Suppr超能文献

用于获取高分辨率声学图像的虚拟麦克风阵列的实现

Implementation of a Virtual Microphone Array to Obtain High Resolution Acoustic Images.

作者信息

Izquierdo Alberto, Villacorta Juan J, Del Val Lara, Suárez Luis, Suárez David

机构信息

Signal Theory and Communications Department, University of Valladolid, 47011 Valladolid, Spain.

Mechanical Engineering Area, Industrial Engineering School, University of Valladolid, 47011 Valladolid, Spain.

出版信息

Sensors (Basel). 2017 Dec 23;18(1):25. doi: 10.3390/s18010025.

Abstract

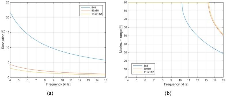
Using arrays with digital MEMS (Micro-Electro-Mechanical System) microphones and FPGA-based (Field Programmable Gate Array) acquisition/processing systems allows building systems with hundreds of sensors at a reduced cost. The problem arises when systems with thousands of sensors are needed. This work analyzes the implementation and performance of a virtual array with 6400 (80 × 80) MEMS microphones. This virtual array is implemented by changing the position of a physical array of 64 (8 × 8) microphones in a grid with 10 × 10 positions, using a 2D positioning system. This virtual array obtains an array spatial aperture of 1 × 1 m². Based on the SODAR (SOund Detection And Ranging) principle, the measured beampattern and the focusing capacity of the virtual array have been analyzed, since beamforming algorithms assume to be working with spherical waves, due to the large dimensions of the array in comparison with the distance between the target (a mannequin) and the array. Finally, the acoustic images of the mannequin, obtained for different frequency and range values, have been obtained, showing high angular resolutions and the possibility to identify different parts of the body of the mannequin.

摘要

使用带有数字MEMS(微机电系统)麦克风和基于FPGA(现场可编程门阵列)的采集/处理系统的阵列,能够以降低的成本构建具有数百个传感器的系统。但当需要具有数千个传感器的系统时,问题就出现了。这项工作分析了一个具有6400个(80×80)MEMS麦克风的虚拟阵列的实现和性能。这个虚拟阵列是通过使用二维定位系统,在一个10×10位置的网格中改变一个由64个(8×8)麦克风组成的物理阵列的位置来实现的。这个虚拟阵列获得了1×1平方米的阵列空间孔径。基于声雷达(声音探测与测距)原理,对虚拟阵列的测量波束图和聚焦能力进行了分析,因为与目标(一个人体模型)和阵列之间的距离相比,阵列尺寸较大,波束形成算法假定是与球面波一起工作的。最后,获得了针对不同频率和距离值的人体模型的声学图像,显示出高角度分辨率以及识别出人体模型身体不同部位的可能性。

https://cdn.ncbi.nlm.nih.gov/pmc/blobs/c88e/5795332/9e85a4f90683/sensors-18-00025-g001.jpg

文献检索

告别复杂PubMed语法,用中文像聊天一样搜索,搜遍4000万医学文献。AI智能推荐,让科研检索更轻松。

立即免费搜索

文件翻译

保留排版,准确专业,支持PDF/Word/PPT等文件格式,支持 12+语言互译。

免费翻译文档

深度研究

AI帮你快速写综述,25分钟生成高质量综述,智能提取关键信息,辅助科研写作。

立即免费体验