此期间,从P0到P14,它们每天口服橄榄油中的CoQ10、鱼油中的ω-3 PUFAs或仅口服橄榄油。在P14对幼崽进行研究,或将其置于常氧环境中直至P21以从间歇性缺氧中恢复(IHR)。在P14和P21测定体重和体长、器官重量以及血清抗氧化剂和生长因子。新生儿间歇性缺氧导致躯体生长持续减少,ω-3 PUFAs可逆转这一效应。生长改善与血清生长因子升高有关。CoQ10可降低超氧化物歧化酶(SOD)和谷胱甘肽,但可增加过氧化氢酶,提示氧化应激减轻。需要进一步研究以确定CoQ10和ω-3 PUFA联合给药对预防间歇性缺氧诱导的氧化应激和出生后生长缺陷的协同作用。

https://cdn.ncbi.nlm.nih.gov/pmc/blobs/e4b0/5745513/5002cd462be6/antioxidants-06-00103-g001.jpg

文献检索

告别复杂PubMed语法,用中文像聊天一样搜索,搜遍4000万医学文献。AI智能推荐,让科研检索更轻松。

立即免费搜索

文件翻译

保留排版,准确专业,支持PDF/Word/PPT等文件格式,支持 12+语言互译。

免费翻译文档

深度研究

AI帮你快速写综述,25分钟生成高质量综述,智能提取关键信息,辅助科研写作。

立即免费体验