Suppr超能文献

BSA 和 DOTAP 在气液界面的相互作用。

The interaction between BSA and DOTAP at the air-buffer interface.

机构信息

School of Physics and Information Technology, Shaanxi Normal University, Xi'an, 710062, China.

出版信息

Sci Rep. 2018 Jan 10;8(1):407. doi: 10.1038/s41598-017-18689-w.

Abstract

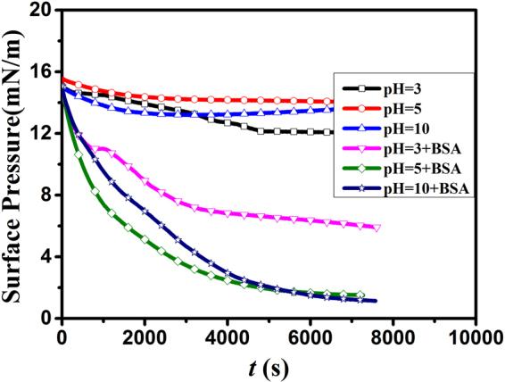
In this article, the interaction between bovine serum albumin (BSA) and the cationic 1,2-dioleoyl-3-trimethylammonium-propane (DOTAP) at the air-buffer interface was investigated at different subphase's pH values (pH = 3, 5 and 10). Surface pressure measurements (π - A) and penetration kinetics process (π - t) were carried out to reveal the interaction mechanism and the dynamical behavior. The data showed that π - A isotherms moved towards larger mean molecular area when the concentration of BSA ([BSA]) increased, the amount of BSA adsorbed onto DOTAP monolayer reached a threshold value at a [BSA] of 5 × 10 M, and BSA desorbed from the lipid monolayer as time goes by. The results revealed that the association of BSA with DOTAP at the air-buffer interface was affected by the subphase's pH value. When pH = 10, the interaction mechanism between them was a combination of hydrophobic interaction and electrostatic attraction, so BSA molecules could be well separated and purified from complex mixtures. AFM images demonstrated that pH value and [BSA] could affect the morphology feature of DOTAP monolayer and the adsorption and desorption processes of BSA. So the study provides an important experimental basis and theoretical support for learning the interaction mechanism among biomolecules in separation and purification of biomolecules and biosensor.

摘要

本文研究了在不同亚相 pH 值(pH=3、5 和 10)下,牛血清白蛋白(BSA)与阳离子 1,2-二油酰基-3-三甲铵丙烷(DOTAP)在气液界面的相互作用。通过表面压力测量(π-A)和渗透动力学过程(π-t)揭示了相互作用机制和动力学行为。数据表明,随着 BSA([BSA])浓度的增加,π-A 等温线向更大的平均分子面积移动,当 [BSA]达到 5×10 M 时,BSA 吸附到 DOTAP 单层的量达到一个阈值,并且随着时间的推移,BSA 从脂质单层中解吸。结果表明,BSA 与 DOTAP 在气液界面的缔合受亚相 pH 值的影响。当 pH=10 时,它们之间的相互作用机制是疏水相互作用和静电吸引的结合,因此 BSA 分子可以从复杂混合物中得到很好的分离和纯化。AFM 图像表明,pH 值和 [BSA]可以影响 DOTAP 单层的形态特征以及 BSA 的吸附和解吸过程。因此,该研究为生物分子分离和纯化以及生物传感器中生物分子之间的相互作用机制的研究提供了重要的实验依据和理论支持。

https://cdn.ncbi.nlm.nih.gov/pmc/blobs/0489/5762638/0427e43f3ca0/41598_2017_18689_Fig1_HTML.jpg

文献AI研究员

20分钟写一篇综述,助力文献阅读效率提升50倍。

立即体验

用中文搜PubMed

大模型驱动的PubMed中文搜索引擎

马上搜索

文档翻译

学术文献翻译模型,支持多种主流文档格式。

立即体验