Department of Psychology, McGill University, Montreal, Quebec, Canada.
Department of Psychology, McGill University, Montreal, Quebec, Canada; Department of Psychiatry, McGill University, Montreal, Quebec, Canada; Montreal Neurological Institute, McGill University, Montreal, Quebec, Canada.
EBioMedicine. 2018 Jan;27:86-93. doi: 10.1016/j.ebiom.2017.11.025. Epub 2017 Dec 2.
The delineation of the behavioral neurobiological mechanisms underlying the heterogeneous pathways for alcohol use disorders (AUDs) is ostensibly imperative for the development of more cost-effective treatments predicated on better understanding of this complex psychopathology.
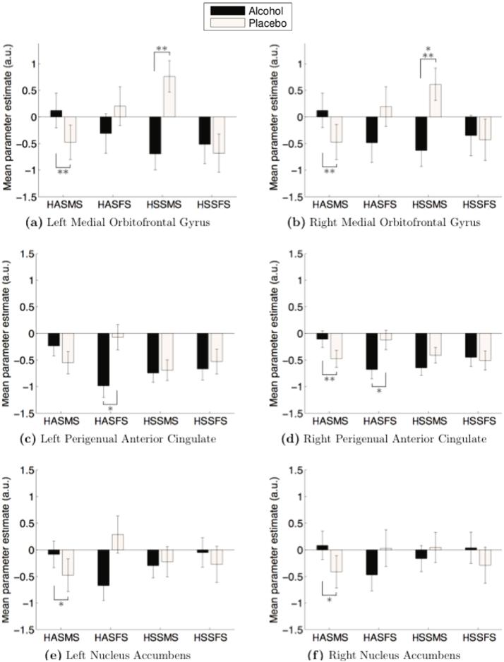
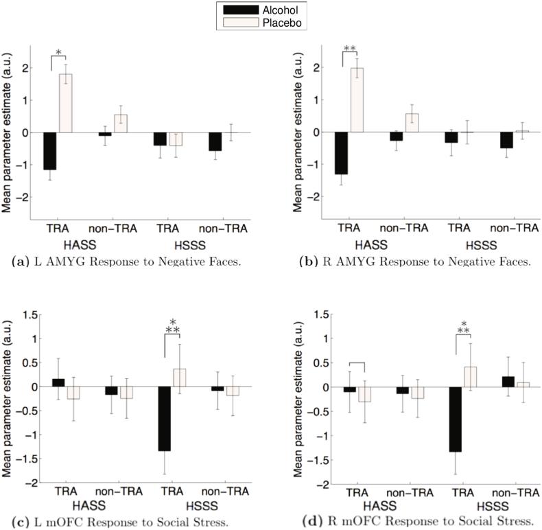
The effects of alcohol (versus placebo) ingestion depended upon the task and risk group. In response to negative (versus neutral) faces, alcohol diminished amygdala (AMYG) activations in HAS but not HSS subjects. In response to psychosocial evaluative stress, alcohol enhanced activations of the medial orbitofrontal cortex (mOFC), perigenual anterior cingulate cortex, and nucleus accumbens in HAS male subjects (HASMS), but decreased mOFC activity in HSS male subjects (HSSMS). At follow-up, a greater alcohol versus placebo differential for threat-related AMYG activations predicted escalating drinking and/or illicit drug use among HAS but not HSS participants, whereas a greater differential for mOFC activations during acute social stress predicted escalating substance use among HSS but not HAS participants.
This double dissociation provides evidence of distinct neurobiological profiles in a priori identified personality trait-based risk groups for AUDs, and links these signatures to clinically relevant substance use outcomes at follow-up. AUD subtypes might benefit from motivationally and personality-specific ameliorative and preventative interventions.
为了开发更具成本效益的治疗方法,必须明确界定导致酒精使用障碍(AUD)的异质途径的行为神经生物学机制,以便更好地了解这种复杂的精神病理学。
1)48 名高焦虑敏感(HAS)和高感觉寻求(HSS)无精神病理学的年轻成年人(平均(SD)年龄:20.4(1.9)岁)在功能磁共振成像(fMRI)期间完成了面部情绪处理任务和社会应激范式(蒙特利尔成像应激任务),同时有和没有酒精摄入(1ml/kg 的 95%USP 酒精,口服)。在 2-3 年后的随访访谈中重新评估了药物和酒精的使用情况。
酒精(与安慰剂相比)的摄入效果取决于任务和风险组。在对负性(与中性相比)面孔的反应中,酒精降低了 HAS 但不降低 HSS 受试者的杏仁核(AMYG)激活。在对心理社会评估压力的反应中,酒精增强了 HAS 男性受试者(HASMS)的内侧眶额皮质(mOFC)、扣带回前皮质和伏隔核的激活,但降低了 HSS 男性受试者(HSSMS)的 mOFC 活性。在随访时,与威胁相关的 AMYG 激活的酒精与安慰剂差异越大,预测 HAS 参与者的饮酒和/或非法药物使用增加,但在 HSS 参与者中,急性社会应激期间的 mOFC 激活差异越大,预测物质使用增加。
这种双重分离为 AUD 的基于事先确定的人格特质的风险群体提供了不同的神经生物学特征,并将这些特征与随访时的临床相关物质使用结果联系起来。AUD 亚型可能受益于基于动机和人格的改善和预防干预。